Volume 39 Issue 6
Jun 2025
Turn off MathJax
Article Contents
LI Hongchao, WANG Fuqi, ZHANG Ji, LIANG Rui, WEN Yiming. Sensitivity Analysis and Determination of Some Parameters of the Rock RHT Model[J]. Chinese Journal of High Pressure Physics, 2025, 39(6): 064203. doi: 10.11858/gywlxb.20240965
Citation: LI Hongchao, WANG Fuqi, ZHANG Ji, LIANG Rui, WEN Yiming. Sensitivity Analysis and Determination of Some Parameters of the Rock RHT Model[J]. Chinese Journal of High Pressure Physics, 2025, 39(6): 064203. doi: 10.11858/gywlxb.20240965

Sensitivity Analysis and Determination of Some Parameters of the Rock RHT Model

doi: 10.11858/gywlxb.20240965
  • Received Date: 25 Dec 2024
  • Rev Recd Date: 21 Jan 2025
  • Available Online: 06 Mar 2025
  • Issue Publish Date: 05 Jun 2025
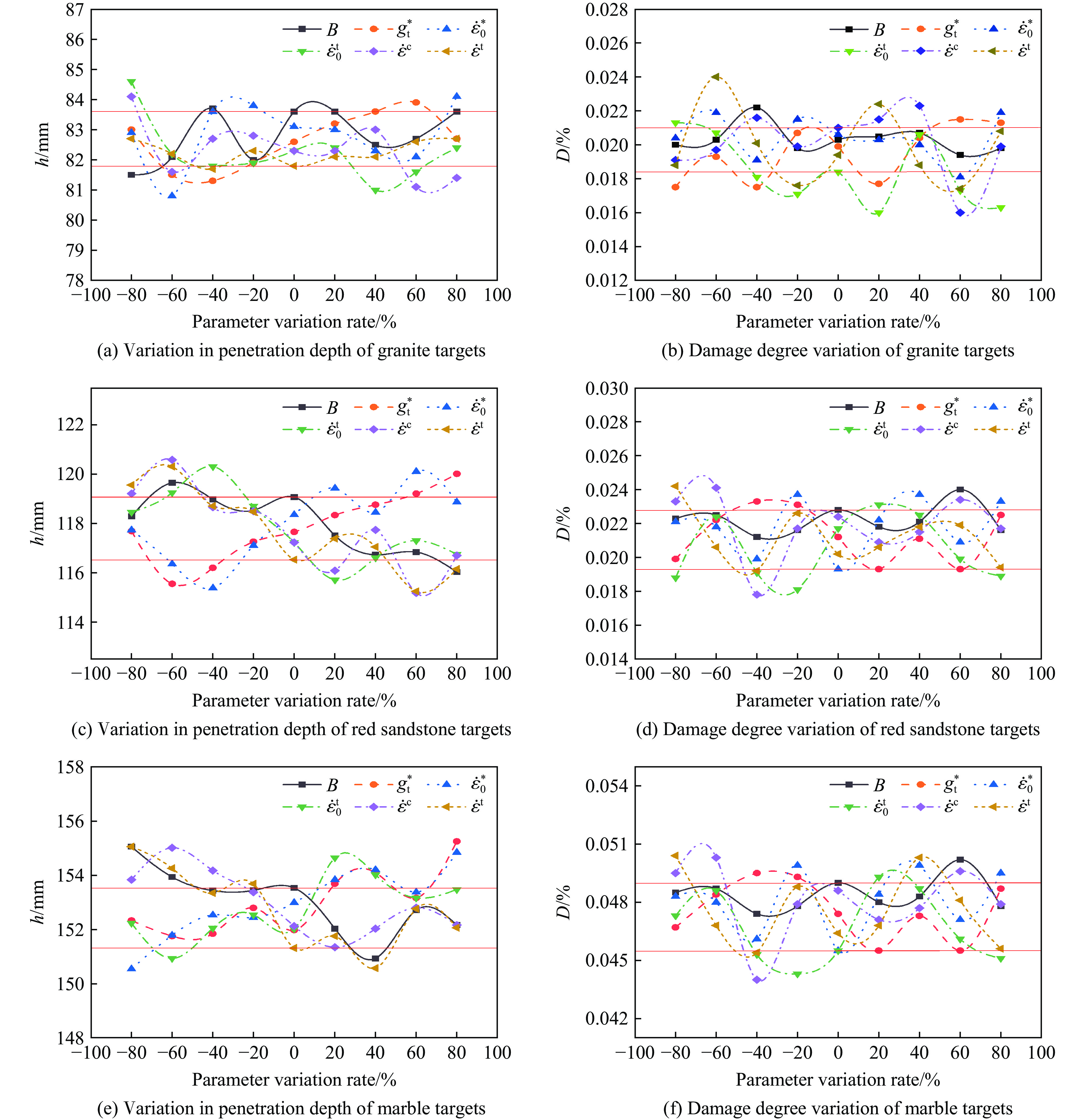
  • The Riedel-Hiermaier-Thoma (RHT) model is extensively used in the numerical simulation and analysis of phenomena such as explosive impacts and penetration. The accuracy of the simulation results is primarily dependent on the constitutive model and the parameter values used within it. To perform sensitivity analysis and parameter determination for Lode angle correlation coefficient, the tensile yield surface parameter, the reference compressive strain rate, the reference tensile strain rate, the failure compressive strain rate and the failure tensile strain rate in the RHT model for various rock types, LS-DYNA was employed to simulate the projectile penetration into a target and split Hopkinson pressure bar (SHPB) impact tests under single-factor variations. The effects of changes in parameter values on the simulation results were analyzed, followed by an orthogonal test to assess the interaction effects between parameters and determine the optimal parameter values. The results indicate that the sensitivity ranking of the six parameters varies under different operational conditions, and the effects of these parameters on the elastic, linear strengthening, and damage-softening stages of the SHPB impact stress-strain curve were identified. Further orthogonal SHPB impact simulation tests confirm the absence of interaction between these parameters, validating that the single-factor sensitivity analysis results are effective. The optimal values for these parameters in the RHT models of granite, red sandstone, and marble are determined. This finding provides valuable insights for the sensitivity analysis and parameter determination in rock-type RHT models.

