2025年  第39卷  第10期

2025 年 10 期封面
2025, 39(10): 1-105301.
摘要:
2025 年 10 期目次
2025, 39(10): 1-2.
摘要:
高压地球与行星科学专题
基于吉布斯热力学曲面理论的镁橄榄石熔融计算研究
赵轩, 尹坤
2025, 39(10): 100101. doi: 10.11858/gywlxb.20251130
摘要:

熔融过程在地球与其他行星的演化中发挥着重要作用。由于行星内部普遍处于高压环境,研究物质在高压条件下的熔融行为对于理解其组成及内部动力学过程至关重要。为此,在吉布斯热力学曲面理论及前人工作的基础上,结合第一性原理分子动力学模拟,通过构建几何模型,获得了镁橄榄石在0~16 GPa压力范围内的熔融数据。该方法能够在有限的计算资源下高效且准确地获取特定压力范围内任意点的熔融数据,包括固相和熔体相各自的吉布斯自由能、亥姆霍兹自由能、焓、内能、熵和体积。同时,使用该方法确定了镁橄榄石和瓦兹利石在12002500 K内的相变边界。所有计算结果均与已有实验及计算数据高度一致,验证了该方法在计算高压下物质的熔化行为的可靠性和准确性。该方法突破了现有方法在有限计算资源下难以高效获取完整高压熔融数据的瓶颈。

水镁石的弹性波速及其对俯冲带水含量的意义
张瑞, 王多君, 蔡闹
2025, 39(10): 100102. doi: 10.11858/gywlxb.20251026
摘要:

水镁石(brucite)是俯冲带水饱和橄榄岩的重要组成矿物之一,其体积分数可高达15%。研究水镁石在高压下的弹性波速,对于理解俯冲带含水橄榄岩的物质组成、速度结构以及水在深部的循环具有重要意义。以Mg(OH)2试剂为初始材料,在4 GPa、523 K的条件下热压2 h,合成了致密的多晶水镁石。在高达14 GPa的压力下,采用超声干涉法测量了水镁石的弹性波速和模量。研究发现,水镁石的弹性波速和模量随压力的增加而增大。结合地震学层析成像结果和矿物组合模型,利用Voigt-Reuss-Hill(VRH)模型,约束了日本东北俯冲带低速异常区的水含量。结果表明:俯冲板片上方地幔楔在20~40 km深度处的低速异常区水的质量分数为3.0%~10.0%,俯冲板片内部60~80 km深度处的低速异常区水的质量分数为1.0%~3.0%。

片麻岩热导率和热扩散系数的高温高压实验研究
熊自励, 张宝华, 刘红梅
2025, 39(10): 100103. doi: 10.11858/gywlxb.20251076
摘要:

片麻岩作为大陆地壳古老基底的代表岩石类型,研究其热输运特性对于揭示岩石圈热结构及构造演化具有重要意义。采用瞬态平面热源法,首次在高温(300~1073 K)、高压(1.0~3.0 GPa)条件下同时测量青藏高原东南缘云南大理前寒武纪变质基底片麻岩的热导率和热扩散系数。实验结果表明:热导率和热扩散系数均随着温度升高而降低,揭示了片麻岩的传热机制为声子导热,其中,声子散射是导致热导率和热扩散系数降低的主要机制;温度超过 950 K 时,声子散射的饱和效应使得片麻岩的热导率和热扩散系数不再降低而趋于稳定。经验公式拟合结果表明,压力对片麻岩热输运性质有明显的促进作用,呈线性正相关。此外,根据实验结果推测大陆的中-下地壳可能具有一致的热传导能力,热导率为(2.0±0.3) W/(m·K)。基于实验数据构建的岩石圈热结构模型显示,研究区莫霍面(44 km)的温度为10301210 K,岩石圈厚度为65~95 km,呈现出明显的梯度变化。结合脆-韧性转换带温度-深度关系,限定了该区域强震震源深度在11~23 km区间,为青藏高原东南缘构造变形机制及地震危险性评估提供了新的热动力学约束。

