Current Issue
2026, Volume 40, Issue 5
Display Method:
2026,
40(5): 050102.
doi: 10.11858/gywlxb.20261065
Abstract:
2026,
40(5): 050103.
doi: 10.11858/gywlxb.20251105
Abstract:
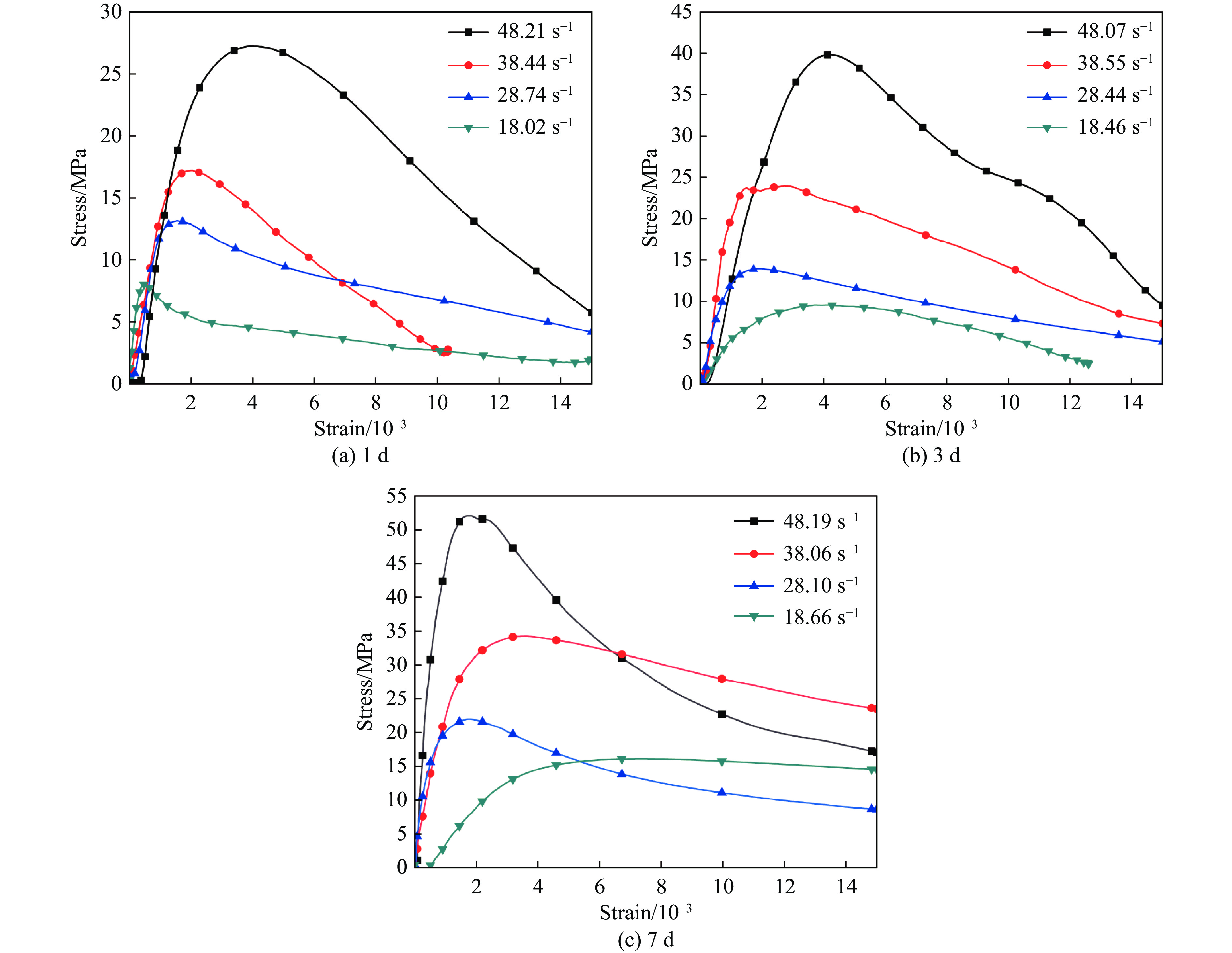
Mechanical Properties and Ignition Performance of Rare Earth Reactive Materials under Impact Loading
2026,
40(5): 050104.
doi: 10.11858/gywlxb.20251106
Abstract:
2026,
40(5): 050105.
doi: 10.11858/gywlxb.20251176
Abstract:
2026,
40(5): 050106.
doi: 10.11858/gywlxb.20251273
Abstract:
2026,
40(5): 050107.
doi: 10.11858/gywlxb.20251181
Abstract:
2026,
40(5): 050108.
doi: 10.11858/gywlxb.20251175
Abstract:
2026,
40(5): 050109.
doi: 10.11858/gywlxb.20251223
Abstract:
2026,
40(5): 050110.
doi: 10.11858/gywlxb.20251252
Abstract:
2026,
40(5): 050111.
doi: 10.11858/gywlxb.20251173
Abstract:
2026,
40(5): 050112.
doi: 10.11858/gywlxb.20251254
Abstract:

PDF
Cited by
HTML