     

  • loading
  • [1]
    RIEDEL W, THOMA K, HIERMAIER S. Penetration of reinforced concrete by BETA-B-500 numerical analysis using a new macroscopic concrete model for hydrocodes [C]//Proceedings of the 9th International Symposium on the Effects of Munitions with Structures, 1999.
    [2]
    张雄, 廉艳平, 刘岩, 等. 物质点法[M]. 北京: 清华大学出版社, 2013.

    ZHANG X, LIAN Y P, LIU Y, et al. Material point method [M]. Beijing: Tsinghua University Press, 2013.
    [3]
    李忠献, 刘泽锋. 混凝土动态本构模型综述 [J]. 天津大学学报(自然科学与工程技术版), 2015, 48(10): 853–863. doi: 10.11784/tdxbz201412081

    LI Z X, LIU Z F. Review of concrete dynamic constitutive model [J]. Journal of Tianjin University (Science and Technology), 2015, 48(10): 853–863. doi: 10.11784/tdxbz201412081
    [4]
    黄永辉, 孙博, 张智宇, 等. 岩石RHT本构的爆破碎裂判定方法优化及验证 [J]. 北京理工大学学报, 2023, 43(6): 565–574. doi: 10.15918/j.tbit1001-0645.2022.157

    HUANG Y H, SUN B, ZHANG Z Y, et al. Optimization and verification of blasting fragmentation judgment method for RHT constitutive model of rock [J]. Transactions of Beijing Institute of Technology, 2023, 43(6): 565–574. doi: 10.15918/j.tbit1001-0645.2022.157
    [5]
    李洪超, 刘殿书, 赵磊, 等. 大理岩RHT模型参数确定研究 [J]. 北京理工大学学报, 2017, 37(8): 801–806. doi: 10.15918/j.tbit1001-0645.2017.08.006