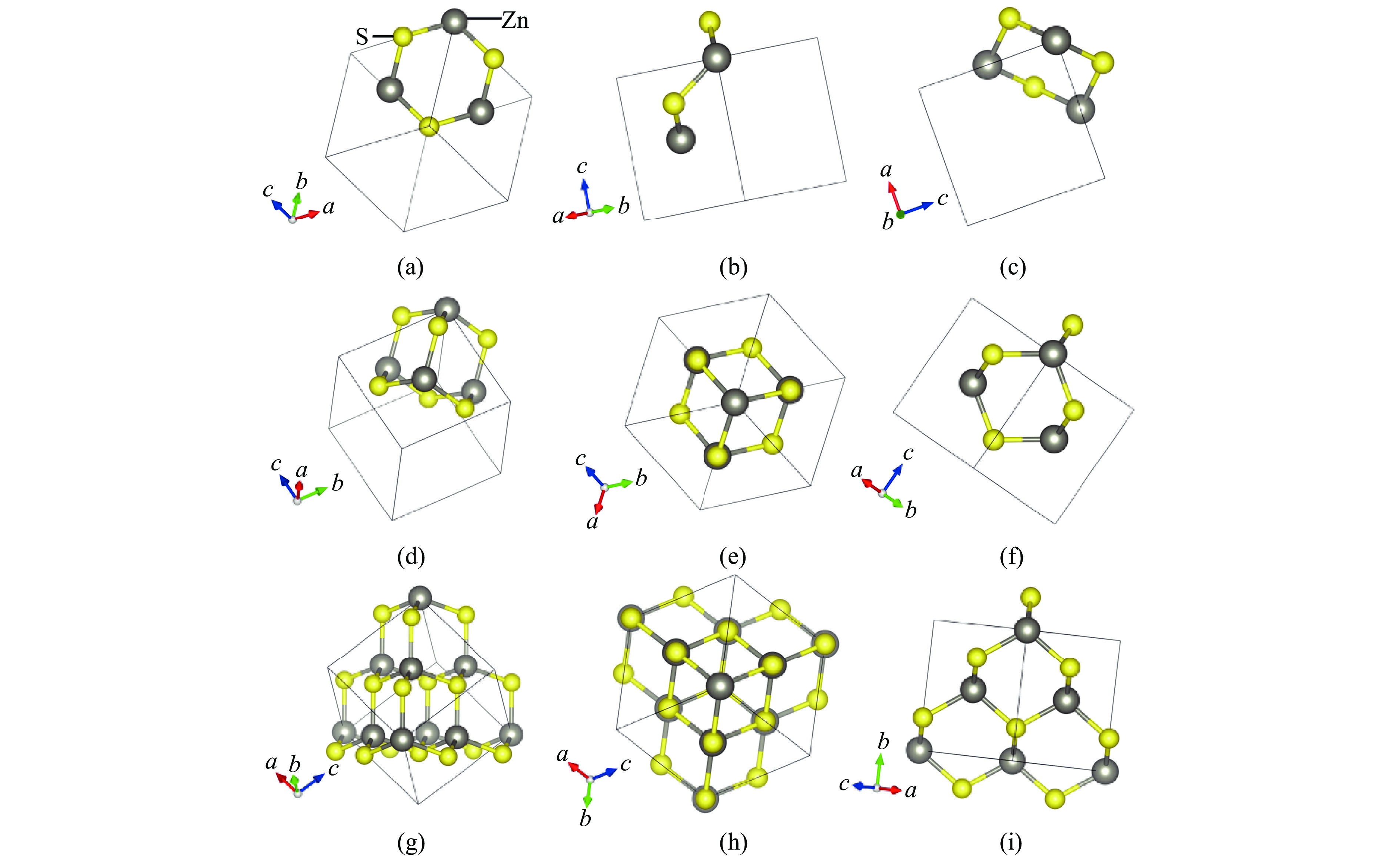
铟在ZnS矿物中迁移的第一性原理研究
黄宇, 刘红, 刘雷
2025, 39(10): 100104. doi: 10.11858/gywlxb.20251096
摘要:

揭示铟在ZnS矿物中的扩散机制有助于阐明铟在典型赋铟矿物中迁移、富集或贫化的动力学过程,为高品质铟矿床勘查提供理论依据。为此,对闪锌矿和纤锌矿进行了研究,确定了铟的稳定赋存位点及扩散路径,基于第一性原理计算,结合CI-NEB方法,系统计算了铟在2类ZnS矿物中的输运性质。结果表明,晶体结构的各向异性能够显著调控铟的扩散特性,其中,纤锌矿表现出更强的扩散方向依赖性以及高于闪锌矿的铟滞留能力。在0~10 GPa压力范围内,铟在纤锌矿中的扩散各向异性程度(较闪锌矿高2~3个数量级)更显著,且扩散速率始终低于闪锌矿。此外,封闭温度的计算结果表明,闪锌矿[111]方向(较[110]方向高约65 K)和纤锌矿[001]方向(较[100]方向高约100 K)具有更高的封闭阈值,且纤锌矿整体封闭温度高于闪锌矿。计算结果显示,相较于闪锌矿,纤锌矿滞留铟的能力更强,其可能是一种潜在的铟的关键寄主矿物。研究结果对于理解铟的地球化学循环以及矿产勘查与成矿研究具有一定的指导意义。

