Volume 39 Issue 7
Jul 2025
Turn off MathJax
Article Contents
ZHANG Ding, ZHOU Zonghong. Rock Burst Prediction Based on Data Preprocessing and Improved Sparrow Algorithm[J]. Chinese Journal of High Pressure Physics, 2025, 39(7): 075301. doi: 10.11858/gywlxb.20240964
Citation: ZHANG Ding, ZHOU Zonghong. Rock Burst Prediction Based on Data Preprocessing and Improved Sparrow Algorithm[J]. Chinese Journal of High Pressure Physics, 2025, 39(7): 075301. doi: 10.11858/gywlxb.20240964

Rock Burst Prediction Based on Data Preprocessing and Improved Sparrow Algorithm

doi: 10.11858/gywlxb.20240964
  • Received Date: 25 Dec 2024
  • Rev Recd Date: 04 Mar 2025
  • Accepted Date: 25 Apr 2025
  • Available Online: 11 Mar 2025
  • Issue Publish Date: 07 Jul 2025
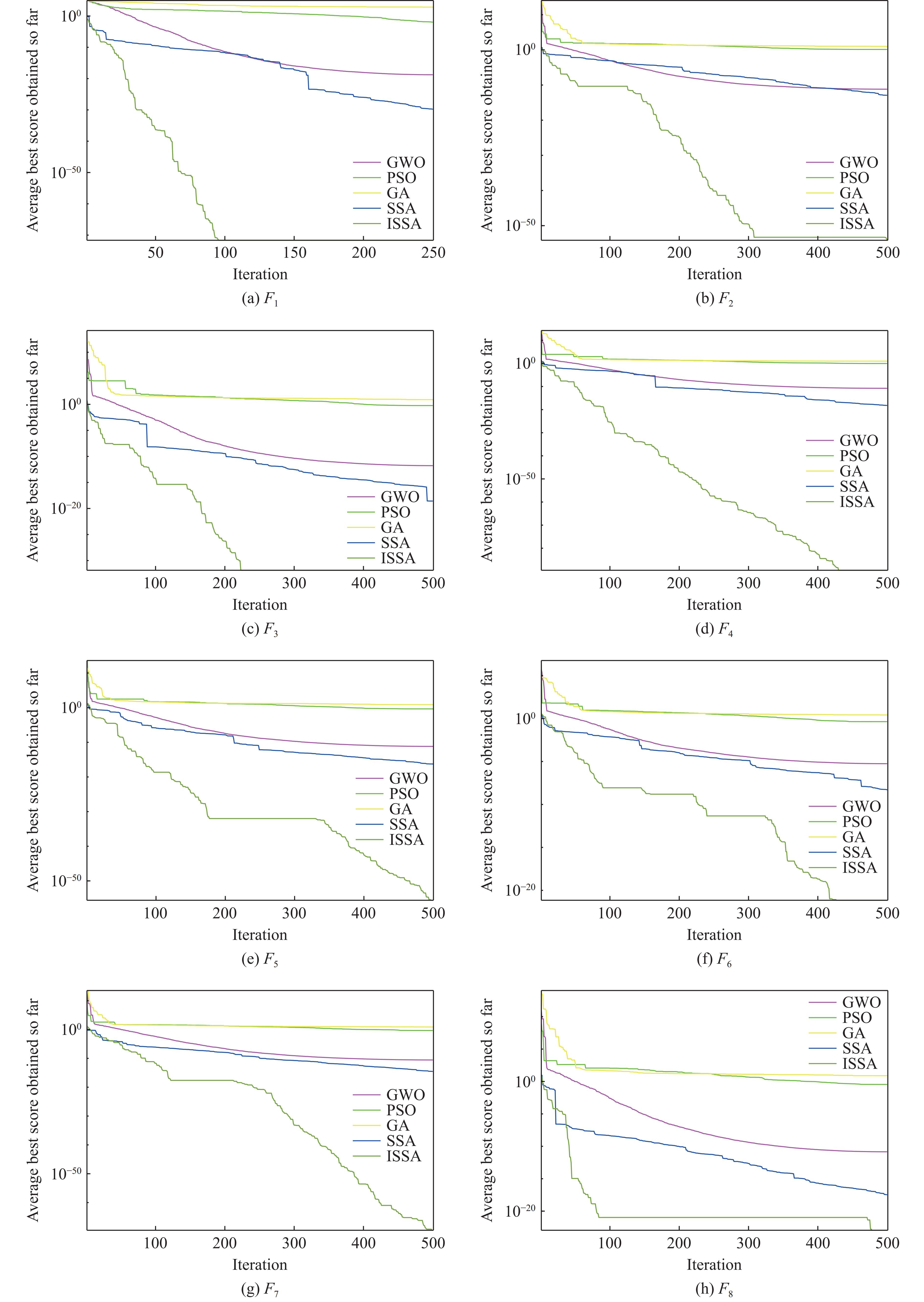
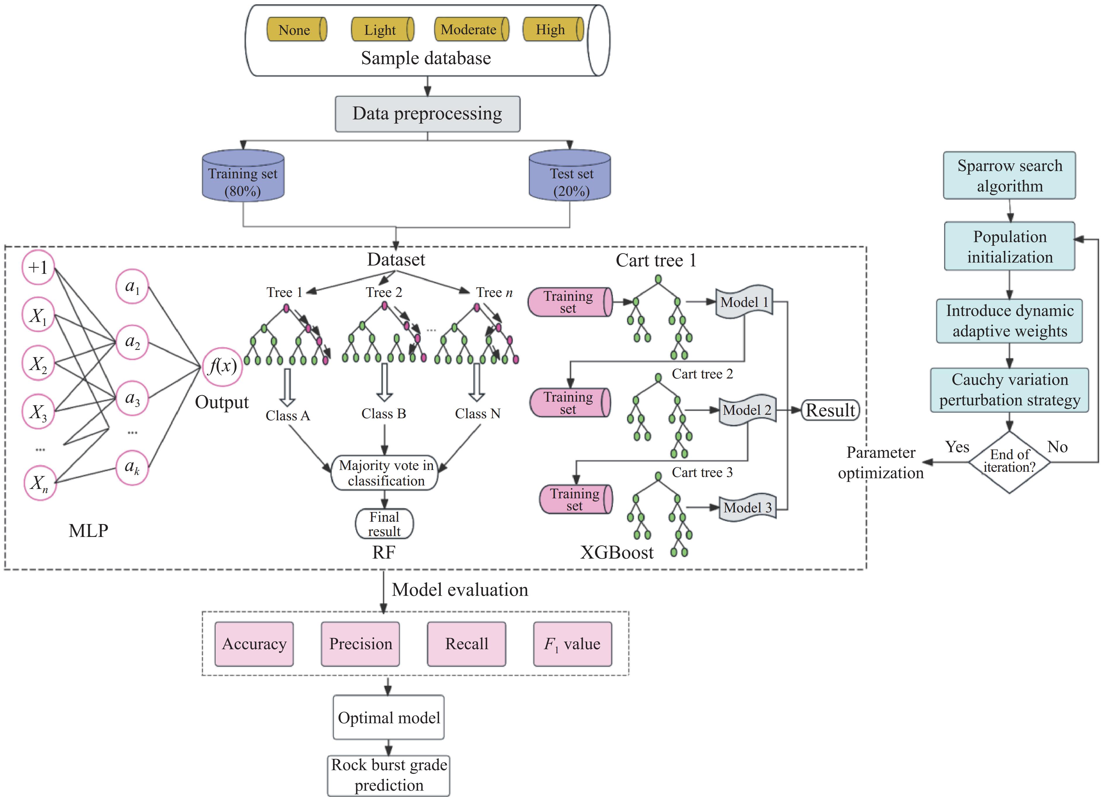
  • To solve the problems of outlier samples, imbalanced samples, and local optimal of sparrow search algorithm in machine learning rockburst prediction, this paper established a rockburst prediction model from two perspectives of data preprocessing and algorithm improvement. First, based on lithology conditions and stress conditions, selected the maximum tangential stress, compressive strength, tensile strength and elastic energy index of surrounding rock as the characteristic indexes, and used three kinds of machine learning algorithms combined with 5-fold cross-validation method to construct the prediction model. In the data pre-processing stage, collected 174 groups of domestic and international rock burst cases to establish a database; for outlier samples, introduced the local outlier factor (LOF) algorithm to detect and eliminate outlier samples step by step according to the rock burst class; for sample imbalance, the adaptive synthetic sampling method (ADASYN) was introduced to increase the number of minority class samples. Three hybrid strategies were employed to improve sparrow search algorithm (ISSA) was used to optimize the parameters of three machine learning algorithms, namely limit gradient lift tree (XGBoost), random forest (RF) and multi-layer perceptron (MLP). Multiple evaluation indexes such as accuracy rate and precision rate were analyzed and discussed to verify the effectiveness of the model. The results show that the accuracy of the newly constructed optimal model, ISA-XGBoost, reaches 94.12%, indicating high prediction accuracy. In addition to the feature importance analysis of the four feature indexes, it was determined that the maximum tangential stress of the surrounding rock is the most important feature.

