Recently Accepted

Recently Accepted articles have been peer-reviewed and accepted, which are not yet assigned to volumes/issues, but are citable by Digital Object Identifier (DOI).
Display Method:
JH-2 Constitutive Model Parameters and Blast Damage Criterion for Tempered Glass
DU Haoyuan, HAN Lei, REN Yunyan, JIANG Bonan
, Available online  , doi: 10.11858/gywlxb.20261021
Abstract:
Tempered glass is widely used in building structures, and its failure behavior and damage threshold under blast loading provide essential support for determining safety stand-off distances and explosion damage ranges. Investigating its failure mechanisms and damage criteria under blast shock waves therefore has important engineering significance. In this study, the mechanical behavior and failure mechanisms of tempered glass over a wide range of strain rates were investigated using a universal testing machine, a split Hopkinson pressure bar, and field emission scanning electron microscopy. Based on the mechanical test results, the material parameters of the Johnson Holmquist Ceramics (JH-2) constitutive model for tempered glass were determined through systematic analysis. Controlled blast loading tests were then conducted using a shock tube, and a finite element model was established to simulate the damage process. Comparisons between test observations and numerical results confirmed the validity of the calibrated constitutive parameters. Finally, a pressure-impulse damage curve was obtained to evaluate the damage threshold of tempered glass. The results provide a theoretical model and an analytical approach for the safety design and damage assessment of tempered glass structures.
Theoretical Modeling and Coupling Effects of Multiple Projectile Penetration-Explosion in Concrete Targets
ZHU Junlong, LI Yuan, WANG Zihao, QIAN Bingwen, ZHENG Zhijun
, Available online  , doi: 10.11858/gywlxb.20261012
Abstract:
Aiming at the complex multi-physics coupling process involving penetration and explosion in sequential strikes by multiple projectiles, there is currently a lack of corresponding theoretical prediction methods. To address this, this paper proposes a theoretical model based on a decoupling-modeling approach for predicting the entire process of multiple projectiles sequentially penetrating and exploding in concrete targets. The model separately describes the penetration and explosion stages: the penetration process employs dynamic cavity‑expansion theory to construct a resistance function, takes into account the influence of projectile inclination and prior damage, and solves the projectile trajectory by explicit finite‑difference integration of the equations of motion; crater morphology is estimated using empirical formulas, with the resulting crater morphology serving as the initial condition for the next strike, thereby enabling rapid prediction of cumulative damage throughout the sequential penetration‑explosion process. Furthermore, full‑process numerical simulations of a three‑projectile sequence were conducted to validate the theoretical predictions under several typical firing configurations. The results demonstrate that the theoretical model can accurately predict the sequential penetration depth. Although deviations in crater morphology exist for the first penetration-explosion event, the prediction accuracy improves significantly as the projectile sequence advances. The penetration depth of subsequent projectiles is notably enhanced due to concrete pre‑damage, with the greatest gain occurring inside the crater tunnel zone—yet being highly sensitive to impact‑point location—while inside the funnel zone the gain decays gradually with increasing inter‑projectile spacing. The proposed theoretical model is computationally efficient and can serve as a theoretical prediction tool for damage assessment in multi‑projectile sequential strikes.
Energy Conversion Prediction Model of Expansion Tube under Near-Field Blast Loading
QI Zizhen, LI Minghao, ZHANG Yuyan, LIANG Minzu, ZHANG Yuwu, LIN Yuliang
, Available online  , doi: 10.11858/gywlxb.20251227
Abstract:

The explosion near-field is the core zone of munition-induced damage, involving the coupled load effect of intense shock waves and detonation products. Currently, the mechanical response and energy conversion mechanisms of expansion tube structures (ETS) under such extreme loading conditions remain unclear. In this study, ETS is adopted as a representative energy-absorbing structure to investigate its energy conversion behavior under the coupled action of near-field shock waves and detonation products. Based on the experimental verification, numerical simulation methods were employed to analyze the characteristics of near-field blast loading and the dynamic response of ETS. Furthermore, a theoretical prediction formula for near-field blast loading was established, and a theoretical model for predicting energy conversion efficiency was developed based on the strong-shock assumption. The results show that the energy conversion efficiency decreases significantly with increasing scaled distance. The energy conversion efficiency drops to below 10% when the scaled distance exceeds 0.80 m/kg1/3. Moreover, the energy conversion efficiency exhibits a strong positive correlation with the specific impulse of the reflected wave, indicating that specific impulse is a key factor determining energy transfer. This work elucidates the intrinsic mechanism of energy conversion in ETS under near-field coupled loading. The proposed theoretical model provides a robust foundation for the design and performance evaluation of near-field protective structures.

Damage assessment and study of influencing factors in reinforced concrete beams under combined high temperature and impact
OUYANG Xin, WANG Wei, LIU Jiening, ZHOU Yongwang
, Available online  , doi: 10.11858/gywlxb.20261018
[Abstract](48) PDF (14)
Abstract:
To study the impact resistance performance of reinforced concrete (RC) beams under high temperature and impact loading, a numerical model of RC beams under high temperature was established using LS-DYNA software based on existing experiments, and the validity of the numerical model was verified. Based on the numerical model, four failure modes of RC beams under high temperature and impact loading were summarized. The section damage factor D was introduced to evaluate the damage degree of RC beams under high temperature, and a predictive formula for the section damage factor in relation to impact height and temperature was fitted. The influence of temperature, beam span, impact location, and hammer shape on the impact resistance performance of RC beams under high-temperature conditions was analyzed. The results show that as the temperature increases, the mid span displacement of RC beams increases, while the impact force decreases. The larger the span to height ratio, the longer it takes for the mid span displacement to reach its peak. Under the same impact energy, the mid-span displacement caused by impact at the mid-span is greater than that caused by impact near the supports. Furthermore, hammerheads with flat contact surfaces cause greater damage to RC beams compared to those with curved contact surfaces.
Measurement Principle of Modulated Magnetic Susceptibility in Diamond Anvil
ZHOU Yazhou
, Available online  , doi: 10.11858/gywlxb.20261050
[Abstract](38) PDF (16)
Abstract:
Superconductivity is defined by two fundamental criteria: zero electrical resistance and the Meissner effect. However, measuring the magnetic properties of samples under high pressure in diamond anvil cells—where sample sizes are limited to tens of micrometers and confined spatially—has long been a challenging task in high-pressure research. Magnetic measurements under high pressure using diamond anvil cells can generally be classified into four distinct methods. Among these, the modulated magnetic susceptibility measurement, which employs laboratory-fabricated multi-turn micro-coils and two lock-in amplifiers connected in series, has often yielded contradictory experimental results in the literature due to an insufficient understanding of its underlying measurement principles. In this work, starting from the experimental configuration and Faraday’s law of electromagnetic induction, we re-derive the expressions for the signal magnitude of the superconducting diamagnetic transition registered on the primary and secondary lock-in amplifiers. We obtain an expression for the signal amplification introduced by the modulated magnetic field, thereby clarifying the measurement principle of modulated magnetic susceptibility and identifying potential issues in previous studies.
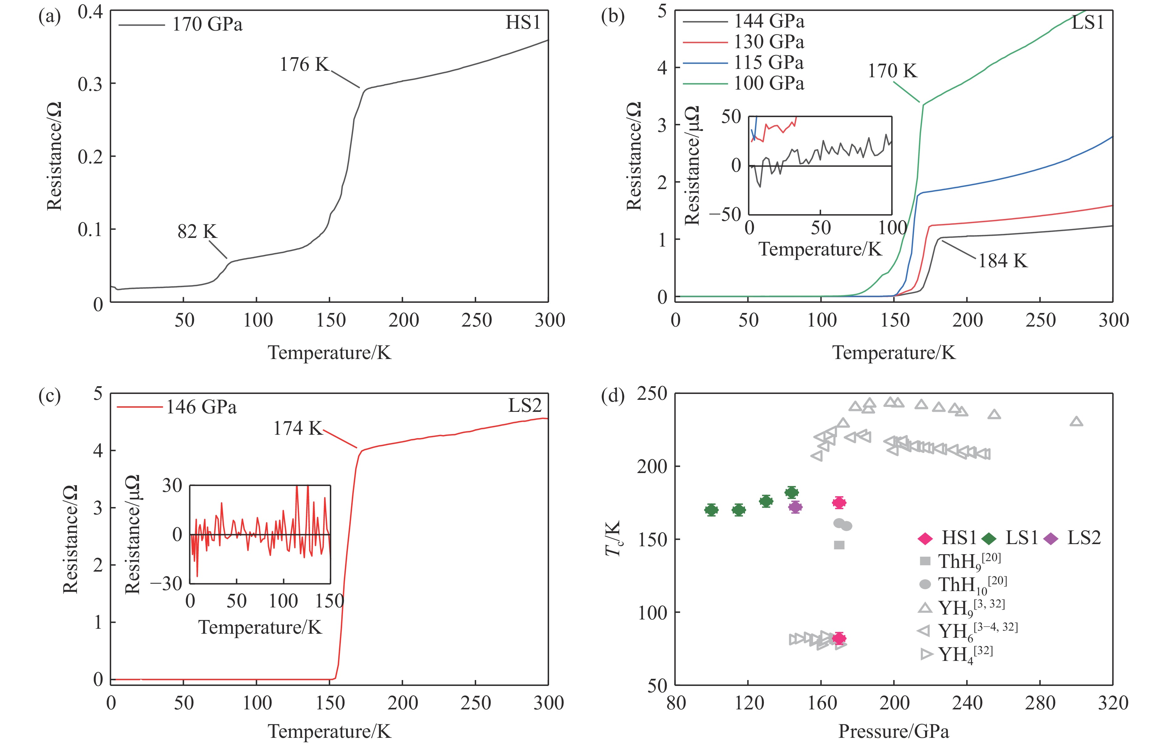
Synthesis and Superconductivity of the Ternary Hydrides (Th,Y)H10
SONG Xiaoxu, HAO Xiaokuan, NIU Jingyu, GAO Guoying, TIAN Yongjun
, Available online  , doi: 10.11858/gywlxb.20251268
Abstract:

Recent achieved superconductivity near room temperature, especially in hydrogen-based superconductors under high pressure, have attracted broad interest. However, most systems with high superconducting critical temperature (Tc) are only stable under extremely high pressures, which limits their practical applicability. This study proposes the possibility of obtaining high-Tc superconductors at moderate pressures within the ternary Th-Y-H system. The synthesis was carried out using Th, YH3, and NH3BH3 as precursors under high pressure and high temperature, applied by diamond anvil cells combined with in-situ laser heating technology. Combining with the synchrotron X-ray diffraction (XRD) measurements and theoretical studies, the main product was identified as Fm$ \overline{3} $m (Th,Y)H10, with Y accounting for approximately 10%−15%. Electrical transport measurements reveal that its Tc increases by approximately 10%, compared to ThH10 under similar pressure. At 144 GPa, the sample has a maximum Tc of 184 K, which remains at 170 K when decompressed to 100 GPa—approaching the highest level known for hydrides at this pressure. Measurements under an applied magnetic field further verify the superconductivity, with upper critical fields estimated at 52 and 39 T based on the WHH and GL models, respectively. These results indicate that the ternary Th-Y-H superconducting system is an outstanding candidate for high-Tc superconductors, and the crystal stability and electronic properties can be effectively controlled by reasonably introducing new element into the binary system. This work provides new insights and experimental evidences for exploring high-Tc superconducting hydrides under moderate or even low pressures.

Properties of Surfactant-Modified Ammonium Nitrate
WANG Xinqi, WU Hongbo, HU Pengfei, REN Mengyu, XIE Mengzhi, XIA Wenjie, ZHU Leilei
, Available online  , doi: 10.11858/gywlxb.20251252
Abstract:

Porous ammonium nitrate is frequently used for specific applications due to its porous structure when compared with conventional ammonium nitrate, however, its higher transportation costs increase overall operational expenses. This study investigated the preparation of porous granular modified ammonium nitrate using ionic surfactant PST as an additive via spray granulation. The effects of varying PST concentrations (0−0.4%) on the pore structure, oil absorption capacity, thermal stability, and explosive properties of ammonium nitrate were examined. The research results indicate that increasing PST content gradually transforms dense ammonium nitrate particles into a porous structure with distinct interconnected pores. Thermal stability remains essentially unchanged, and the matrix chemical composition undergoes no fundamental alteration, though its adsorbed water content decreases. The modified samples exhibit enhanced binding capacity with the oil phase. The detonation velocity of the assembled charge increases from “failed to detonate normally” in the unmodified state to 2831.85 m/s. Trace amounts of PST can induce the formation of a porous structure in ammonium nitrate without significantly compromising thermal safety, while markedly improving detonation velocity performance, demonstrating potential for engineering applications.

Interatomic Potentials for Iron under Extreme Conditions
WEI Liangrui, SUN Yang
, Available online  , doi: 10.11858/gywlxb.20251251
Abstract:

The physical properties of iron under extreme high-pressure and high-temperature conditions are crucial for understanding the internal structure and evolutionary processes of Earth and terrestrial planets. To characterize the dynamic behavior of iron under the extreme conditions inside super-Earths, we combine first-principles molecular dynamics simulations with experimentally measured high-pressure melting curves to construct an embedded-atom potential applicable across ultra-high pressures and temperatures. This potential is fitted to multiple properties of the body-centered cubic (BCC), hexagonal close-packed (HCP), and liquid phases over 400 GPa to 1 TPa and 6000 to 10000 K, including the elastic constants of the solid phases, the radial distribution functions of the liquid, and experimentally determined melting data. We systematically validate the potential across different pressure-temperature conditions and found that it accurately reproduces the pressure and temperature dependence of solid elastic constants, and matches liquid radial distribution functions at three representative pressure-temperature conditions. Moreover, it predicts melting curves that lie within experimental uncertainties and agree well with previous first-principles simulations. Thermodynamic calculations based on this potential further show that the HCP phase remains thermodynamically stable between 400 GPa and 1 TPa, while the BCC phase is metastable. This potential provides a reliable atomistic tool for large-scale simulations of nucleation, crystallization, and solid-liquid coexistence in the cores of super-Earths. Moreover, the potential and associated dataset lay the groundwork for future extensions to multicomponent Fe alloys and their properties under ultra-high-pressure conditions.