    LI H C, LIU D S, ZHAO L, et al. Study on parameters determination of marble RHT model [J]. Transactions of Beijing Institute of Technology, 2017, 37(8): 801–806. doi: 10.15918/j.tbit1001-0645.2017.08.006
    [6]
    LI H C, LIU D S, ZHAO L, et al. Experimental study on the time-dependent dynamic mechanical behaviour of C60 concrete under high-temperatures [J]. Journal of Beijing Institute of Technology, 2015, 24(3): 313–320. doi: 10.15918/j.jbit1004-0579.201524.0305
    [7]
    TANG Z Q, YANG S L, ZHANG R, et al. An RHT-model-based equivalent parameter scheme for blast response simulation of RC frames [J]. International Journal of Structural Stability and Dynamics, 2022, 22(1): 2250010. doi: 10.1142/S0219455422500109
    [8]
    TU Z G, LU Y. Modifications of RHT material model for improved numerical simulation of dynamic response of concrete [J]. International Journal of Impact Engineering, 2010, 37(10): 1072–1082. doi: 10.1016/j.ijimpeng.2010.04.004
    [9]
    ABDEL-KADER M. Modified settings of concrete parameters in RHT model for predicting the response of concrete panels to impact [J]. International Journal of Impact Engineering, 2019, 132: 103312. doi: 10.1016/j.ijimpeng.2019.06.001
    [10]
    凌天龙, 王宇涛, 刘殿书, 等. 修正RHT模型在岩体爆破响应数值模拟中的应用 [J]. 煤炭学报, 2018, 43(Suppl 2): 434–442. doi: 10.13225/j.cnki.jccs.2017.1698

    LING T L, WANG Y T, LIU D S, et al. Modified RHT model for numerical simulation of dynamic response of rock mass under blasting load [J]. Journal of China Coal Society, 2018, 43(Suppl 2): 434–442. doi: 10.13225/j.cnki.jccs.2017.1698
    [11]
    王卫华, 刘洋, 张理维, 等. 基于RHT模型双孔同时爆破均质岩体损伤的数值模拟 [J]. 黄金科学技术, 2022, 30(3): 414–426. doi: 10.11872/j.issn.1005-2518.2022.03.130

    WANG W H, LIU Y, ZHANG L W, et al. Numerical simulation of homogeneous rock mass damage caused by two-hole simultaneous blasting based on RHT model [J]. Gold Science and Technology, 2022, 30(3): 414–426. doi: 10.11872/j.issn.1005-2518.2022.03.130
    [12]
    张若棋, 丁育青, 汤文辉, 等. 混凝土HJC、RHT本构模型的失效强度参数 [J]. 高压物理学报, 2011, 25(1): 15–22. doi: 10.11858/gywlxb.2011.01.003

    ZHANG R Q, DING Y Q, TANG W H, et al. The failure strength parameters of HJC and RHT concrete constitutive models [J]. Chinese Journal of High Pressure Physics, 2011, 25(1): 15–22. doi: 10.11858/gywlxb.2011.01.003
    [13]
    饶军应, 薛炀皓, 沈阳, 等. 基于RHT模型的层理分布与爆破损伤关联耦合性分析 [J]. 中南大学学报(自然科学版), 2023, 54(3): 1204–1218.

    RAO J Y, XUE Y H, SHEN Y, et al. Analysis of correlation coupling between bedding distribution and blasting damage based on RHT model [J]. Journal of Central South University (Science and Technology), 2023, 54(3): 1204–1218.
    [14]
    王宇涛. 基于RHT本构的岩体爆破破碎模型研究 [D]. 北京: 中国矿业大学(北京), 2015.

    WANG Y T. The study of the broken model for rock mass blasting based on RHT constitutive equations [D]. Beijing: China University of Mining and Technology (Beijing), 2015.
    [15]
    李洪超, 陈勇, 刘殿书, 等. 岩石RHT模型主要参数敏感性及确定方法研究 [J]. 北京理工大学学报, 2018, 38(8): 779–785. doi: 10.15918/j.tbit1001-0645.2018.08.002

    LI H C, CHEN Y, LIU D S, et al. Sensitivity analysis determination and optimization of rock RHT parameters [J]. Transactions of Beijing Institute of Technology, 2018, 38(8): 779–785. doi: 10.15918/j.tbit1001-0645.2018.08.002
    [16]
    刘殿柱, 刘娜, 高天赐, 等. 应用正交试验法的RHT模型参数敏感性研究 [J]. 北京理工大学学报, 2019, 39(6): 558–564. doi: 10.15918/j.tbit1001-0645.2019.06.002