     

  • loading
  • [1]
    田睿. 基于机器学习的岩爆烈度等级预测模型研究与应用 [D]. 包头: 内蒙古科技大学, 2020.

    TIAN R. Research and application of rockburst intensity classification prediction model based on machine learning algorithms [D]. Baotou: Inner Mongolia University of Science and Technology, 2020.
    [2]
    刘剑, 周宗红, 刘军, 等. 基于主成分分析和改进Bayes判别的岩爆等级预测 [J]. 采矿与岩层控制工程学报, 2022, 4(5): 053014. doi: 10.13532/j.jmsce.cn10-1638/td.2022.05.004

    LIU J, ZHOU Z H, LIU J, et al. Prediction of rockburst grade based on principal component analysis and improved Bayesian discriminant analysis [J]. Journal of Mining and Strata Control Engineering, 2022, 4(5): 053014. doi: 10.13532/j.jmsce.cn10-1638/td.2022.05.004
    [3]
    孙飞跃, 刘希亮, 郭佳奇, 等. 岩爆预测评估方法的动力数值分析 [J]. 应用力学学报, 2022, 39(1): 26–34. doi: 10.11776/j.issn.1000-4939.2022.01.004

    SUN F Y, LIU X L, GUO J Q, et al. Dynamic numerical calculation analysis of rockburst prediction assessment methods [J]. Chinese Journal of Applied Mechanics, 2022, 39(1): 26–34. doi: 10.11776/j.issn.1000-4939.2022.01.004
    [4]
    曲宏略, 刘哲言, 杨龙, 等. 基于应力判据的隧道岩爆预测评估研究 [J]. 地下空间与工程学报, 2020, 16(Suppl 2): 934–938,956.

    QU H L, LIU Z Y, YANG L, et al. Prediction and evaluation of rock burst in tunnel based on stress criterion [J]. Chinese Journal of Underground Space and Engineering, 2020, 16(Suppl 2): 934–938,956.
    [5]
    DOU L M, CAI W, CAO A Y, et al. Comprehensive early warning of rock burst utilizing microseismic multi-parameter indices [J]. International Journal of Mining Science and Technology, 2018, 28(5): 767–774. doi: 10.1016/j.ijmst.2018.08.007
    [6]
    CAO A Y, JING G C, DING Y L, et al. Mining-induced static and dynamic loading rate effect on rock damage and acoustic emission characteristic under uniaxial compression [J]. Safety Science, 2019, 116: 86–96. doi: 10.1016/j.ssci.2019.03.003
    [7]
    温廷新, 陈依琳. 基于海林格距离和AHDPSO-ELM的岩爆烈度等级预测模型 [J]. 中国安全科学学报, 2022, 32(11): 38–46. doi: 10.16265/j.cnki.issn1003-3033.2022.11.1915