Influence of Different Wire Diameter and Discharge Period on Copper Wire Electrical Explosion
ZHOU Zhangan, LU Yizhan, XIAO Bo
, Available online  , doi: 10.11858/gywlxb.20261003
[Abstract](52) PDF (18)
Abstract:
Wire electrical explosion has important applications in the fields of Z-pinch, nano powder preparation and special processing. In this paper, the electrical explosion process of copper wire in vacuum was studied by numerical simulation, and the effects of wire diameter and discharge period on the electrical explosion process of copper wire were investigated. The simulation results show that the use of fine wire has higher energy efficiency than that of thick wire. In addition, the effect of electric explosion of filament is hardly affected by the speed of discharge. When the wire diameter increases, the faster the discharge, the worse the spatial uniformity of electric explosion, but on the other hand, it can also improve the energy utilization efficiency of electric explosion.
Structure and Optical Properties of Inorganic Metal Halide Perovskite CsMnCl3 under High Pressure
ZHANG Yinglong, JIA Shufan, DAI Ning, Rahman Saqib
, Available online  , doi: 10.11858/gywlxb.20261014
[Abstract](115) PDF (34)
Abstract:
Manganese-based metal halide perovskites have attracted significant attention due to their excellent photoelectric conversion efficiency and low-cost preparation advantages. Among them, cesium manganese chloride (CsMnCl3) has emerged as a promising candidate for spintronics and magnetic applications. Understanding the structure-property relationship of CsMnCl3, particularly its behavior under extreme conditions, is crucial for developing stable and efficient manganese-based perovskite materials and expanding their application scenarios. In this study, we systematically investigated the structural and optical properties of CsMnCl3 using diamond anvil cell (DAC) technology combined with in-situ high-pressure photoluminescence (PL) spectroscopy, absorption spectroscopy, Raman spectroscopy, X-ray diffraction (XRD), and first-principles calculations. At ambient pressure, CsMnCl3 crystallized in the R3 ̅m space group. During compression, we observed a structural transition at approximately 0.9 GPa, accompanied by a significant enhancement about 8.4 times in the photoluminescence intensity of CsMnCl3. Within the experimental pressure range from 0 to 32.2 GPa, the optical bandgap gradually decreases by about 28% with increasing pressure. Our findings provide theoretical support and experimental evidence for optimizing the high-pressure stability of manganese-based perovskite materials and expanding their functional applications under extreme conditions. Additionally, the fundamental understanding of metal halide perovskites under high pressure is enriched.
Research Progress on High-Temperature H2-Molecular-Type Hydride under High Pressure
WEI Xinmiao, LIU Zhao, CUI Tian
, Available online  , doi: 10.11858/gywlxb.20251257
Abstract:

The synthesis of the room-temperature superconductor LaSc2H24 represents a significant milestone in the field of superconductivity research. A central goal of subsequent studies is to lower the stabilization pressure required for hydrogen-rich superconductors, thereby establishing both theoretical foundation and technical pathway toward achieving low-pressure room-temperature superconductivity. This paper reviews recent advances in the prediction and experimental synthesis of hydride materials, with a focus on a promising strategy for realizing high-temperature superconductivity at reduced pressures—namely, H2-molecular-typehydride. The superconducting mechanism dominated by molecular H2 units is redefined, offering a new perspective for understanding phonon-mediated superconductivity. In H2-molecular-type hydrides, a nearly free-electron gas behavior has been clearly observed. These delocalized electrons exhibit metallic bonding characteristics while retaining fragments of molecular hydrogen. This finding indicates that the essential condition for superconducting transition is the formation of a Fermi sea hosting Cooper pairs, rather than complete dissociation into atomic hydrogen. The generation mechanism of the free-electron gas in these materials can be effectively explained using a finite potential well model. The distinctive electronic properties of these compounds under high pressure, combined with enhanced electron-phonon coupling, establish a novel paradigm for designing low-pressure, high-temperature, and potentially room-temperature superconductors.