    LIU D Z, LIU N, GAO T C, et al. Study on the parameter sensitivity of RHT concrete model by orthogonal test technique [J]. Transactions of Beijing Institute of Technology, 2019, 39(6): 558–564. doi: 10.15918/j.tbit1001-0645.2019.06.002
    [17]
    辛健. 爆炸作用下RHT模型参数敏感性分析 [J]. 舰船电子工程, 2019, 39(4): 111–113, 122. doi: 10.3969/j.issn.1672-9730.2019.04.024

    XIN J. Sensitivity analysis of RHT model parameters under explosive attack [J]. Ship Electronic Engineering, 2019, 39(4): 111–113, 122. doi: 10.3969/j.issn.1672-9730.2019.04.024
    [18]
    聂铮玥, 彭永, 陈荣, 等. 侵彻条件下岩石类材料RHT模型参数敏感性分析 [J]. 振动与冲击, 2021, 40(14): 108–116. doi: 10.13465/j.cnki.jvs.2021.14.015

    NIE Z Y, PENG Y, CHEN R, et al. Sensitivity analysis of RHT model parameters for rock materials under penetrating condition [J]. Journal of Vibration and Shock, 2021, 40(14): 108–116. doi: 10.13465/j.cnki.jvs.2021.14.015
    [19]
    马凯, 任高峰, 葛永翔, 等. 硬石膏矿RHT动力学模型参数研究 [J]. 爆破, 2024, 41(4): 35–44. doi: 10.3963/j.issn.1001-487X.2024.04.005

    MA K, REN G F, GE Y X, et al. Study on parameters of anhydrite RHT dynamic model [J]. Blasting, 2024, 41(4): 35–44. doi: 10.3963/j.issn.1001-487X.2024.04.005
    [20]
    张伟, 王建国, 王勉, 等. 基于RHT本构模型的连续装药预裂爆破孔距优化研究 [J]. 高压物理学报, 2025, 39(1): 015201. doi: 10.11858/gywlxb.20240834

    ZHANG W, WANG J G, WANG M, et al. Optimization study of pre-splitting hole spacing for continuous charging based on RHT constitutive model [J]. Chinese Journal of High Pressure Physics, 2025, 39(1): 015201. doi: 10.11858/gywlxb.20240834
    [21]
    YOU Y Y, YANG R S, ZUO J J, et al. Research on the fragmentation characteristics of ironore based on RHT constitutive model calibration and charge structure optimization [J]. Mining, Metallurgy & Exploration, 2024, 41(4): 1819–1834.
    [22]
    聂铮玥. 三种典型岩石材料的RHT模型参数研究[D]. 长沙: 国防科技大学, 2021.

    NIE Z Y. Experimental study on RHT model parameters of three typical rock materials [D]. Changsha: National University of Defense Technology, 2021.
    [23]
    李洪超. 岩石RHT模型理论及主要参数确定方法研究 [D]. 北京: 中国矿业大学(北京), 2016.

    LI H C. The study of the rock RHT model and to determine the values of main parameters [D]. Beijing: China University of Mining & Technology (Beijing), 2016.
    [24]
    胡春亚. 基于方差膨胀因子的衰老矿井通风系统优化指标体系的研究与应用 [D]. 徐州: 中国矿业大学, 2016.

    HU C Y. Research and application of index system optimizition of aging mine ventilation based on variance inflation factor [D]. Xuzhou: China University of Mining and Technology, 2016.
  • 加载中

Catalog

    通讯作者: 陈斌, bchen63@163.com
    • 1. 

      沈阳化工大学材料科学与工程学院 沈阳 110142

    1. 本站搜索
    2. 百度学术搜索
    3. 万方数据库搜索
    4. CNKI搜索

    Figures(8)  / Tables(5)

    Article Metrics

    Article views(1010) PDF downloads(82) Cited by()
    Proportional views
    Related
    

    /

    DownLoad:  Full-Size Img  PowerPoint
    Return
    Return