    WEN T X, CHEN Y L. Prediction model of rockburst intensity grade based on Hellinger distance and AHDPSO-ELM [J]. China Safety Science Journal, 2022, 32(11): 38–46. doi: 10.16265/j.cnki.issn1003-3033.2022.11.1915
    [8]
    李明亮, 李克钢, 秦庆词, 等. 岩爆烈度等级预测的机器学习算法模型探讨及选择 [J]. 岩石力学与工程学报, 2021, 40(Suppl 1): 2806−2816.

    LI M L, LI K G, QIN Q C, et al. Discussion and selection of machine learning algorithm model for rockburst intensity grade prediction [J]. Chinese Journal of Rock Mechanics and Engineering, 201, 40(Suppl 1): 2806−2816.
    [9]
    侯克鹏, 包广拓, 孙华芬. 改进的MVO-GRNN神经网络岩爆预测模型研究 [J]. 安全与环境学报, 2024, 24(3): 923–932. doi: 10.13637/j.issn.1009-6094.2023.0341

    HOU K P, BAO G T, SUN H F. Research on improved MVO-GRNN neural network rockburst prediction model [J]. Journal of Safety and Environment, 2024, 24(3): 923–932. doi: 10.13637/j.issn.1009-6094.2023.0341
    [10]
    满轲, 武立文, 刘晓丽, 等. 基于灰色关联分析和SSA-RF模型的岩爆等级预测 [J]. 金属矿山, 2023(5): 202–212. doi: 10.19614/j.cnki.jsks.202305021

    MAN K, WU L W, LIU X L, et al. Rockburst grade prediction based on grey correlation analysis and SSA-RF model [J]. Metal Mine, 2023(5): 202–212. doi: 10.19614/j.cnki.jsks.202305021
    [11]
    高梅, 张成良, 张华超, 等. 基于SMOTEENN-CGAN-Stacking的岩爆烈度等级预测研究 [J]. 工程地质学报, 2024, 32(6): 2264–2276. doi: 10.13544/j.cnki.jeg.2024-0112

    GAO M, ZHANG C L, ZHANG H C, et al. Rockburst intensity level prediction based on SMOTEENN-CGAN-Stakcing [J]. Journal of Engineering Geology, 2024, 32(6): 2264–2276. doi: 10.13544/j.cnki.jeg.2024-0112
    [12]
    苏焕博. 数据缺失和不均衡下的IDPSO-ELM岩爆烈度等级预测模型研究 [D]. 阜新: 辽宁工程技术大学, 2022.

    SU H B. Research on IDPSO-ELM rockburst intensity grade prediction model with missing and unbalanced data [D]. Fuxin: Liaoning Technical University, 2022.
    [13]
    ZHOU J, LI X, MITRI H S. Classification of rockburst in underground projects: comparison of ten supervised learning methods [J]. Journal of Computing in Civil Engineering, 2016, 30(5): 04016003. doi: 10.1061/(ASCE)CP.1943-5487.0000553
    [14]
    武立文. 基于SSA-RF模型的岩爆预测方法及应用研究 [D]. 北京: 北方工业大学, 2024.