Prediction of Dynamic Mechanical Response of Materials Based on U-Net Model: Influence of Texture Representation Differences
GAO Xiang, ZHAO Dan, FANG Huiqing, WANG Jianjun, MA Shengguo, WANG Zhihua
, Available online  , doi: 10.11858/gywlxb.20251280
[Abstract](72) PDF (23)
Abstract:
The utilization of neural networks for the prediction of alloy properties and the inverse design of alloy microstructures has emerged as a novel approach in the industry for understanding material performance and developing new alloys. Texture acts as a critical factor influencing microstructural evolution during alloy deformation. It is typically characterized by spatially uncorrelated discrete grain orientation Euler angles, spatial-orientation coupled Euler angles within a Representative Volume Element (RVE), or pole figures/inverse pole figures. However, identifying which texture representation method serves as the optimal input to maximize the performance of neural network models requires further investigation. Consequently, employing a modified U-Net model as the backbone architecture, this study evaluates and compares the impact of three texture representation methods - discrete Euler angles, spatial Euler angles, and pole figures-as model inputs on the overall performance of the neural network. The three trained neural network models were individually deployed to predict samples within the test set. The results demonstrate that employing pole figures as the texture representation method yields the optimal performance. Furthermore, the trained neural network models were utilized to predict the macroscopic stress-strain curves of the alloys by incorporating a one-dimensional (1D) convolutional layer at the output stage. Compared to traditional methods relying solely on fully connected layers, this modification significantly enhances the prediction accuracy of the stress-strain curves.
Impact Test and Crack Propagation Law of Rock-like Materials with Different Joint Geometric Parameters
FEI Honglu, CHEN Liangyu, YANG Pengliang, DING Wen, YANG Shitao, HU Gang, ZHOU Linli
, Available online  , doi: 10.11858/gywlxb.20261025
[Abstract](77) PDF (17)
Abstract:
The crack-propagation behavior and dynamic response characteristics of artificial jointed rock-like materials under impact loading were investigated. Drop-weight impact tests were conducted using a self-developed apparatus, in which joint aperture, inclination angle, number of joints, and the distance between the joint and the loading surface were taken as geometric parameters. LS-DYNA was used to establish numerical models of drop-weight impact for vertical combined joints composed of multiple parallel vertical joints and for vertical-horizontal combined joints consisting of one set of vertical joints intersecting with one set of horizontal joints. The influence of joint geometric parameters on the failure mode, crack-propagation path, and stress-strain response of the jointed rock-like materials was analyzed. Based on the linear elastic fracture mechanics theory under the plane stress assumption, the relationship between the strain components at the joint end and the stress intensity factors was derived. The test results show that as the joint aperture increased from 0.5mm to 0.9mm, the maximum impact load decreased from 35.16kN to 22.07kN; as the joint inclination angle increased from 30° to 60°, the maximum impact load decreased from 47.17kN to 29.57kN; and as the number of joints increased from one to three, the maximum impact load decreased from 36.31kN to 23.69kN, all showing a decreasing trend. When the distance between the joint and the loading surface increased from 50mm to 90mm, the maximum impact load first increased from 38.19kN to 41.75kN and then decreased to 40.88kN, showing a nonlinear increase-decrease relationship. The peak strain at the measurement points was negatively correlated with the joint aperture, inclination angle, number of joints, and joint-loading surface distance. The numerical simulation results indicate that the overall stability of the model decreases significantly with an increasing number of vertical joints; in the vertical-horizontal combined joint model, enlarging the vertical joint aperture reduces the degree of bottom damage, and when the horizontal joint is located above the vertical joint, the model becomes more susceptible to instability and failure.
Lattice Dynamics of Mercury under High Pressure
LIU Peiyuan, ZHAO Bohao, WANG Lijuan, LIN Chuanlong, YANG Liuxiang, GOU Huiyang
, Available online  , doi: 10.11858/gywlxb.20261011
[Abstract](83) PDF (24)
Abstract:
Mercury is a metal with special physical and chemical properties. High pressure can significantly alter its crystal structures and interatomic interactions. However, vibration-related experimental data of mercury under high pressure have been scarce for a long time, which limits the in-depth understanding of its high-pressure phase transition mechanisms. To fill this research gap, this study based on a low-wavenumber high-pressure Raman experimental platform, conducted in-situ high pressure Raman measurements using diamond anvil cell (DAC) technology, and combined with theoretical calculation methods to systematically investigate the laws of structural transformation and vibrational mode evolution of mercury under high pressure. The study successfully detected the vibrational signals of two solid phases of mercury under high pressure for the first time, obtained the Raman spectroscopy experimental results of mercury under high-pressure conditions, revealed the characteristics of pressure-dependent vibrational frequencies, and calculated the relevant thermodynamic parameters of two phases. The experimental data is highly consistent with the reported structural phase transitions of mercury, filling the long-standing experimental gap in this field and providing key experimental support for an in-depth understanding of the Phase transition behaviors and related mechanisms of mercury under high pressure.
Microscopic mechanisms of plastic deformation in high-entropy carbide (Zr0.2Hf0.2Ti0.2Nb0.2Ta0.2)C under quasi-isentropic and ramp compression
FENG Lanxi, LI Chuanying, LI Wanghui, ZHANG Xiaoqing, YAO Xiaohu
, Available online  , doi: 10.11858/gywlxb.20261008
[Abstract](124) PDF (25)
Abstract:
High-entropy carbides (HECs), characterized by pronounced chemical disorder and lattice distortion, exhibit exceptional strength-toughness synergy and are promising candidates for impact protection and high-temperature structural applications. However, their microstructural evolution and stress response under extreme conditions, such as high stress and strain rates, remains poorly understood. In this work, a high-accuracy machine-learning interatomic potential is employed to investigate the representative multi-principal carbide (Zr0.2Hf0.2Ti0.2Nb0.2Ta0.2)C (HEC) through large-scale molecular dynamics (MD) simulations. To elucidate how multiple "high-entropy" effects govern atomic-scale plasticity in high-entropy carbides (HECs), large-scale molecular dynamics simulations are carried out to explore their response under quasi-isentropic compression and ramp-wave loading along three principal crystallographic orientations: [0 0 1], [0 1 ¯1], and [1 1 1]. The results demonstrate that the high-entropy effects profoundly reshape the initiation of plasticity, the competition among slip systems, and the localized deformation modes in HEC. Local stress fluctuations and lattice distortions enhance transient Bain-type stacking rearrangements within the sublattice and promote the synergistic activation of multiple slip systems. This leads to a transformation of shear band formation from isolated nucleation to a network-like propagation. Complementary first-principles calculations reveal that the carbon vacancy formation energy in high-entropy ceramics is significantly reduced compared to their single-component carbides. This reduction of vacancy formation energy facilitates preferential displacement of carbon atoms and their participation in shear band nucleation during compression. Furthermore, the comparison between different loading paths highlights the complexity of the high-entropy effects’ response. The quasi-isentropic loading path helps to unveil the intrinsic deformation mechanisms governed by the high-entropy effect itself, whereas the stress gradients inherent in ramp-wave loading couple with the high-entropy effect, leading to a premature triggering and intensification of plastic localization.
Pressure-Tuned Superconductivity in FePSe3 Thin Films
CHENG Yi, LI Meilun, XIAO Hong, LIN Chuanlong
, Available online  , doi: 10.11858/gywlxb.20261001
[Abstract](135) PDF (33)
Abstract:
Two-dimensional layered materials constitute a unique class of compounds in which strongly covalent or ionic atomic planes are stacked via van-der-Waals forces. This weak interlayer coupling allows the thickness to be precisely tuned down to few-layer or monolayer, giving rise to a rich spectrum of dimensionality-dependent physical properties. In this work, we take the prototypical van der Waals layered compound FePSe3 as a model system and, by combining mechanical exfoliation with high-pressure techniques based on a diamond anvil cell (DAC), systematically investigate the electrical transport properties of both bulk FePSe3 and thin layers with different thicknesses under pressure. We focus on the combined effects of external pressure and reduced dimensionality on the normal-state transport behavior and superconductivity. Experimental results show that bulk FePSe3 exhibits pressure-tuned superconductivity, with the superconducting transition temperature <italic>Tc</italic> reaching a minimum around 15 GPa, accompanied by a concurrent minimum in the Hall coefficient <italic>R</italic>H. This behavior is consistent with previous reports on bulk materials, and suggests that pressure may induce a Fermi surface reconstruction. Compared to the bulk, the thin-layer FePSe3 samples show a suppressed superconducting state, characterized by a reduced <italic>Tc</italic>, and a monotonic decrease in <italic>R</italic>H with increasing pressure. This indicates that two-dimensional confinement in thin flakes suppresses the occurrence of Fermi surface reconstruction. These findings provide key experimental evidence for understanding the pressure-driven evolution of the electronic states in FePSe3.
On the Impact Response and Design Optimization of Triangular Corrugated Sandwich Beams: A Data-Driven Approach
LI Dong, ZHANG Xiaobin, LIU Zhifang, LEI Jianyin
, Available online  , doi: 10.11858/gywlxb.20251287
[Abstract](129) PDF (30)
Abstract:
To enhance the prediction accuracy and design efficiency for the performance of triangular corrugated sandwich beams under low-velocity impact, this study proposes a data-driven prediction method based on Multi-Task Learning (MTL). A sample dataset was constructed using a finite element model validated by experiments, and this dataset was used to train an MTL model for simultaneously predicting the structure's Specific Energy Absorption (SEA), maximum top plate deflection (<italic>δ</italic>max), and initial peak load (<italic>F</italic>max). The results show that the model achieves high prediction accuracy, with the coefficient of determination (R²) for each output response being no less than 0.99, effectively serving as a substitute for time-consuming finite element simulations. Further parameter sensitivity analysis reveals that core unit cell count (<italic>n</italic>) and web thickness of the core (<italic>t</italic>c) have the most significant influence on structural stiffness, followed by the top plate thickness (<italic>t</italic>1), while the bottom plate thickness (<italic>t</italic>2) has the least impact. Additionally, a saturation threshold for performance improvement was observed for the web thickness of the core (<italic>t</italic>c). Using the Non-dominated Sorting Genetic Algorithm II (NSGA-II), multi-objective optimization was conducted separately for deformation behavior, energy absorption performance, and comprehensive performance, resulting in optimal configurations that meet different design priorities.
Theoretical Calculation of Combustion Performance of Capsule-type Gun Propellant
LIANG Hao, LIANG Jinghao, DAI Zengjie, XU Bo, SONG Baolu, PANG Yu, HU Pin
, Available online  , doi: 10.11858/gywlxb.20261009
[Abstract](125) PDF (29)
Abstract:
To address the critical requirement for energy release control under high-pressure conditions in gun bores, and to resolve the conflict between high loading density and combustion progressivity, a novel end-capped tubular combined charge structure containing spherical propellants based on the "capsule" structure concept is proposed. This design utilizes the tubular shell and end-capped discs to form a slow-burning "capsule shell", with high specific surface area discrete spherical propellants filled inside acting as fast-burning "capsule agents". Through physical isolation and geometric burn-through of the outer shell, a high-progressivity combustion mode characterized by "slow burning followed by fast burning" is established. A theoretical combustion model incorporating the form function and gas generation intensity (Γ) is developed to quantitatively analyze the influence of component geometric parameters on combustion performance. Calculation results indicate that the combined charge exhibits typical "step-wise" double-peak characteristics during the combustion process. The burning thickness ratio of the end-capped disc to the tubular shell (rp-k) is critical for regulating the phase of high-pressure gas intervention into the internal combustion, thereby determining the onset timing of the Γ surge. The burning thickness ratio of the spherical propellant to the tubular shell (rq-k) directly governs the magnitude of combustion progressivity. When rq-k<0.5, the spherical propellants with high specific surface area burn out before the tubular shell within the high-pressure field, triggering a drastic surge in Γ; moreover, a smaller rq-k corresponds to a larger initial burning surface area, leading to a more significant gain in the Γ peak. Conversely, when rq-k>0.5, the tubular shell burns out before the spherical propellants, resulting in a step-wise drop in intensity at the late stage of combustion (Ψ>0.95). Furthermore, an increase in loading density further amplifies this surface area augmentation effect induced by geometric phase transition. Theoretically, this combined charge with "capsule" characteristics possesses high combustion progressivity, offering a novel approach for the development of combined gun charges.
Influence of Explosive Pressing Technique Parameter on Microstructure and Mechanical Properties of polymer-bonded energetic materials
CHEN Liangzhu, HUA Junyi, CAI Yang
, Available online  , doi: 10.11858/gywlxb.20251273
[Abstract](144) PDF (40)
Abstract:
Powder compaction process is the most widely used technology to fabricate polymer bonded explosives (PBX). The processing parameters have important effects on the microstructures and mechanical properties of the final products, and this work systematically studies these effects. Cylindrical PBX samples are fabricated with different preparation parameters, including pressing rates, porosity factors, temperatures and granular compositions, and examined with scanning electron microscopy (SEM) and computer tomography to characterize their initial microstructures. The samples are then tested with uniaxial compression experiments under strain rates varying from 0.0003 s-1to 7000 s-1to obtain the stress—strain responses. A modified Zhu-Wang-Tang constitutive model is then applied to describe mechanical response of the PBX samples, with the effects of strain rate beging considered. Postmortem samples subjected to quasi-static compression are examined via SEM and the deformation and damage mechanisms are analyzed (inner/inter-granular fractures and interfacial debonding). This work systematically reveals the relations between preparation methods, material micro-structures and compressive properties. It provides data of micro-structural characteristics and mechanical properties and proposes an efficient non-linear constitutive model for the PBX. The investigation is valuable for fabrication optimization and mechanical performance assessment of PBX.
Elastic wave velocities of lawsonite and its implications for seismic velocity anomalies in subduction zones
MA Junsheng, LIU Chuanjiang, WANG Duojun, CAI Nao, ZHANG Rui
, Available online  , doi: 10.11858/gywlxb.20261006
[Abstract](83) PDF (32)
Abstract:
Lawsonite is a key hydrous mineral in subducting oceanic crust, with an H₂O content of up to 11.5 wt.% and volume fractions that can reach ~50 vol.%, and it is stable over a wide pressure–temperature range. Constraining the high-pressure elastic properties of lawsonite is therefore essential for understanding seismic velocity structures in subduction zones and the deep water cycle. In this study, dense polycrystalline lawsonite was synthesized by hot-pressing natural lawsonite powder at 7 GPa and 1073 K for 2 hours. Ultrasonic interferometry was then used to measure P- and S-wave velocities of lawsonite up to 8 GPa at room temperature, from which the elastic moduli and their pressure derivatives were determined. The results show that both elastic wave velocities and moduli increase with pressure, yielding KS0=120(1)GPa, G0=51(1)GPa, Ks'=5.7(1), G'=0.9(1). Using these elastic properties, together with previous mineral-physics results, we constructed a lawsonite-bearing eclogite model, which indicates that the presence of lawsonite can provide a plausible explanation for the seismic velocity anomalies observed at depths of ~60–90 km within intermediate-temperature subducting slabs such as Nicaragua.
Structural Evolution, Dual Role of Hydrogen and Superconductivity in Lithium-Rich Li-N-H Compounds under High Pressure
LI Qiuyue, HAN Shuai, YANG Guochun
, Available online  , doi: 10.11858/gywlxb.20261017
[Abstract](134) PDF (35)
Abstract:
Using first-principles calculations combined with CALYPSO structure prediction method, we systematically investigated the crystal structures, electronic properties, and superconducting behavior of the Li-N-H ternary system under the pressure ranging from 100 to 300 GPa. Six thermodynamically stable or metastable Li-rich compounds were identified: C2 Li2NH, P212121 Li2NH, I4/mmm Li3NH, Imm2 Li8NH, Cm Li9NH and P2/c Li10NH. The results reveal a distinct evolution in the chemical role of hydrogen with increasing lithium content. In phases with lower Li content, H atoms tend to form covalent bonds with N atoms, thereby achieving a stable closed-shell electronic configuration. As the Li content increases, H atoms progressively occupy lattice interstitial sites, acting as electron acceptors that trap excess interstitial anionic electrons (IAEs). This transformation effectively tunes the quantity, degree of localization, and spatial topology of IAEs. Correspondingly, C2 Li2NH, P212121 Li2NH and I4/mmm Li3NH are insulating non-electrides, while Imm2 Li8NH, Cm Li9NH and P2/c Li10NH are electrides, which exhibit metallic behavior. Notably, P2/c Li10NH demonstrates superconductivity with a predicted transition temperature of 4.8 K at 100 GPa, mainly originating from the strong electron-phonon coupling between H-p orbital electrons and low frequency phonon modes dominated by Li atoms. This work elucidates the dual functional role of hydrogen in high-pressure Li-N-H systems—from covalent N-H bonding coordination to IAEs capturing—and provides theoretical insights for the rational design of novel high-pressure electrides and superconducting materials.
Statistical Characteristics of Spallation Based on Stochastic Numerical Simulation
GUAN Youhao, ZHANG Hao, PEI Xiaoyang
, Available online  , doi: 10.11858/gywlxb.20251290
[Abstract](172) PDF (42)
Abstract:
This work integrates stochastic theory with a phase-field model for spallation in ductile metals. By assigning the initial yield strength four distinct random distributions to characterize the random distribution of material defects and employing an explicit dynamic solver, the entire process of spall damage—from gradual evolution to instability and coalescence—was successfully simulated. The simulation results were validated through plate impact experiments and triangular wave loading experiments. These validations revealed the relationship between the heterogeneity of material yield strength and both the spall strength and the number/area of damage zones. The results indicate a negative correlation between the standard deviation of the initial yield strength and the spall strength, which holds for both single and multiple spall scenarios in ductile metals. For single spallation, regardless of the initial distribution of yield strength, the resulting spall strength follows a normal distribution. For multiple spallation, the number of initially nucleated damage zones increases linearly with the standard deviation, while the size of these zones follows a Weibull distribution. Under the same initial random distribution, the number of damage zones evolves over time, showing a trend of initial slow growth, subsequent acceleration until saturation, and a final decline after saturation. This trend corresponds to the typical process of damage evolution involving nucleation and coalescence during spallation.
Progress on Cross-Scale Design and Machine Learning Prediction of Penetration Resistance of Hybrid Fiber Reinforced Concrete
YU Xiaofeng, LUO Jianlin, WEN Yulei, ZHU Min, MA Minglei, LIU Chao, LIAN Chunming, CHEN Fengwei
, Available online  , doi: 10.11858/gywlxb.20251258
[Abstract](209) PDF (64)
Abstract:
Hybrid Fiber-Reinforced Concrete (HFRC) significantly enhances penetration resistance through multi-scale fiber hybridization and multi-stage energy dissipation mechanisms. Compared to single-type fiber-reinforced concrete, HFRC exhibits superior dynamic strength, energy absorption capacity, and crack resistance, establishing it as a key structural material in military protective engineering. This paper systematically reviews recent advances in cross-scale design and machine learning (ML) prediction of the penetration resistance of HFRC. The analysis begins by examining how different fiber combinations generate cross-scale synergistic effects that collectively improve the dynamic strength and anti-penetration capacity of HFRC. Subsequently, the mechanisms and multi-scale transmission pathways through which nanomaterials enhance the crater resistance and anti-spalling capacity of HFRC by strengthening the matrix and interfaces are examined. Furthermore, this review elucidates how multi-scale structural characteristics such as fiber distribution, orientation, and interfacial bonding synergistically govern the evolution of penetration-induced damage and the resulting failure patterns. Finally, the predictive efficacy of ML models for penetration resistance of HFRC is evaluated, along with potential integration pathways between ML and traditional numerical simulation.
Research on parameter optimization of corrugated Whipple protective structure under hypervelocity impact
GUO Jiaao, YANG Qiuzu, LIU Xiaochuan, YIN Yunfei, LI Zhiqiang
, Available online  , doi: 10.11858/gywlxb.20251276
[Abstract](279) PDF (77)
Abstract:
The geometric configuration of corrugated Whipple shields significantly influences their protective capability against hypervelocity impacts. To optimize the performance of corrugated Whipple shield structures under hypervelocity impact conditions, an integrated optimization method combining the finite element-smoothed particle hydrodynamics (FE-SPH) coupled algorithm with orthogonal experimental design was proposed. A reliable numerical simulation model was established, and the Z-axis momentum density was introduced as an evaluation index for protective performance. The effects of three geometric parameters-corrugation thickness, span, and angle-on the shielding effectiveness were systematically investigated. Orthogonal test results indicated that the order of influence of these factors was: thickness > angle > span. Further two-factor refined experiments were conducted, and a quadratic polynomial model was developed to identify the optimal combination of geometric parameters. The optimized configuration improved the protective performance by 33.72% compared to a flat panel. The study confirms that the optimized corrugated structure effectively promotes projectile fragmentation and debris cloud dispersion, facilitating three-dimensional redistribution of momentum, thereby significantly enhancing the shield's protective performance. This research provides a theoretical basis and a parameter optimization pathway for the design of spacecraft protective structures.