α-FePO4高压相变行为的拉曼光谱研究
王越, 徐超文, 李营, 高静
2025, 39(10): 100105. doi: 10.11858/gywlxb.20251100
摘要:

鉴于α-FePO4α-石英的拓扑同构性,采用金刚石压腔结合拉曼光谱技术,从分子尺度上原位厘定了α-FePO4在常温高压下的相变行为。在0.2~27.3 GPa压力范围内,揭示了其3个阶段的结构演化特征。在2.8~3.6 GPa区间,α-FePO4开始发生相变,并于4.6 GPa时完全转变为FePO4-Ⅱ。在宽泛的4.6~27.3 GPa区间,FePO4-Ⅱ的结构稳定/亚稳定性依赖于柔性[FeO6]八面体与刚性[PO4]四面体的协同形变。在该压力区间,结构无序度增加,振动频率漂移速率减缓,表明结构进入非线性压缩阶段。值得注意的是,在9.8~11.1 GPa临界窗口,P―O键的平均键长和部分振动峰半高宽出现不连续变化,暗示[FeO6]-[PO4]网络中存在压力诱导的非均匀应变,推测FePO4-Ⅱ开始进入亚稳定域。直到卸压至4.6 GPa,FePO4-Ⅱ的部分结构才恢复有序性,并在常压下保持亚稳态,表现出独特的结构记忆功能。研究结果系统地限定了α-FePO4的相变压力边界,阐明了正磷酸盐高压结构稳定性的内在调控机制,并预测了其未来结构演化趋势,为解析类石英矿物的高压动态响应提供了重要参考。

高压下物质的动态响应
含泡沫铝吸能层的复合防爆墙的抗爆性能
牛怡宁, 吴越, 王天根, 李淦
2025, 39(10): 104101. doi: 10.11858/gywlxb.20251027
摘要:

为研究泡沫铝吸能层对混凝土防爆墙抗爆性能的影响,采用LS-DYNA有限元软件模拟含泡沫铝吸能层复合防爆墙的抗爆动态响应,分析泡沫铝夹芯板结构参数、泡沫铝相对密度、爆炸载荷强度对其压缩变形规律和抗爆性能的影响。结果表明:在承受爆炸载荷作用时,复合防爆墙主要通过前面板局部弯曲变形和芯层塑性压溃变形吸收爆轰波能量;复合防爆墙的抗爆性能与芯层厚度呈正相关,与面板厚度呈负相关,但面板过薄时会因强度不足出现局部破裂失效;随着泡沫铝相对密度的增大,防爆墙的抗爆性能先显著提升后趋于平缓,当相对密度超过临界阈值后,材料波阻抗梯度降低,致使其防护效能显著削弱;7.5 kg装药、爆距为50 cm的爆炸加载条件下,芯层厚度6 cm、面板厚度0.5 cm、泡沫铝相对密度44%时能充分发挥材料的吸能特性,此时芯层的压缩比为73.3%,复合防爆墙的削波系数为77.5%;随着爆炸载荷增加,复合防爆墙的削波系数呈现“强化-平衡-失稳”的变化趋势。研究结果可为泡沫铝在抗爆防护中的应用提供参考。

负泊松比多孔嵌套结构的力学行为分析
白浚哲, 李新波, 邓庆田, 宋学力, 赵建华
2025, 39(10): 104201. doi: 10.11858/gywlxb.20251021
摘要:

采用准静态单轴压缩实验、循环压缩实验和有限元数值模拟,对不同角度、间距和连接方式的多层嵌套内凹六边形单胞结构及其串联结构的变形行为和吸能特性进行分析。结果表明:多层嵌套结构多发生剪切变形,应力小且多集中在斜杆连接处;角度更大、间距更小的交替方式连接的单胞结构拥有更长的平台期;负泊松比单胞结构且角度为65°的试件吸能表现更优异,且同向连接以及间距增大有助于吸能的提升;角度和间距对串联结构平台期的影响与单胞结构相同,连接方式的影响则相反;角度和间距增大、连接方式改变与吸能成正反馈;在循环压缩实验下,试件更易发生分层破坏和塑性断裂,多出现在二次循环后,并伴随应力软化和能量耗散行为,其效果随着循环次数的增加而加重。

高压科学应用
氮化硅含量对现场混装乳化炸药爆炸性能的影响
朱正德, 刘锋, 匡照, 符家坤
2025, 39(10): 105101. doi: 10.11858/gywlxb.20251031
摘要:

为了提高现场混装乳化炸药的爆炸性能,将氮元素含量丰富的氮化硅引入炸药,通过空中爆炸、爆速和铅柱压缩实验,测定氮化硅含量对现场混装乳化炸药空中冲击波参数、爆速和猛度的影响。实验结果表明,随着氮化硅的质量分数从0%提升至1.2%:炸药密度由1.02 g/cm3提升至1.11 g/cm3,空中冲击波压力峰值由0.1156 MPa提升至0.2977 MPa再下降到0.2408 MPa,最大峰值为最小值的2.58倍;比冲量由9.22 Pa·s提升至23.00 Pa·s,而后下降到19.59 Pa·s,最大比冲量为最小值的2.49倍;爆速则呈现先下降至3265.66 m/s后上升至4830.60 m/s再下降至4541.51 m/s的变化趋势,最大爆速为最小值的1.48倍;猛度由13.86 mm提升至19.40 mm再缩减到17.18 mm,最大猛度为最小值的1.40倍。实验结果显示,氮化硅能够提高现场混装乳化炸药的爆炸性能,对现场混装乳化炸药配方优化设计具有一定的参考意义。

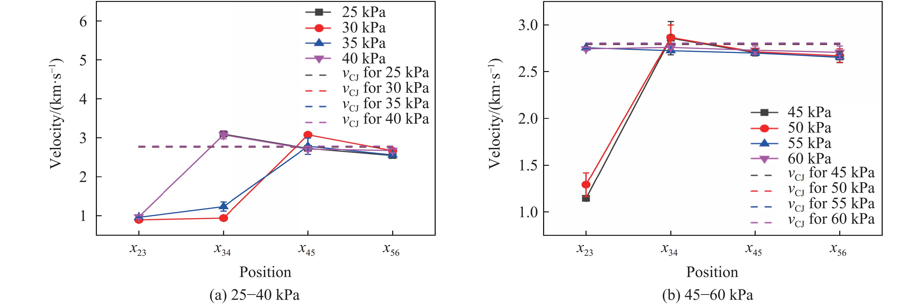
阻塞弯管中爆轰波传播行为
刘佳伟, 马宏昊, 葛云, 王鲁庆
2025, 39(10): 105201. doi: 10.11858/gywlxb.20251055
摘要:

对不同初始压力下氢氧爆轰波在含阵列障碍物弯管中的传播行为进行实验研究,并选用一个相同配置的直管作为对照组。弯管为半圆形的方形截面管,障碍物的形状为长方形,阻塞率为40%。通过压力监测及烟熏箔记录发现,爆轰波形成后在障碍物间的传播过程分为5个阶段,即不规则胞格区、无胞格区、细密胞格区、过渡区和正常胞格区。其中,弯管中的爆轰波在越过障碍物发生衍射后并未立刻解耦,而是在与底壁正向撞击形成不规则胞格后受稀疏波的作用经历短暂解耦失效,随后在外壁处形成平面过驱爆轰波,并向内壁处逐渐扩展,最后,过驱爆轰逐渐衰减为稳定爆轰。而在直管中,初始压力降低时,爆轰波越过障碍物发生衍射后出现了部分解耦,在障碍物后首先形成一个无胞格区,然后才出现上述5个阶段。此外,在稳定爆轰阶段,弯管中的爆轰胞格宽度从内壁到外壁逐渐降低,并大致呈线性分布。相应初始压力下,爆轰数据库中的胞格宽度更接近弯管中内壁处的胞格宽度。直管中的胞格宽度与爆轰数据库中的数据吻合良好。

镍/304不锈钢爆炸焊接试验及数值模拟
卓然, 谢兴华, 汪灿
2025, 39(10): 105301. doi: 10.11858/gywlxb.20251041
摘要:

为了研究镍/304不锈钢层状复合板界面的微观结构及形成机理,采用爆炸焊接技术,成功制备了镍/304不锈钢层状复合材料,通过扫描电子显微镜、能谱仪和电子背散射衍射仪研究了复合板的微观组织特征,利用拉伸试验测试了复合板的力学性能,并运用光滑粒子流体动力学方法对高速斜向冲击焊接过程进行了数值模拟。模拟结果再现了波状界面和射流的形成过程,支持和扩展了试验结果。结合界面密度的变化促进了元素扩散,晶粒弯曲反映了波形成过程中材料的运动特征,再结晶过程受到位错密度的影响,在结合界面形成了细晶粒区域。拉伸试样断裂后结合界面没有分层,金属板的抗拉强度和断裂伸长率分别达到705 MPa和24%。