    WU L W. Research on rockburst prediction method and application based on SSA-RF model [D]. Beijing: North China University of Technology, 2024.
    [15]
    刘晓悦, 杨伟, 张雪梅. 基于改进层次法与CRITIC法的多维云模型岩爆预测 [J]. 湖南大学学报(自然科学版), 2021, 48(2): 118–124. doi: 10.16339/j.cnki.hdxbzkb.2021.02.015

    LIU X Y, YANG W, ZHANG X M. Rockburst prediction of multi-dimensional cloud model based on improved hierarchical analytic method and critic method [J]. Journal of Hunan University (Natural Sciences), 2021, 48(2): 118–124. doi: 10.16339/j.cnki.hdxbzkb.2021.02.015
    [16]
    谭文侃, 叶义成, 胡南燕, 等. LOF与改进SMOTE算法组合的强烈岩爆预测 [J]. 岩石力学与工程学报, 2021, 40(6): 1186–1194. doi: 10.13722/j.cnki.jrme.2020.1035

    TAN W K, YE Y C, HU N Y, et al. Severe rock burst prediction based on the combination of LOF and improved SMOTE algorithm [J]. Chinese Journal of Rock Mechanics and Engineering, 2021, 40(6): 1186–1194. doi: 10.13722/j.cnki.jrme.2020.1035
    [17]
    王宇航, 周宗红, 李国才, 等. 基于数据预处理的岩爆等级预测模型及精度优化 [J]. 矿业研究与开发, 2024, 44(11): 101–109. doi: 10.13827/j.cnki.kyyk.2024.11.009

    WANG Y H, ZHOU Z H, LI G C, et al. Prediction model and accuracy optimization of rockburst grade based on data preprocessing [J]. Mining Research and Development, 2024, 44(11): 101–109. doi: 10.13827/j.cnki.kyyk.2024.11.009
    [18]
    翁嘉诚, 周晓杰, 叶蓓蕾, 等. 基于改进麻雀搜索算法的K-means聚类 [J]. 数学的实践与认识, 2024, 54(2): 152–166.

    WENG J C, ZHOU X J, YE B L, et al. K-means clustering based on improved sparrow search [J]. Mathematics in Practice and Theory, 2024, 54(2): 152–166.
    [19]
    杜云, 周志奇, 贾科进, 等. 混合多项自适应权重的混沌麻雀搜索算法 [J]. 计算机工程与应用, 2024, 60(7): 70–83. doi: 10.3778/j.issn.1002-8331.2307-0254

    DU Y, ZHOU Z Q, JIA K J, et al. Chaotic sparrow search algorithm with mixed multinomial adaptive weights [J]. Computer Engineering and Applications, 2024, 60(7): 70–83. doi: 10.3778/j.issn.1002-8331.2307-0254
    [20]
    毛清华, 张强. 融合柯西变异和反向学习的改进麻雀算法 [J]. 计算机科学与探索, 2021, 15(6): 1155–1164. doi: 10.3778/j.issn.1673-9418.2010032

    MAO Q H, ZHANG Q. Improved sparrow algorithm combining cauchy mutation and opposition-based learning [J]. Journal of Frontiers of Computer Science and Technology, 2021, 15(6): 1155–1164. doi: 10.3778/j.issn.1673-9418.2010032
    [21]
    张建涛, 刘志祥, 张双侠, 等. 基于WOA-RF的边坡稳定性预测模型 [J]. 高压物理学报, 2024, 38(3): 035301. doi: 10.11858/gywlxb.20230837

    ZHANG J T, LIU Z X, ZHANG S X, et al. Slope stability prediction based on WOA-RF hybrid model [J]. Chinese Journal of High Pressure Physics, 2024, 38(3): 035301. doi: 10.11858/gywlxb.20230837
  • 加载中

Catalog

    通讯作者: 陈斌, bchen63@163.com
    • 1. 

      沈阳化工大学材料科学与工程学院 沈阳 110142

    1. 本站搜索
    2. 百度学术搜索
    3. 万方数据库搜索
    4. CNKI搜索

    Figures(8)  / Tables(10)

    Article Metrics

    Article views(758) PDF downloads(34) Cited by()
    Proportional views
    Related
    

    /

    DownLoad:  Full-Size Img  PowerPoint
    Return
    Return