Synthesis and Characterization of P-Doped Diamond Crystals in the FeNiCo-C System under High Pressure and High Temperature
ZHANG Haobo, HU Meihua, LI Shangsheng, LIU Di, HE Shasha, LI Xiaoxiao, WANG Zhenyang
, Available online  , doi: 10.11858/gywlxb.20251285
[Abstract](322) PDF (64)
Abstract:
To investigate the effects of phosphorus doping on diamond crystal growth, diamond single crystals doped with phosphorus were synthesized along the (111) plane using the temperature gradient method. The experiments were conducted under conditions of 5.5 GPa and 1300 ℃, with Fe₃P added into the FeNiCo-C system. The synthesized diamond samples were characterized by Fourier-transform infrared spectroscopy (FTIR), Raman spectroscopy, photoluminescence (PL) spectroscopy, and X-ray photoelectron spectroscopy (XPS). With increasing Fe₃P addition, the diamond color gradually became lighter. The crystal morphology changed from octahedral to hexoctahedral. The nitrogen impurity content in the diamonds showed a decreasing trend as more Fe₃P was added. This occurs because the addition of Fe₃P alters the catalyst properties, increasing the nitrogen solubility of the catalyst. Thus, fewer nitrogen atoms enter the diamond lattice. Phosphorus doping increases internal stress and induces lattice distortion in the diamond crystal, degrading its quality. This conclusion is supported by the shift and broadening of the Raman peak. The incorporation of phosphorus atoms inhibits the formation of NV⁻ centers in diamond crystals. XPS results confirm the successful incorporation of phosphorus into the diamond lattice. This study provides useful insights for understanding the synthesis mechanism of phosphorus-doped diamond crystals. It also supports potential applications of phosphorus-doped diamond crystals.
Optimization of Borehole Spacing and Decoupling Coefficient for Presplitting Blasting in Water-Bearing Borehole
SHEN Zewei, LIU Haoshan, ZHANG Zhiyu, HUANG Yonghui, HE Defu
, Available online  , doi: 10.11858/gywlxb.20251292
[Abstract](337) PDF (64)
Abstract:
In water-filled borehole presplitting blasting,the incompressibility and high wave impedance of the water medium significantly alter the pathways of explosive energy transmission and the rock-breaking mechanisms.As a result, traditional parameter design methods developed for air-filled boreholes often lead to high overbreak ratios and excessive damage to the retained rock mass in water-bearing strata.Taking the water-rich slope of the Jianshan phosphate mine as the engineering background,this study establishes a coupled smoothed particle hydrodynamics–finite element (SPH–FEM) numerical model to systematically investigate the propagation characteristics of blast-induced stress waves,rock mass damage evolution,and crack propagation behavior under different borehole spacings and decoupling coefficients.The results indicate a strong correlation between the superposition of stress waves from adjacent boreholes and the coalescence of presplitting cracks.When the borehole spacing is 1.4 m and the decoupling coefficient is 2.34,the average crack propagation length reaches 49.48 cm,enabling the formation of regular and continuous through-going presplitting cracks while effectively suppressing excessive crushing around the borehole wall and the development of secondary cracks.Field tests further validate the reliability of the numerical simulations:under the optimized parameters,the half-hole rate of water-filled borehole presplitting blasting increases to 85%,and the acoustic reduction rate decreases by 18% compared with conventional blasting,demonstrating favorable damage control performance and crack-forming effectiveness under water-bearing conditions.The findings provide a useful reference for presplitting blasting parameter design in complex hydrogeological environments.
High-Pressure Metathesis Synthesis and Physical Property Characterization of Cubic Fluorite-Structured CeO2Cl0.07
KOU Xingjian, LIU Jingyi, WANG Yangbin, LEI Li
, Available online  , doi: 10.11858/gywlxb.20251286
[Abstract](272) PDF (62)
Abstract:
The 4f electron of Ce have long attracted extensive attention due to their unique delocalization mechanism and their influence on atomic structure, phase transformation behavior, and magnetic structure. We synthesized CeO2Cl0.07 with a cubic fluorite structure by changing the chemical ratio of the precursors (CeCl3, MgO powder) and regulating the high-pressure solid-state metathesis reaction (HSM) under the high temperature and high pressure conditions provided by a large volume press (1873 K, 5 GPa). We characterized the sample using diamond anvil cell (DAC), high-pressure in-situ synchrotron X-ray diffraction, scanning electron microscope (SEM), energy dispersive X-ray spectrometer (EDS), and high-pressure Raman spectroscopy. We obtained the P-V curve and compared it with CeO2, finding that CeO2Cl0.07 is more compressible. We obtained the high-pressure Raman phonon spectrum (F2g), and discovered that the relationship of CeO2Cl0.07 with pressure changes in the 0-2 GPa range and near 15 GPa also shows abnormality under non-hydrostatic pressure conditions. We believe that the doping of Cl elements introduces oxygen vacancies, which increases the concentration of Ce3+, thereby causing the delocalization of 4f electron and resulting in the observed phenomenon. This study developed a new high-pressure synthesis pathway for cerium-based compounds and revealed their behavior under high-pressure conditions.
Electrical Transport Study of Pressure-Induced Magnetic Transition in YbMnBi2
WEN Tianqi, FENG Qi, LI Meilun, CHENG Yi, LIN Chuanlong, XIAO Hong
, Available online  , doi: 10.11858/gywlxb.20251291
[Abstract](265) PDF (99)
Abstract:
This study presents high-pressure electrical transport and Raman spectroscopy measurements on the topological semimetal YbMnBi2. The transport results reveal a significant evolution of the resistance-temperature relationship with increasing pressure, followed by the emergence of negative magnetoresistance above 16.8 GPa and the observation of an anomalous Hall effect with a hysteresis loop at 30.1 GPa. These phenomena, combined with continuous changes in Raman spectra under corresponding pressures, collectively suggest that high pressure induces the formation of a net-moment magnetic ordered state and points to the possibility of a ferromagnetic transition. By systematically analyzing the evolution of resistance-temperature curve shapes, magnetoresistance sign, and Hall behavior, this work elucidates the cooperative regulation of magnetic order and topological electronic states in YbMnBi2 under pressure, providing new insights for its potential applications in spintronics.
Effect of Nanocrystalline Grain Size on the Dynamic Structure and Damage of Iron
YU Jinmin, GUO Xiuxia, HE Zhiyu, SHAO Jianli
, Available online  , doi: 10.11858/gywlxb.20251288
[Abstract](338) PDF (71)
Abstract:
The grain size effect is one of the key factors governing the dynamic mechanical response of metallic materials. In this work, phase transformation iron is selected as the model material, and a series of nanocrystalline polycrystals with identical topology and grain orientation distributions but different grain sizes are constructed to investigate size effects under a fixed grain configuration. Molecular dynamics simulations show that, under high strain rate uniaxial compression, all models undergo the processes of elastic deformation, α→ε phase transition, and high-pressure phase plastic deformation. During the elastic stage, grain boundaries act as a soft layer, leading to lower stresses in the fine grain models than in the coarse grain ones. After the structural phase transition, grain boundaries hinder the plastic development of the new phase, so that the fine grain models exhibit higher stresses than the coarse grain models. At the onset of phase transition, smaller grains possess a lower threshold of phase transition, and the transformed phase in fine grains mainly forms stacking fault structures, whereas twinning structures appear in relatively larger grains. With increasing strain, the disappearance of twinning and the reconstruction of stacking faults are observed in large grains. Under high strain rate tension, shear strain of grain boundary in the large grain models is highly localized, readily forming continuous shear bands that serve as preferred paths of crack propagation. After grain refinement, shear strain of grain boundary gradually evolves into a diffuse mode, and the effective paths of crack propagation are constrained by the network of grain boundaries. The change of grain boundary effects leads to a non-monotonic variation of fracture strength with the grain size.
A WMA-SVM Model for Slope Stability Prediction
SUN Huafen, RAO Hui, HOU Kepeng, WANG Honglin, WANG Zeqi
, Available online  , doi: 10.11858/gywlxb.20251241
[Abstract](358) PDF (68)
Abstract:
To enhance the prediction accuracy of data-driven models in slope stability classification, this study proposes a hybrid intelligent model (WMA-SVM) that integrates a novel Whale Migration Algorithm (WMA) with a Support Vector Machine (SVM). First, a heterogeneous dataset of slope cases from diverse engineering backgrounds was constructed. To address its significant class imbalance, a combined strategy using the Synthetic Minority Over-sampling Technique (SMOTE) and the Local Outlier Factor (LOF) algorithm was adopted to generate a high-quality balanced dataset. Subsequently, the WMA algorithm, which demonstrated superior optimization performance on eight benchmark test functions, was employed to optimize the hyperparameters of the SVM adaptively. Evaluation results show that the proposed WMA-SVM model significantly outperforms all benchmark models across various performance metrics. Moreover, based on the Permutation Feature Importance (PFI) method, the unit weight (γ), slope angle (β), and internal friction angle (φ) were identified as the most critical features influencing the classification outcomes for this dataset. Finally, the model's generalization capability was further validated through eight independent engineering case studies, revealing a high consistency between the predictions and the actual stability states. This research provides a modeling framework with considerable generalization potential for the intelligent analysis of slope stability.
Equivalent Bird-Strike Test Method and Fixture Design for the Trailing Edge of Aero-Engine Composite Fan Blades
SI Wulin, LI Wenhao, JIANG Xiaowei, LI You, ZHAO Zhenqiang, ZHANG Chao
, Available online  , doi: 10.11858/gywlxb.20251271
[Abstract](395) PDF (73)
Abstract:
In order to investigate the response and damage behavior of aero-engine composite fan blades under bird-strike events, an equivalent bird-strike test method is proposed in which component-level flat plate specimens are used to replace full-scale fan blades, with the aim of reproducing the trailing-edge delamination observed in full-scale blades during bird strikes by means of component-level flat plate tests. By carrying out bird-strike tests and numerical simulations of flat plate specimens under different clamping schemes, the impact response characteristics of the specimens and the initiation and propagation of delamination damage under each scheme are systematically analyzed; on this basis, a component-level equivalent test method capable of effectively simulating trailing-edge delamination during the blade bird-strike process is proposed, and the baseline impact conditions that can induce one-sided trailing-edge delamination in typical composite laminates, including impact height, impact velocity and bird-cut ratio, are determined. Moreover, by comparing experimental and numerical results under different impact conditions, the accuracy of the numerical model is verified. On the basis of the validated numerical model, numerical simulations are further used to analyze the sensitivity of the established equivalent test method to the impact parameters, and to quantify the influence of impact height, impact velocity and bird-cut ratio on the impact response of composite flat plates. The results show that the equivalent test method proposed in this paper can reproduce, through composite flat plate tests, the local displacement response and delamination damage modes of full-scale blades under bird strikes, and that the experimental results exhibit good robustness.
Effects of Solid Inerting Agent on Magnesium Powder Explosion under Fuel-Rich Conditions
LI Runzhi, LIU Mingshuai, CAO Mengting, MENG Xiangbao, DING Jianxu, LI Shihang, HAN Zhiyue
, Available online  , doi: 10.11858/gywlxb.20251210
[Abstract](342) PDF (71)
Abstract:
In order to prevent and control the deflagration hazard of magnesium powder in fuel-rich conditions, the explosion suppression test device was used to test the effect of solid inerting angets (Mg(OH)2, Ca(OH)2, Ca(HCO3)2) on the explosion characteristics of magnesium powder. The particle size and concentration were considered .The results show that in the range of 17~74 μm, the maximum explosion pressure increases with the decrease of particle size. The magnesium powder with 17 um diameter the best explosion concentration of 350 g/m3, the maximum explosion pressure of 0.716 MPa. The addition of Mg(OH)2, Ca(OH)2, and Ca(HCO3)2 inerting agents make the maximum explosion pressure and maximum pressure rise decrease, and the inerting mechanism of solid inerting agents on oxygen-enriched magnesium powder under oxygen-enriched conditions is revealed. Pressure and the maximum pressure rise rate decreased, and the inerting ratios of three inerting agents for effective inerting and complete inerting of magnesium powder were obtained, among which Mg(OH)2 inerting effect was the optimal, and the inerting ratios of reaching effective inerting and complete inerting were 170% and 220%, respectively. The inerting mechanisms of different inertants were revealed. Mg(OH)2 was inerted by the thermal decomposition to produce MgO isolation layer, which was adsorbed to the surface of magnesium particles to hinder oxygen contact. Ca(OH)2 was inerted only by thermal decomposition, and Ca(HCO3)2 was inerted by thermal decomposition to produce CO2 to enhance the inerting effect. The obtained conclusions provide an important reference for realizing the effective inerting of magnesium powder explosion under rich combustion conditions.
Numerical Simulation Study on Hypervelocity Impact of High-Entropy Alloy Protective Structure
YIN Yunfei, YANG Qiuzu, GUO Jiaao, LI Zhiqiang
, Available online  , doi: 10.11858/gywlxb.20251275
[Abstract](316) PDF (78)
Abstract:
The issue of orbital debris has emerged as one of the most pressing challenges in the field of space environment protection today. Most contemporary spacecraft shielding architectures employ the Whipple bumper configuration, in which a thin sacrificial “bumper” layer intercepts incoming micrometeoroids or orbital debris, causing them to fragment before impacting the primary structure. To date, aluminum alloys have been the material of choice for the bumper layer, owing to their favorable strength-to-weight ratio and ease of fabrication. In the present study, however, we explore the potential advantages afforded by high-entropy alloys (HEAs) as Whipple bumper materials under hypervelocity impact conditions. Using the AUTODYN software platform and the Smooth Particle Hydrodynamics (SPH) method, we conducted a series of numerical simulations in which spherical projectiles traveling at hypervelocities collide with Whipple-like multilayer configurations. Two different bumper materials were considered: a conventional aluminum alloy and a novel, equiatomic high-entropy alloy designed for high strength and damage tolerance. For each target configuration, we varied the projectile diameter, impact velocity, and the ratio of bumper thickness to projectile diameter (t/D) in order to assess their influence on debris cloud characteristics. Our results reveal several statistically significant differences between the debris clouds generated by the two bumper materials under otherwise identical conditions. First, the total mass of fragments produced by the high-entropy alloy bumper is approximately 51.9% greater than that produced by the aluminum alloy bumper. Second, the number of low-mass debris particles (defined here as fragments below a specified mass threshold) increases by roughly 79.6% in the HEA case, while the count of high-mass fragments correspondingly decreases. Third, the maximum momentum in the Z-direction carried by the debris cloud—an important metric for assessing secondary impact risks—is reduced to less than 75% of the aluminum alloy value across all tested projectile diameters. A parametric analysis further indicates that the overall expansion rate of the debris cloud is predominantly governed by impact velocity: higher velocities produce more rapid radial dispersion, regardless of the t/D ratio. By contrast, the generation of “dangerous” fragments—those with relatively high mass or kinetic energy—is primarily influenced by the bumper’s t/D ratio: increasing the relative thickness yields fragments that, on average, have greater mass and energy. Taken together, these findings suggest that high-entropy alloy laminates could offer an advantageous trade-off between fragment size distribution and momentum transfer in Whipple-style hypervelocity shielding, potentially mitigating the risks posed by secondary debris impacts on spacecraft subsystems. Further experimental validation and optimization of HEA compositions are recommended to refine these conclusions and facilitate technology maturation for spaceflight applications.
YANG Xigui, LAI Shoulong
, Available online  , doi: 10.11858/gywlxb.20251255
[Abstract](484) PDF (70)
Abstract:
Rhombohedral C60 holds significant potential for applications in fields such as two-dimensional materials and catalysis; however, the synthesis of high-purity, high-quality rhombohedral C60 remains challenging. In this study, rhombohedral C60 was successfully synthesized at 6 GPa and 650 ℃. Characterization by X-ray diffraction, Raman spectroscopy, X-ray photoelectron spectroscopy and spherical aberration-corrected transmission electron microscopy confirmed the obtained sample as a high-purity two-dimensional rhombohedral structure. The effects of pressure and temperature (6-10 GPa, 650-800 ℃) on the polymerization of C60 were investigated, clarifying the phase boundary between the rhombohedral phase and disordered amorphous carbon clusters. Temperature-dependent Raman spectroscopy revealed that the rhombohedral C60 polymer remains stable up to approximately 350 °C, beyond which it depolymerizes, reverting to the pristine face-centered cubic C60 molecules. This work defines a clear processing window for the synthesis of high-quality rhombohedral C60 and establishes an experimental foundation for its further application in functional materials.
Numerical simulation of CoCrFeMnNi high entropy alloy shaped charge jet and penetrating target#
MENG Yuquan, LEI Rong, LIU Shanshan, WU Xiaobao, SONG Weidong
, Available online  , doi: 10.11858/gywlxb.20251264
[Abstract](492) PDF (72)
Abstract:
The continuous advancement of modern armor protection technology poses increasingly severe challenges to the destructive power of shaped charge warheads. Traditional liner materials, due to their performance limitations, have become a major constraint on improving penetration depth. High-entropy alloys (HEAs), owing to their unique multi-principal element design, exhibit core potential properties such as high strength, high hardness, excellent fracture toughness, and good thermal resistance, making them highly promising candidate materials for new-generation liners. Against this backdrop, systematically investigating the static/dynamic mechanical properties of HEAs and the stability of the jets they form is crucial for developing high-performance shaped charge warheads. This study, through static and dynamic mechanical testing and research on CoCrFeMnNi HEA, determined the dynamic constitutive model and relevant parameters for this material. Numerical simulations of jet formation and target penetration processes for both copper and HEA liners were conducted using LS-DYNA. Compared to copper, the HEA liner formed a more stable and continuous jet. Its unique formation and stretching rupture mechanism ultimately translated into greater penetration depth, confirming the significant advantage of HEA in enhancing destructive efficiency.
First-Principles Study of the Effects of Phase Transitions and Decomposition on the Lattice Thermal Conductivity of Calcite
HONG Zheng, ZHU Yongqiang, XIONG Yuanmeng, LU Cheng, HE Kaihua
, Available online  , doi: 10.11858/gywlxb.20251228
[Abstract](651) PDF (73)
Abstract:
The lattice thermal conductivity (κlatt) of minerals plays a critical role in controlling heat flow and temperature distribution in the Earth's interior. Calcite, primarily composed of calcium carbonate (CaCO₃), can be subducted into the deep Earth and serves as an important carbon source. As pressure and temperature conditions change with depth, CaCO₃ undergoes phase transitions and thermal decomposition, which significantly affect its physical properties. In this study, we investigate the effects on thermal conductivity of calcite induced phase transitions and thermal decomposition using first-principles calculations combined with lattice dynamics. Our results show that the calcite I → calcite II phase transition leads to a reduction in thermal conductivity, whereas subsequent phase transitions at higher pressures result in increase. The thermal conductivity of aragonite and post-aragonite increases nearly linearly with pressure increasing, and the latter exhibiting a stronger pressure dependence. Upon thermal decomposition, the CaO exhibits significantly higher thermal conductivity than that of calcite, which may enhance local heat transfer. Analysis of relevant thermodynamic parameters indicates that the changes in thermal conductivity induced by phase transitions and decomposition are collectively determined by phonon group velocity and anharmonic scattering rates.
Crashworthiness of Bionic Fractal Multi-Cell Circular Tubes under Axial Load
GAO Jianming, ZHANG Xiaobin, LIU Zhifang, LEI Jianyin, LI Shiqiang
, Available online  , doi: 10.11858/gywlxb.20251250
[Abstract](483) PDF (68)
Abstract:
Inspired by fractal theory and biological structures, bio-inspired fractal tubes exhibit exceptional crashworthiness. This study constructs bio-inspired fractal multi-cell circular tubes with inscribed regular quadrilaterals, pentagons, and hexagons, and systematically investigates the influence of their mass, fractal dimension, and the number of sides of the inscribed regular polygon on crashworthiness through numerical simulation. The results indicate that the crashworthiness of the bio-inspired fractal multi-cell circular tubes improves with increasing mass. As the fractal dimension increases, the crashworthiness initially decreases and then improves. Furthermore, crashworthiness enhances with an increase in the number of sides of the inscribed polygon, although the variation in the number of sides has a minor impact on the peak crushing force. Based on the super folding element theory, a theoretical model is developed to predict the mean crushing force of the bio-inspired fractal multi-cell circular tubes, and the theoretical predictions show good agreement with the numerical simulation results.
Velocity Variation Law of Two Projectiles in Staggered Sequential Penetration into Concrete Targets with Limited Thickness
XU Baowen, ZHANG Dingshan
, Available online  , doi: 10.11858/gywlxb.20251244
[Abstract](523) PDF (71)
Abstract:
To investigate the effects of dislocation distance and projectile diameter on the velocity variation of the second projectile during the sequential penetration of a concrete target, a theoretical model was developed to characterize the energy loss and velocity change during the displaced penetration process. Validation experiments were designed, and a comparative analysis was conducted among theoretical predictions, experimental data, and numerical simulations. The results indicate that displaced sequential penetration reduces the velocity decay of the second projectile, thereby enhancing its penetration depth. As the dislocation distance increases, the beneficial influence of the first projectile on the second projectile’s velocity retention diminishes. Beyond a critical dislocation distance, this effect becomes negligible. A larger diameter of the first projectile corresponds to a greater critical dislocation distance. Under test conditions involving penetration of a 1 m thick C40 concrete target at an initial velocity of 600 m/s, the critical dislocation distances for projectile diameters of 50 mm, 80 mm, and 100 mm were approximately 8d, 10d, and 14d, respectively. The maximum deviations between theoretical predictions and experimental results for the second projectile’s velocity were about 7.1%, while numerical simulations deviated by approximately 3.8% from the experimental data.
Optimization Development and Application of Lee-Tarver Reaction Rate Model
DUAN Ji, LI Jing, ZHI Xiaokun, ZHANG Shuxia, YANG Xiao, ZHOU Jie
, Available online  , doi: 10.11858/gywlxb.20251254
[Abstract](626) PDF (72)
Abstract:
To address the shortcomings of the Lee-Tarver ignition and growth reaction rate equation, which comprises numerous parameters (15) and is difficult to calibrate, semi-periodic trigonometric functions were introduced to optimize the model. The new rate equation enhances the continuity of the ignition term, restricts the maximum value of the shape factors for the growth and completion terms to 1, mitigates the parameter compensation between the proportional coefficients (Grow1 and Grow2) and the shape factors, eliminates the reaction degree limit of the trinomial structure, reduces the number of parameters in the reaction rate equation to 10, thereby improving parameter calibration efficiency. Based on LS-Dyna, a secondary development was conducted for the improved ignition and growth model. Comparative calculations were performed to assess the shock initiation simulation results from the Lee-Tarver model and the optimized model, revealing highly consistent results for the internal pressure and reaction degree of the explosive, validating the correctness of the model development. Utilizing experimental data from explosive-driven metal plates, the parameters of the optimized ignition and growth model were calibrated with LS-OPT, and the sensitivity of the rate equation parameters was statistically analyzed to identify key parameters, providing a reference for further improving parameter calibration efficiency. Comparisons between experimental and simulated results of explosive-driven metal plates showed a simulation error of less than 3%, confirming the engineering validity of the calibrated parameters. Applying the improved ignition and growth model with safety experiments, the impact initiation response characteristics of ammunitions under bullet/fragment impact were investigated. Within 66 μs after bullet impact, the peak internal pressure of the explosive reached 0.145 Mbar (48.3% of the detonation pressure), indicating no detonation reaction occurred. Under fragment impact conditions, the peak internal pressure of the explosive was only 0.0079 Mbar, with the reaction degree near the impact point being higher than in other regions, but the maximum reaction degree was merely 0.01, confirming no detonation. The simulation results of the optimized model exhibited good consistency with experimental test results, validating the engineering applicability of the optimized and developed ignition and growth model.
Wave-Cutting Efficiency and Mechanism of Single-Tube Multi-Row Hole Bubble Curtain
DU Mingran, LI Jirui, JIN Cong, CENG Huilian, TAN Caiyong
, Available online  , doi: 10.11858/gywlxb.20251231
[Abstract](455) PDF (67)
Abstract:
To further optimize the wave-cutting efficiency of bubble curtain, field tests on underwater explosion shock wave attenuation using single-tube multi-row bubble holes and high-speed photography observations of bubble curtain morphology were designed. Additionally, the numerical calculation model for equivalent thickness of bubble curtain was studied using AUTODYN software. The results indicate that, under the same air flow rate, the number of bubble hole rows is a critical factor affecting wave-cutting efficiency. At a detonation center distance of 12m, the wave-cutting efficiencies for 1, 2, and 3 rows of holes are 89.92%, 97.25%, and 96.41%, respectively. At different detonation center distances, the cutting efficiency of the two-row hole bubble curtain is the best, and the cutting efficiency is all greater than 95.00%. Both the thickness and density of the bubble curtain are maximized with 2 rows of holes, and the thickness of the bubble curtain is the key factor determining wave-cutting efficiency. The equivalent thickness fitting formula established by combining experiments and simulations has high reliability, and the simulation model exhibits high accuracy. It is suggested that similar projects adopt single-tube 2-row hole bubble curtain to achieve convenient, efficient and low-cost wave-cutting efficiency.
Raman Scattering Study of Lattice Dynamics and Phase Transitions in Layered Perovskite Sr2Ta2O7 Ceramics under High Pressure
QIAN Chao, QI Wenming, Abliz Mattursun, HU Qingyang, WANG Yuanyuan, DONG Hongliang, CHEN Bin
, Available online  , doi: 10.11858/gywlxb.20251269
[Abstract](643) PDF (71)
Abstract:
Strontium tantalate (Sr₂Ta₂O₇) is a ceramic with an orthogonal Cmcm space group phase. Due to its potential applications in the field of multiferroic materials, it has become a research hotspot in recent years. However, the regulatory mechanism and phase transition behavior of hydrostatic pressure on its complex lattice structure remain unclear, which, to some extent, limits the in-depth understanding of the "structure-property" relationship of this material. This study systematically investigates the lattice dynamic response characteristics of orthogonal Cmcm Sr₂Ta₂O₇ under high pressure up to 30 GPa using in-situ high-pressure Raman spectroscopy, marking the highest pressure study conducted on this system to date. The results indicate that when the pressure reaches 5 GPa, significant changes occur in the Raman vibrational modes of the material, a phenomenon attributed to a structural phase transition induced by symmetry breaking, corresponding to a transition from a commensurate phase to an incommensurate phase, consistent with previous research findings on Sr₂Ta₂O₇. As the pressure further increases to 20 GPa, a second phase transition may occur, which is identified as a first-order phase transition closely related to lattice disordering. However, the specific crystal structure of this high-pressure phase remains to be further confirmed in future studies. The Raman spectroscopy analysis suggests that the structural distortion of this high-pressure phase may follow a transformation pathway from orthogonal to monoclinic.
Experimental Study on the Impact Dynamics Behavior of Ultrathin Carbon Fiber Composites
ZHAO Changfang, LIU Hao, ZHOU Caihua, ZHOU Zhitan, JI Liang
, Available online  , doi: 10.11858/gywlxb.20251265
[Abstract](576) PDF (73)
Abstract:
Carbon fiber reinforced plastics (CFRPs), as an advanced composite material, are widely used in engineering applications. However, research on the dynamic mechanical behavior of ultrathin CFRP laminates remains relatively limited. In this study, unidirectional ultrathin prepreg and hot-pressing molding processes were employed to fabricate ultrathin CFRP laminates with a single ply thickness of only 0.1 mm. The strain rate effects on specimens with five different ply orientations—0°, 90°, 0°/90°, 45°, and ±45°—were systematically investigated. Quasi-static compression tests indicated that the 45° ply orientation enhanced plastic behavior but reduced material strength and modulus, whereas the 90° ply orientation contributed to increased modulus and strength while reducing plastic deformation. Dynamic impact tests revealed that the 90° ply orientation improved both dynamic modulus and strength while decreasing yield strain. Although the 45° ply orientation reduced dynamic yield strength, it significantly increased the sensitivity of dynamic modulus and yield strain to strain rate. Compared with conventional CFRP laminates, the ultrathin CFRP composites developed in this study exhibited a 66% increase in fiber content per unit thickness; under the 0°/90° ply configuration, dynamic strength and modulus were enhanced by 123% and 926%, respectively. Based on the experimental data, a constitutive model for the ultrathin CFRP composites was established, and corresponding constitutive parameters were provided, offering a basis for predicting the mechanical behavior of CFRPs under different ply orientations and strain rates.
Coupling Mechanism of Wall Protection Blasting and Notched Blasting
GONG Yue, SU Hong, LIU Buqing, PAN Yan, WANG Cunguo, SUN Jinshan
, Available online  , doi: 10.11858/gywlxb.20251238
[Abstract](623) PDF (65)
Abstract:
In order to improve the blasting forming accuracy and the protection of surrounding rock under deep and complex geological conditions, comparative experiments of protective blasting and protective notched-coupling blasting were conducted using a digital laser dynamic caustic experimental system and PMMA specimens. The crack propagation mechanisms and mechanical response characteristics of the two blasting modes were systematically investigated. The results show that, in the protective notched-coupling blasting, the main crack propagates stably along the preset notched direction, demonstrating an excellent directional control effect. Meanwhile, the secondary peak value of the crack-tip stress intensity factor is significantly higher than that of the single protective blasting, indicating a stronger dynamic stress concentration effect. The notched-coupling blasting also exhibits a higher overall crack propagation velocity with slower attenuation at later stages, reflecting enhanced persistence and stability. In addition, this blasting mode effectively reduces the length and number of cracks on the protected wall side, thereby providing better rock-mass protection. Overall, the protective notched-coupling blasting optimizes crack propagation behavior and improves the directionality and energy utilization efficiency of blasting through the combined mechanisms of notch guidance and energy re-concentration. These findings provide theoretical support and technical guidance for precision blasting design and engineering applications in deep rock masses.
A Dynamic Spherical Cavity Expansion Model for Ceramics Considering Shear-Dilatancy
LI Xiao, LIANG Xuan, WEN Heming
, Available online  , doi: 10.11858/gywlxb.20251242
[Abstract](595) PDF (66)
Abstract:
The cavity expansion theory is often used to predict the penetration resistance of a target against a projectile. A dynamic spherical cavity expansion model for ceramic materials is suggested by considering shear-dilatancy effect through introducing a dilatancy-kinematic relation in comminuted region. The comminuted region is further divided into a linear comminuted region (satisfying the Mohr-Coulomb failure criterion) and a saturated comminuted region (satisfying the maximum shear strength), depending on whether the shear strength reaches its maximum (plateau). Firstly, equations for calculating radial stress at cavity surface are derived. Secondly, numerical simulations of cavity expansion process in ceramics at different expansion velocities are conducted. Finally, the effects of key parameters such as compressive strength and density on the cavity surface radial stress are discussed. It is shown that the model predictions for cavity radial stress and interface velocities of cracked and comminuted regions are in good agreement with numerical simulations. It is also shown that compressive strength plays a dominant role in enhancing cavity radial stress and the influence of density increases with increasing cavity expansion velocity.
Simulation Study on the Structure of a Shaped Charge Liner for Metal Jet Impact Initiation and the Stable Initiation Distance
WANG Xinyue, WANG Chenlong, LI Zhiqiang
, Available online  , doi: 10.11858/gywlxb.20251230
[Abstract](542) PDF (72)
Abstract:
Gob-Side Entry Retaining by Roof Cutting and Pressure Relief is widely employed in coal mining. However, the multi-segment air-decked charge structure used in its pre-splitting blasting requires a separate detonator for each charge segment, leading to problems such as high detonator consumption per borehole, elevated costs, operational complexity, and significant safety risks.To address this engineering challenge, the application of shaped metal jet impact-induced initiation technology in composite roof pre-splitting blasting has been proposed. Using LS-DYNA numerical simulation, a systematic investigation was conducted on liner structure optimization, factors affecting metal jet impact initiation, and the stable initiation distance.The findings demonstrate that the aluminum liner exhibits the optimal overall performance. With a cone angle of 60° and a wall thickness of 1 mm, it generates a shaped jet with high velocity, considerable length, and good continuity. In contrast, the copper liner, due to its high strength and high collapse energy threshold, fails to form an effective jet under low-power explosive charge conditions. Although the lead liner is readily accelerated, it produces jets with poor stability that are susceptible to necking and fragmentation.When the charge length-to-diameter ratio exceeds 3, the effective charge mass reaches saturation. Additional explosive energy is primarily dissipated through radial expansion and heat loss, resulting in the stabilization of both the maximum jet velocity and stable jet velocity.In an unconfined air environment, the maximum reliable initiation distance for a shaped jet from an aluminum liner (1 mm wall thickness, 60° cone angle) is 90 cm. Beyond this distance, jet stretching and attenuation lead to insufficient pressure to initiate the emulsion explosive.Confinement provided by steel pipes can significantly suppress the radial expansion of detonation products, enhancing energy utilization efficiency and consequently extending the initiation distance of the metal jet./t/nKewordsmetal jet; impact initiation; liner structure; decked charge; stable initiation
Optical Experimental Study on the Multiple Expansion-Contraction Motions Characteristics of Underwater Explosion Bubbles
SHENG Zhenxin, WANG Haikun, CHEN Jiping, ZHANG Xianpi, YU Jun, GAO Tao
, Available online  , doi: 10.11858/gywlxb.20251185
[Abstract](565) PDF (59)
Abstract:
The underwater explosion bubbles expand and contract several times until it runs out of energy, during the pulsations, the mutual conversion of energy occurs. At present, there is insufficient attention paid to multiple pulsations characteristics and energy conversion of underwater explosion bubbles. In this paper, the underwater explosion experiments of 20g, 40g, and 60g aluminized charges were carried out, and the evolution process of the bubbles multiple pulsations were photographed with a high-speed camera, then pulsation period and maximum radius of the bubbles were obtained after intelligent processing. On this basis, the theoretical analysis was conducted on the conversion mechanism of the potential energy, internal energy during the multiple pulsations. The results show that: (1) the residual energy rate of the second bubble pulsation relative to the first bubble pulsation was 0.31; (2) the proportion of internal energy of the bubbles to total energy is 5.4%-6.6%, so the internal energy could be ignored, and energy of the bubbles could be represented by the potential energy in the engineering application.
Analysis of High-Strain-Rate Deformation Induced Degradation of Critical Properties in Nb3Sn Superconductors
JIAN Zhangxu, DU Qiaoyi, DING He, XIAO Gesheng, LIU Zhifang, QIAO Li
, Available online  , doi: 10.11858/gywlxb.20251200
[Abstract](648) PDF (74)
Abstract:
Nb3Sn superconductors are vital for advanced applications like particle accelerators and fusion devices, yet their performance degrades irreversibly under the high-strain-rate dynamic loads encountered during quench or fast excitation. This study integrates molecular dynamics simulations, continuum mechanics, and density functional theory to unravel the underlying multiphysics coupling mechanisms. We probe the elastoplastic response, adiabatic heating from plastic work, and damage evolution in Nb3Sn composites under high-strain-rate tension. Our analysis reveals that at cryogenic temperatures, the niobium matrix deforms via full-dislocation slip, whereas the brittle Nb3Sn coating fractures. The associated temperature rise, driven by plastic work dissipation and accumulating with strain, synergizes with deformation-induced damage (amorphization and cracking) to severely degrade superconducting properties. These damage mechanisms cause irreversible electronic structure changes, directly impairing superconductivity. These findings establish a deformation-thermal-damage correlation mechanism, providing a theoretical foundation for the design of resilient superconducting devices.
Dynamic Plastic Deformation Mechanism of 301 Stainless Steel at Low Temperatures
WANG Pengfei, HUANG Tingting, CHEN Meiduo, ZHAN Junlan, TIAN Jie, XU Songlin
, Available online  , doi: 10.11858/gywlxb.20251246
[Abstract](535) PDF (59)
Abstract:
Deep space exploration faces challenges from extreme temperatures and complex high-speed operating environments, placing higher demands on the low-temperature impact resistance of materials. In this study, a low-temperature Hopkinson bar impact experimental device under a vacuum liquid helium environment was developed to achieve dynamic loading of materials under ultra-low temperature conditions. The dynamic mechanical response of 301 stainless steel produced by two rolling processes was investigated under the combined effects of low temperature (30K-298K) and high strain rates (4000 s⁻¹-5000 s⁻¹). Experimental results show that the yield strength of both materials exhibits a significant negative correlation with temperature and a positive correlation with strain rate. The unidirectionally rolled samples displayed an anomalous increase in toughness at 77K. The study indicates that the unidirectional rolling process induces a higher content of martensitic phase, thereby endowing the material with greater strength. Microstructural characterization results reveal that the anomalies in macroscopic mechanical behavior stem from the competition of deformation mechanisms; at room temperature, the samples mainly exhibit a toughness fracture mechanism dominated by ductile dimples, whereas at low temperatures, they transition to a brittle fracture mode dominated by quasi-cleavage. On this basis, the Johnson-Cook constitutive model was used to fit the mechanical properties, showing good consistency with the experimental results. This research provides important experimental methods and theoretical support for the dynamic strength and toughness design of metallic materials under extreme low-temperature impact conditions.
The Role of Gradient Structure in the Integrated Performance of PDC Cutters
GAO Jun, ZHANG Zhicai, HOU Zhiqiang, WANG Chao, LI Hao, YANG Yikan, YANG Jiao, FANG Rui, TANG Yao, WANG Haikuo
, Available online  , doi: 10.11858/gywlxb.20251233
[Abstract](677) PDF (61)
Abstract:
Addressing the urgent demand for high-performance polycrystalline diamond compact (PDC) cutters in deep/ultra-deep oil and gas exploration, this study optimized the PDC synthesis formulation through orthogonal experimental design. Under high pressure conditions (8.5 GPa and 1750 °C), we successfully fabricated both conventional homogeneous mixed PDC cutter (H-PDC) and gradient-structured PDC cutter (G-PDC) featuring a "fine-grained work layer/coarse-grained transition layer" structure. Microstructural characterization reveals that the gradient structure facilitates uniform distribution of cobalt binder, suppresses cobalt aggregation, enhances interlayer interfacial bonding, and generates higher residual compressive stress. The cobalt content in the G-PDC work layer is 9.16 wt.%. After acid leaching for cobalt removal, the cobalt content decreased to 2.49 wt.%. Performance evaluations demonstrate that G-PDC achieves a wear resistance lifespan of 920 passes, superior to H-PDC (800 passes). The average impact toughness of G-PDC reaches 740 J, representing approximately 107% improvement over H-PDC. Furthermore, the gradient structure alleviates thermal expansion mismatch, increasing the thermal stability temperature by about 30 °C. This research confirms that combining high pressure synthesis technology with gradient structural design can synergistically enhance the wear resistance, impact toughness, and thermal stability of PDC cutters, providing a viable pathway for developing next-generation superhard composites for extreme working conditions.
The Influence of Cottonseed Oil Content on the Rheological Properties and Anti-Vibration Performance of Site-Mixed Emulsion Matrix
YUE Xing, HE Zhiwei, HUANG Zhenyi, YUE Jiawei, HU Qianhao, LI Yuanlong
, Available online  , doi: 10.11858/gywlxb.20251226
[Abstract](513) PDF (55)
Abstract:
To investigate the influence of cottonseed oil content on the rheological properties and anti-vibration performance of site-mixed emulsion explosive matrix, samples of site-mixed emulsion explosive matrix with different cottonseed oil contents were prepared. A rotational rheometer, HY-5A rotary speed-regulating vibrator, and water dissolution method were used to study the rheological properties and anti-vibration performance of the site-mixed emulsion matrix. The results show that when the mass fraction of cottonseed oil is not more than 2.5%, the viscosity of the site-mixed emulsion matrix increases gradually. In terms of the temperature environment of the pipeline of on-site mixing trucks, the viscosity of the emulsion matrix can meet the pumping requirements. The elastic modulus and cohesion increase gradually and then remain nearly stable. The anti-vibration performance first increases and then decreases, and when the cottonseed oil content is 2%, the anti-vibration performance is the best.
Study on the Detonation Performance and Equation of State of Low Density Explosive Mixed by PBX-9502 Powder and 502 Glue
LIU Kun, TANG Jiupeng, WANG Qiang
, Available online  , doi: 10.11858/gywlxb.20251175
[Abstract](517) PDF (57)
Abstract:
This study focuses on the detonation performance and equation of state (EoS) of a low-density composite explosive mixed in a certain proportion of PBX-9502 powder and 502 glue. The theoretical analysis method is used based on the BKW program. The main work includes calculating the heat of formation of Kel-F (PBX-9502 binder) and ethyl cyanoacrylate (main component of 502 glue) using the group contribution method, determining the standard entropy temperature coefficient and excess volume of 18 product gases containing F and Cl elements, and calculating the CJ detonation velocity and pressure of the products for five ratios and four density states under the framework of the BKW program. The corresponding JWL EoS parameters are fitted based on the calculated CJ isentropic line. The results show that the detonation velocity and pressure are positively correlated with initial density, but negatively correlated with the content of 502 glue. The relevant results provide a theoretical basis for the selection of 502 glue ratio and mixed charge density in practical applications. The obtained JWL EoS parameters can also be used by general detonation calculation software to evaluate the detonation performance of devices. The relevant method can also be directly extended to the study of detonation parameters of other formulated explosives (sulfur, aluminum), which has important engineering application value。
Reaction Evolution Characteristics of Ignited DNAN-Based Explosive Charges with Pre-cracks
YAO Xin, WANG Hui, SHEN Fei, QU Kepeng
, Available online  , doi: 10.11858/gywlxb.20251181
[Abstract](718) PDF (50)
Abstract:
To investigate the influence of cracks and gaps on the reaction evolution characteristics of aluminum-containing DNAN-based explosives after the formation of mechanical induced hotspots, explosive charge samples with different initial cracks were fabricated. An explosive impact ignition device based on gun propellant combustion loading was designed. The evolution process following the ignition of explosives was simulated. Pressure changes and post-test morphological features of the explosives were recorded. Numerical simulations were conducted to analyze the stress field and reaction distribution of explosive charges with different initial cracks under the same loading conditions. The results indicate that the crack-free and single-line crack explosive charge with no gap debris remained intact, and pressure dropped rapidly after the peak with no reaction occurred, and the hot spot region was located at the bottom. While for the single-line crack explosive charge with 1mm gap, the explosive charge fractured and exhibited local low-order reactions, with a slow pressure decay process. Among these, the hot spot region of the single-line crack explosive shifted to the side surface, while the cross-line crack explosive formed dual hot spot regions on both the side surface and bottom, further enhancing the reaction intensity. This demonstrates that pre-cracks significantly influence the explosive reaction process by altering stress distribution and expanding hot spot regions.
Phase Transformation, Sintering Mechanism and Dynamics of Singlet-Doublet Al Nanosphere Collisions with Initial I-Shaped Configuration
JIANG Jun, SUN Weifu
, Available online  , doi: 10.11858/gywlxb.20251176
[Abstract](564) PDF (48)
Abstract:
Molecular dynamics simulations are used to study the dynamics of a single Al nanosphere (singlet) colliding with an aggregate of two Al nanospheres (doublet) with initial I-shaped configuration. Depending on the initial impact velocity, there are four collision outcomes, namely bounce, adhesion, aggregation and melting. At a very low velocity, the repulsive force between the nanospheres will cause the nanospheres to rebound without contact, and the critical velocity of bounce decreases with the increase of the diameter of the nanosphere. As the velocity increases, the nanospheres are sintered together due to adhesion between them and the formation of new bonds. The phase transformation and atomic diffusion during singlet-doublet collisions are quantitatively characterized by Common Neighbor Analysis, Dislocation Analysis and mean square displacement to explore the underlying sintering mechanism. The critical impact velocity of singlet melting is obtained by monitoring the temperature of singlet with different diameters.
Research Progress on Two-Dimensional Diamond
MING Jiaxin, LI Jiayin, CHEN Yabin
, Available online  , doi: 10.11858/gywlxb.20251248
[Abstract](691) PDF (72)
Abstract:
Two-dimensional (2D) diamond, an atomically thin carbon-based material, not only inherits the exceptional properties of bulk diamond but is also expected to exhibit unique physical characteristics arising from nanoscale effects. Currently, research on 2D diamond remains in its infancy, being primarily driven by theoretical investigations, while experimental efforts have mainly focused on its controllable synthesis and structural characterization. Owing to pronounced interfacial effects, the direct application of conventional high-pressure synthesis methods to nanoscale systems is considerably limited, making it challenging to achieve a stable transition from sp2 to sp3 hybridization, thereby posing numerous critical scientific challenges for the study of 2D diamond. This review systematically summarizes recent theoretical and experimental advances in the structural features, synthesis strategies, and physicochemical properties of 2D diamond, and provides perspectives on future research directions and scientific opportunities in the field of 2D diamond.
Theoretical Study on Structural Stability and Superionic Phase Transition of UH5 under High Pressure
DING Yuqing, JIA Xixi, ZHANG Wenhui, WANG Hui
, Available online  , doi: 10.11858/gywlxb.20251224
[Abstract](451) PDF (63)
Abstract:
The thermodynamic, mechanical, and dynamical stability, along with the electronic properties of UH5 within 30 GPa, are systematically investigated using first-principles calculations. The experimentally synthesized orthorhombic, hexagonal, and cubic phases are all found to be magnetic materials, with spin polarizations of 82%, 100%, and 100%, respectively, and their thermodynamic stability decreases sequentially. Elastic constant and phonon calculations demonstrate that all three phases are mechanically and dynamically stable. Chemical bonding analysis indicates that this stability primarily originates from the prevalent covalent U-H interaction within the lattice. Furthermore, it is predicted that the orthorhombic phase, which has been experimentally quenched to 1 GPa, transforms into a superionic state at 1200 K, where hydrogen ions undergo rapid diffusion within the uranium sublattice interstices, achieving a diffusion coefficient of 1.2 × 10 -4 <italic>cm²/s.</italic>
FENG Yuheng, LIANG Anqi, LIU Xingyu, YIN Jianping, YI Jianya, ZHANG Xuepeng
, Available online  , doi: 10.11858/gywlxb.20251213
[Abstract](451) PDF (50)
Abstract:
To investigate the influence of torpedo guidance nose configuration on the lethality of an underwater shaped charge warhead, a series of numerical simulations were performed using the AUTODYN finite element code. The damage performance of the shaped penetrator under different simulated nose structures was studied, analyzing the complete process including shock wave diffraction, behind-target load propagation, and target damage. The results indicate that both the penetrator head velocity and the behind-target hole diameter generally increase with the total length and number of layers of the simulated nose. Within a certain range, increasing the number of nose layers effectively optimizes the formation of the EFP, thereby enhancing its penetration capability. Furthermore, there exists an optimal total nose length that maximizes the head velocity while preventing necking and fracture of the penetrator.
Simulation Study on Hard X-Ray Detection Efficiency for Microchannel Plate
YANG Jing, DAN Lianqiang
, Available online  , doi: 10.11858/gywlxb.20251193
[Abstract](566) PDF (47)
Abstract:
An improved detection efficiency model for microchannel plate response to hard X-ray is described, which builds on previous models by incorporating a more detailed consideration of cross talking for photoelectron cross-section between atomic shells in the MCP bulk. An analytical investigation and numerical calculation of the detection efficiency were carried out as function of compositional parameters, channel diameter, wall thickness, MCP thickness, respectively. Furthermore, according to the calculation results and developed technologies, a group of optimized parameters were given out, and 45% detection efficiency was found response to 50 ~ 200 keV X-ray.
Effect of Boron Nitridecontent on the Explosion Performance of On-Site Mixed Emulsion Explosives
FU Jiakun, LIU Feng, ZHU Zhengde, CHEN Chuanbin
, Available online  , doi: 10.11858/gywlxb.20251223
[Abstract](450) PDF (51)
Abstract:
To investigate the effect of boron nitride (BN) content on the explosive performance of on-site mixed bulk emulsion explosives, transmission electron microscopy (TEM) and optical microscopy were employed to characterize the microstructure of BN particles and the matrix, respectively. Air blast testing, the probe method, and the lead cylinder compression test were used to determine the shock wave parameters, detonation velocity, and brisance of the BN-containing on-site mixed bulk emulsion explosives. Combined with theoretical calculations, the influence of BN content on the microstructure and explosive properties was systematically studied. The test results indicate that the addition of BN did not significantly affect the stability of the internal phase droplets. As the BN content increased from 0% to 1.6%, the detonation velocity, brisance, and peak overpressure all exhibited a trend of initial increase followed by decrease: the detonation velocity increased from 3850.45m·s⁻¹ to 4724.89m·s⁻¹ and then decreased to 3903.20m·s⁻¹, with a maximum increase of 22.71%; the brisance increased from 13.86 mm to 19.87mm and then decreased to 17.18mm, with a maximum increase of 43.36%; the peak overpressure increased from 136.44kPa to 318.33kPa and then decreased to 285.41kPa, with a maximum increase of 133.31%; the specific impulse increased from 9.23Pa·s to 33.98Pa·s and then decreased to 31.99Pa·s, with a maximum increase of 268.15%. Based on the experimental results, introducing an appropriate amount of BN can significantly enhance the explosive performance of on-site mixed bulk emulsion explosives.
Impact-Induced Fracture Process and Energy Dissipation Characteristics of Copper-Bearing Albite Rock Based on FDEM
ZHANG Xiyuan, LI Xianglong, ZUO Ting, LIU Jinbao, WANG Jianguo, HU Tao, WANG Hao
, Available online  , doi: 10.11858/gywlxb.20251198
[Abstract](738) PDF (59)
Abstract:
In order to ensure the efficient recovery of copper resources, the copper-bearing albite rock samples were taken as the research object, and the impact loads with different strengths were applied by using the split Hopkinson pressure bar ( SHPB ). The crack propagation process was recorded by a high-speed camera system, and the energy dissipation law of the samples under different impact pressures was analyzed by combining the one-dimensional stress wave propagation theory and the law of conservation of energy. At the same time, a numerical model of the impact process of copper-bearing albite is established based on the finite-discrete element ( FDEM ) coupling algorithm. The results show that the incident energy and the peak stress increase with the increase of the impact pressure, and the degree of fragmentation of the sample also increases. When the incident energy is less than 140 J, the energy dissipation rate increases with the increase of the incident energy. When the incident energy is greater than 160 J, the energy dissipation rate decreases with the increase of the incident energy, and the energy dissipation rate reaches the maximum when the impact pressure is 0.35 MPa. The new crack area and the total impact energy increase with the increase of impact load. When the impact pressure is 0.30 MPa, the strain energy ratio is the smallest, indicating that the rock breaking efficiency of 0.30 MPa impact pressure is the highest. In the process of impact, tensile failure plays a dominant role and forms the main dominant area in the horizontal direction. The numerical model based on FDEM can effectively predict different shocks.
OUYANG Dehua, LIU Yuhan, PAN Jiazheng, LI Zhe, GUO Xiaoqiang, WANG Song, LIU Xingyu
, Available online  , doi: 10.11858/gywlxb.20251191
[Abstract](578) PDF (49)
Abstract:
To enhance the safety of the non-lethal kinetic energy ammunition used in the current 38mm riot control guns in the country, the finite element - discrete element method was employed to numerically simulate the impact process of the 38mm spherical kinetic energy projectile filled with lead sand on a human body - like target. The modeling method and parameter selection were indirectly verified through a rigid - wall experiment, and data on the deformation process, kinetic energy, velocity, displacement, and energy transfer rate during the projectile impact on the target were obtained. Based on this, comparative analysis was conducted on different projectile velocities and wall thicknesses, and safety related shooting suggestions were proposed. The results show that the projectile undergoes significant deformation upon impact with the target, transforming into a disc like shape, while the target exhibits a circular indentation, with both deformations being partially recoverable to some extent. The wounding power of the projectile increases with velocity and decreases with wall thickness. The minimum safe shooting distances without causing abdominal skin penetration injuries for projectile wall thicknesses of 5mm, 7mm, and 9mm are 122.40m, 64.62m, and 31.26m, respectively.
Influence of Rock Mass Joints on Slot Blasting and Parameter Optimization Based on Discrete Element Method
SONG Yongkang, LIU Haoshan, ZHANG Zhiyu
, Available online  , doi: 10.11858/gywlxb.20251186
[Abstract](579) PDF (49)
Abstract:
The grooving and blasting effect of the drilling and blasting method in roadway tunneling directly affects the blasting cycle efficiency, while the existing studies mostly ignore the influence of mesoscopic defects such as internal joints of rock mass. Based on the PFC 2D discrete element method, a discrete fracture network (DFN) is introduced to construct a rock mass model with different densities of joints, and the particle expansion method is used to simulate the groove blasting process, and the effects of joint density on crack propagation, energy dissipation and post-explosion block size are systematically analyzed. On this basis, the blast hole layout scheme is optimized, the original 6-hole layout is simplified to a 4-hole diamond-shaped layout, and the 15 ms differential detonation is used to improve the explosive energy utilization rate, and the post-detonation effect is similar to the original scheme. Field tests show that the optimization scheme effectively saves the actual production cost and reduces the drilling workload. The research results emphasize the importance of considering the joint defects of rock mass for the optimization of blasting parameters, and provide a theoretical basis and practical reference for efficient tunneling of rock roadways.
Effect of wire material on the energy deposition in electro-chemical coupling explosions
WANG Cheng, WANG Hangyu, LI Xinghan, WEI Ding, LIN Jiarui, CHEN Haodong, GAN Yundan
, Available online  , doi: 10.11858/gywlxb.20251173
[Abstract](589) PDF (51)
Abstract:
To enhance the total energy output and power of energetic materials, this study employs plasma generated by electrically exploded metal wires to initiate the detonation of energetic materials, achieving coupled release of electrical and chemical energy. Using a self-built experimental system for electro-chemical coupling explosion, voltage and current curves during the explosion process were measured under ambient temperature and pressure in air. The electro-chemical coupling explosion was divided into four typical stages. The research indicates that the primary energy deposition of different metal materials occurs at distinct stages: nickel and copper wires, with their medium boiling points and high temperature coefficients of resistance, achieve efficient phase change energy deposition during the wire phase transition and current pause stages. During the plasma discharge stage, aluminum undergoes explosive vaporization due to oxide layer fracture and forms highly conductive plasma owing to its low ionization energy, leading to a significant leap in energy deposition. Tungsten, through latent heat accumulation in the liquid phase and a sharp increase in resistance, accounts for over 80% of its energy deposition during the plasma discharge stage. The study also reveals that the unique current pause phenomenon in electro-chemical coupling explosions is influenced by metal properties (such as temperature coefficient of resistance, boiling point, and latent heat of vaporization). Copper wires exhibit the longest current pause duration, while tungsten wires show no such phenomenon. This paper systematically investigates the power and energy deposition characteristics during electro-chemical coupling explosions, elucidates the influence mechanisms of metal materials on the energy release process, and provides experimental evidence and technical support for enhancing the total energy output and power of energetic materials.
Metallic Hydrogen Ligand Compounds: A Potential Route to Superconducting Metallic Hydrogen at Ambient Pressure
ZHANG Zihan, DUAN Defang, CUI Tian
, Available online  , doi: 10.11858/gywlxb.20251216
[Abstract](690) PDF (58)
Abstract:
Metallic hydrogen, with its properties including room-temperature superconductivity and quantum fluidity, is known as the holy grail of high-pressure physics. However, since atomic metallic hydrogen requires pressures about 500 GPa, it has not been realized in experiments since its conception in 1935. To take advantage of properties the properties of metallic hydrogen in the future, it will be crucial to obtain it at ambient pressure. Current approaches to obtaining metallic hydrogen at low pressures rely on the "chemical precompression" in hydrides to induce metallization of hydrogen at low pressures, essentially identifying superconducting hydrides that can host the properties of metallic hydrogen. However, these superconducting hydrides currently lack distinct structural features, complicating the search for metallic hydrogen hosts. Here, we identify metallic hydrogen ligand compounds with hydrogen as the ligands as potential hosts for properties of metallic hydrogen at low pressures. The metallization of the non-bonding orbitals of the hydrogen ligands is a key criterion for determining whether a metallic hydrogen ligand compound can host metallic hydrogen properties. This article summarizes the main behaviors of hydrogen at ambient pressure, focusing on hydrogen ligand compounds at ambient pressure. Then, using a simple model of a one-dimensional hydrogen atom chain, we analyzed the causes of non-bonding orbital metallization and the physical picture of reduced stability pressure. The orbital characteristics of metallic hydrogen ligand compounds are then analyzed, highlighting their rules of superconductivity, topological properties, and the electronic structure that enable metallization. The analysis of metallic hydrogen ligand compounds presented in this article not only provides important structural information for future exploration of metal hydride superconductors but also provides an important theoretical foundation for realizing the properties of metallic hydrogen at ambient pressure.
Inhibition Mechanism of KHCO3-Containing Water Mist on Methane/Hydrogen Premixed Deflagration
HUANG Hui, LI Yuanbing, LI Xia, SHAO Peng
, Available online  , doi: 10.11858/gywlxb.20251189
[Abstract](597) PDF (38)
Abstract:
Explosion prevention and mitigation technologies for hydrogen/methane gas mixtures represent a critical research area for ensuring the safe application of hydrogen energy. This study systematically investigates the inhibition mechanism of potassium bicarbonate (KHCO3)-containing fine water mist on methane/hydrogen premixed deflagration using a combined approach of experiment and numerical simulation. The results indicate that KHCO3-containing fine water mist exhibits a significant inhibitory effect on methane/hydrogen premixed deflagration, with its suppression performance positively correlated to the KHCO3 mass fraction. Taking the condition of X_(H_2 )=10% as an example, 11 wt% KHCO3 addition resulted in reductions of the maximum explosion pressure P_max and the average rate of pressure rise 〖(dp/dt)〗_avg by 34.64% and 44.57%, respectively. The laminar burning velocity was reduced by up to 66.43%. KHCO3 contributes to suppression through both physical and chemical mechanisms. Physically, droplet phase change (evaporation) absorbs heat and the generated steam dilutes the fuel mixture, thereby lowering the flame temperature and reducing reactant concentrations. Chemically, the decomposition of KHCO3 generates potassium compounds, which undergo the KOH → K → KOH recombination cycle to scavenge key radicals (•H, •O, •OH). This process competes with chain-branching reactions and interrupts the combustion chain reactions.Furthermore, the suppression process is governed by a competition between inhibitory and promotional effects. At high hydrogen blending ratios and high mass fractions, the physical evaporation efficiency becomes a bottleneck that constrains the chemical inhibition, leading to a saturation of the overall suppression efficiency. Nevertheless, a significant inhibitory effect is still maintained.
Preliminary XFEL Experimental Simulation Platform Based On HSWAP Engine
LIU Jin
, Available online  , doi: 10.11858/gywlxb.20251155
[Abstract](717) PDF (40)
Abstract:
X-ray Free Electron Laser (XFEL) plays a critical role in diagnosing dynamic compression processes in micro- and meso-scale materials. To deepen our understanding of XFEL physics and optimize facility design, a preliminary XFEL experimental simulation platform was developed based on the High-Performance Computing (HPC) Simulation Workflow Application Platform (HSWAP). HSWAP provides workflow, component, and data linkage models for XFEL experiments, enabling flexible simulation of diverse processes through modular configurations. This platform was employed to investigate X-ray diffraction (XRD) of microscale materials and phase contrast imaging (PCI) of meso-scale explosive samples. Simulation results for XRD of a metallic sample under shock loading and PCI of voids in explosive materials demonstrate the platform's ability to accurately reproduce experimental dynamics. By integrating numerical models with data analysis, the platform enhances the design of XFEL experiments and provides a foundation for interpreting diagnostic capabilities in ultrafast processes. Future work will focus on refining simulation methods for meso-scale samples using phase-field approaches and high-Z materials under shock conditions.
Bursting Performance Optimization of Reverse-Arched Bursting Discs Based on Variable Fidelity Surrogate Models
YU Yaowen, LIANG Hao, CHEN Zhanghai, PU Weiqiang
, Available online  , doi: 10.11858/gywlxb.20251123
[Abstract](779) PDF (41)
Abstract:
To address the optimization design problem of the bursting performance of reverse-arched bursting discs (RABDs), a hierarchical Kriging (H-Kriging) surrogate model was constructed based on both high- and low-fidelity finite element analysis results. This model enables the rapid prediction of the burst pressure of RABDs, facilitating the development of a mathematical model for performance optimization and structural improvement. The results show that the H-Kriging surrogate model relating burst pressure to structural parameters based on high- and low-fidelity finite element models can significantly reduce computational cost while accurately predicting the burst pressure of RABDs. For the initial structural design scheme of RABDs, optimization was carried out using a genetic algorithm, with the optimized design accounting for manufacturing tolerance in disc thickness. This resulted in a 58.8% reduction in burst pressure fluctuation, significantly reducing the sensitivity of burst pressure to thickness manufacturing errors and providing valuable engineering reference.
Numerical Investigation on Cavity Evolution and Motion Characteristics of High Speed Water Entry Ogival Projectiles with Different Headforms
ZHENG Xiaobo, SONG Haisheng, ZOU Daoxun, YAO Weiguang, LI Teng, GUI Yulin, HE Yu, CHEN Yonglong
, Available online  , doi: 10.11858/gywlxb.20251169
[Abstract](592) PDF (50)
Abstract:
At present, The trans-media weapon is one of research hotspot in the military field. Based on the reynolds time-averaged N-S equation, VOF multiphase flow model and modified Realizable k-ε turbulence model, a three-dimensional numerical simulation method is constructed to study the cavity evolution and motion characteristics of ogival nose projectiles with different head shapes during high-speed vertical water entry, and the influence of head shapes on the cavitation evolution and motion characteristics is analyzed. The results show that the numerical simulation and experimental data have good consistency in the evolution of cavity shape and projectiles velocity. The geometry of the projectile warhead significantly affects the formation mechanism of the cavity and the motion characteristics of the projectiles. The cavity of ogival nose projectiles and double-cone ogival nose projectiles initially appears in the shoulder area of the projectile body, while the cavity of cone-cylinder ogival nose projectiles starts in the head and quickly wraps the entire projectile body. Combined with the analysis of the fluid pressure field, it is shown that a low-pressure area appears on the double-cone ogival nose projectile, which leads to the slowdown of the projectile velocity attenuation. The head of the cone-cylinder ogival nose projectile forms a typical high-pressure area, which leads to the acceleration of the projectile velocity attenuation. In addition, the axial acceleration of the cone-cylinder ogival nose projectile is more than twice that of the other two projectiles.
Molecular Dynamics Simulation of Micro-Jetting and Spallation in Helium-Bubble Copper under Double Supported Shocks
WANG Xinxin, BAO Qiang, HE Anmin, SHAO Jianli, WANG Pei
, Available online  , doi: 10.11858/gywlxb.20251075
Abstract:

Micro-jetting and micro-spallation at metal interfaces under intense shock loading play pivotal roles in applications such as inertial confinement fusion (ICF). These phenomena exhibit inherent complexity due to their multi-scale dynamics, strong nonlinearity, and coupled multi-field interactions. Under extreme irradiation conditions, the formation of high-pressure nanoscale helium bubbles significantly alters interface failure mechanisms. Using molecular dynamics methods, we investigate micro-jet growth and damage evolution in helium-containing copper subjected to double supported shock loadings. Helium bubbles demonstrate lower critical activation stress thresholds for expansion compared to void nucleation, with these thresholds being dependent on bubble distribution and number density. Under low-pressure primary shocks, helium-containing metals produce more pronounced micro-jets than pure metals. During secondary shocks, helium bubbles promote jet fragmentation, resulting in higher maximum velocities at micro-jet tips while maintaining comparable velocity distributions in micro-jet bodies. Secondary shocks show negligible effects on bulk helium bubbles that were previously compressed by initial shocks and partially rebounded due to rarefaction waves without complete recovery. Near-surface ruptured bubble walls may reattach to bubble bases after secondary shocks, temporarily re-trapping helium atoms that are subsequently released during unloading-induced re-expansion and rupture. The collapse mechanism of helium bubbles under secondary shock is closely related to the helium bubbles size and the strength of secondary shock. This study establishes fundamental physical understanding and provides a theoretical foundation for future cross-scale investigations of coupled micro-jetting and micro-spallation evolution in irradiated helium-containing metals.

Crystal Structure and Physical Properties of Sr2He Compound under High Pressure
WANG Qingmu, ZHANG Pan, SHI Jingming, LI Yinwei
, Available online  , doi: 10.11858/gywlxb.20251084
Abstract:

By combining first-principles calculations under the framework of density functional theory (DFT) and the CALYPSO crystal structure prediction method, the structural stability of the inert element helium (He) and alkaline-earth metals under high-pressure conditions has been systematically investigated. The calculations reveal that among the alkaline-earth metals, strontium (Sr) forms compounds with He exhibiting relatively low energy values. Consequently, the crystal structure of Sr2He at 400 GPa was predicted. Electron localization function (ELF) and density of states (DOS) analyses show no tendency for covalent bond formation between Sr and He atoms. Furthermore, Bader charge analysis reveals ionic bonding between Sr and He atoms, with charge transfer occurring from He to Sr. These results provide key insights into the bonding mechanism of Sr2He. This study elucidates the crystal structure, bonding nature, and electronic properties of Sr2He, offering theoretical support for understanding the stability and physical properties of such metastable materials and providing important guidance for their experimental synthesis.

Laminar Combustion and Explosion Characteristics of Ternary Premixed Fuels under High Pressure
CHEN Rui, JIANG Genzhu, TAO Juxiang
, Available online  , doi: 10.11858/gywlxb.20251140
[Abstract](632) PDF (46)
Abstract:
The effect of ethanol addition on the combustion characteristics of hydrogen methane mixed fuel was studied. Based on the constant volume combustion system, The laminar combustion and explosion characteristics of the three-component fuel were studied at the initial temperature of 400K, different ethanol contents (20%, 50% and 80%), different pressures (1bar, 3bar and 4bar) and different equivalent ratios (φ=0.7-1.4). The results show that under all experimental conditions, the hydrodynamic instability is most obvious when the equivalent ratio is 1.1, which is positively correlated with pressure and ethanol concentration. The laminar combustion velocity of the pre-mixed fuel is linearly affected by the initial pressure and the concentration of ethanol. The fitting correlation is in good agreement with the experimental values, and the deviation is less than 7%. The kinetic analysis shows that R1 pair is the main element reaction to increase the flame velocity of laminar flow. The linear relationship between explosion characteristics and initial pressure was obtained. The relationship between linear correlation slope, intercept and equivalent ratio was accurately determined by polynomial fitting, and the quantitative relationship between explosion characteristics, equivalent ratio, initial pressure and ethanol concentration was obtained.
Mechanical Properties and Ignition Performance of Rare Earth Reactive Materials under Impact Loading
LI Shoujia, ZHANG Beichen, DOU Jihang, HAN Yuhang, ZHAO Hongwei, CHEN Xuefang, QIN Shuaiwei, LU Xiaoxia, BI Pengyu
, Available online  , doi: 10.11858/gywlxb.20251106
[Abstract](826) PDF (46)
Abstract:
Aluminum (Al), one of commonly used reactive metals, is widely appliedin reactive material systems. However, its relatively low reactivity restricts the energy release of systems. To improve the reactivity of Al, we introduced aluminum-cerium alloy (Al-Ce alloy) which include the rare-earth cerium with high reactivity into the system. This study investigated the mechanical properties and ignition performance of four reactive material systems under shock overload—Al2Ce/PTFE, Al/PTFE, Al2Ce/ammonium perchlorate (AP), and Al/AP. A split Hopkinson pressure bar (SHPB) system was used to study the dynamic stress-strain behavior, ignition delay, and combustion duration of the prepared samples. Thermal analysis was conducted to assess the influence of reactive metal content on the thermal decomposition of AP. Results showed there are three distinct shock-induced ignition modes: non-ignition, combustion, and combustion (deflagration). Both Al2Ce/PTFE and Al/PTFE exhibited poor ignition performance. The Al2Ce/AP system demonstrates higher ultimate strength and critical failure strain, achieving deflagration upon impact with significantly shorter ignition delay and combustion duration compared to Al/AP. The incorporation of cerium accelerates AP decomposition and substantially increased the enthalpy of the Al2Ce/AP system, resulting in more concentrated energy release. Ce effectively enhances the reactivity of aluminum, and its high reactivity accelerates the reaction kinetics of the reactive system. Besides, it significantly intensifies energy release under impact loading. In conclusion, rare earth aluminum alloy materials, due to their high reactivity advantage, are of great significance for the development of new aluminum-based impact reaction materials.
Characterization of Damage to Adjacent Fill Bodies by Blasting of Slit Packets
ZHU Benliu, LI Xianglong
, Available online  , doi: 10.11858/gywlxb.20251111
[Abstract](660) PDF (40)
Abstract:
In order to accurately regulate the damage effect of slit pack blasting on the filling body of the quarry in deep mines, this study focuses on the damage control mechanism of the peripheral hole spacing (500mm, 600mm, 700mm, 800mm). Based on the theory of elastic fluctuation and the dynamic propagation characteristics of shock waves in rocky media, the diffusion mechanism of the stress wave under the action of multi-media in the constrained orientation during slit packet blasting is established; and combined with the strong correlation between brittle concrete materials and the damage evolution of the filling body, the cross-media equivalence calibration framework of the RHT intrinsic model is established; and the “filling body-mining body” model is constructed on the basis of the numerical simulation software, ANSYS/LS-DYNA, and the “filling body-mining body” model is developed by using the numerical simulation software, ANSYS/LS-DYNA. Based on the numerical simulation software ANSYS/LS-DYNA, we constructed a multi-media dynamic coupling numerical model of “filling body-mineral body-cutting slit package”, arranged observation points at the junction of filling body-mineral body, and conducted a combined analysis of the peak stress change, the change of the blast vibration velocity, and the damage evolution of the filling body at the observation points. Then, based on the blasting test of the approach and return stage of the neighboring filling body in Jinchuan Three Mining Area, the blasting test of conventional packs, slit packs and different peripheral hole spacing was conducted. The test shows that: slit pack blasting triggers gas-phase jet and strain-energy convergence effects in the unconfined direction, synchronously suppresses the stress and vibration peaks in the confined direction, and achieves directional attenuation of the blasting load on the neighboring filling body; the field test shows that, compared with the conventional charge, the slit pack significantly reduces the degree of damage of the filling body by more than 36%; the degree of blasting damage and the peripheral hole spacing show a negative correlation, and the damage suppression efficiency is improved with the increase of the spacing. The damage suppression efficiency is improved when the spacing increases.
Microstructure and Properties of the Energetic Structural Material of Ti1.5ZrNbMo0.5W0.5 High-Entropy Alloy
WU Xiaohan, HE Jinyan, ZHUANG Zhihua, ZHANG Xinggao, PENG Wenlian, CHEN Hao, XU Hanqing
, Available online  , doi: 10.11858/gywlxb.20251105
[Abstract](572) PDF (56)
Abstract:
With the increasing demand for enhanced mechanical properties and energy release capabilities in energetic structural materials, traditional materials struggle to concurrently achieve both high mechanical properties and energy release properties. In this study, a novel Ti1.5ZrNbMo0.5W0.5 high-entropy alloy was developed by powder metallurgy process, and its microstructure, mechanical properties, damage effectiveness and energy release mechanisms were comprehensively investigated. The result indicates that the sintered Ti1.5ZrNbMo0.5W0.5 alloy, characterized by high density and fine grain size, demonstrates superior quasi-static and dynamic compression properties. During the ballistic gun experiments, the Ti1.5ZrNbMo0.5W0.5 alloy projectile can penetrate the Q235 steel plate with thickness range of 6-10 mm at the speed range of about 600-1100 m/s. Meanwhile, after penetrating through the target, the fragment was broken into small-sized fragments and causing the severe energy release reaction. This energy release reaction is primarily driven by the substantial oxidation of Zr-rich regions, releasing significant thermal energy and successfully igniting the cotton and gasoline placed behind the steel target. This research provides a thorough characterization of the microstructure and mechanical properties of Ti1.5ZrNbMo0.5W0.5 alloy. Furthermore, it evaluates its overall performance in practical armor-piercing application and reveals its energy release mechanisms. The research results provides a theoretical foundation and experimental data for the further study and application of Ti-Zr-Nb-Mo-W system high-entropy alloy.
Influence of Temperature on Mechanical Properties and Spall Damage of Invar36 Alloy
TANG Zeming, HU Jianbo, HU Changming, CHEN Sen
, Available online  , doi: 10.11858/gywlxb.20251057
[Abstract](804) PDF (83)
Abstract:
This study systematically investigated the effects of temperature on the spall behavior of Invar36 alloy through plate impact experiments and microstructural characterization techniques. Utilizing a single-stage light gas gun loading platform combined with a high-temperature heating device, the experiments measured free surface velocity profiles and spall strength variations in samples with different segregation orientations within the temperature range of 20°C to 300°C. Results demonstrate that the spall strength of Invar36 alloy exhibits a linear decrease with increasing temperature, with elevated temperatures significantly weakening its dynamic tensile resistance. Microstructural damage analysis reveals that at room temperature, voids nucleate and propagate along element segregation bands, while high-temperature damage concentrates at grain boundaries. Elevated temperatures reduce the constraining effect of segregation and facilitate material softening through thermally activated dislocation motion. The research elucidates the central role of temperature in governing spall strength and damage mechanisms, providing a theoretical foundation for failure-resistant design of Invar alloys under high-temperature impact conditions.