High-Temperature and High-Pressure Experimental Study on the Thermal Conductivity and Thermal Diffusivity of Gneiss
-
摘要: 片麻岩作为大陆地壳古老基底的代表岩石类型,研究其热输运特性对于揭示岩石圈热结构及构造演化具有重要意义。采用瞬态平面热源法,首次在高温(300~
1073 K)、高压(1.0~3.0 GPa)条件下同时测量青藏高原东南缘云南大理前寒武纪变质基底片麻岩的热导率和热扩散系数。实验结果表明:热导率和热扩散系数均随着温度升高而降低,揭示了片麻岩的传热机制为声子导热,其中,声子散射是导致热导率和热扩散系数降低的主要机制;温度超过 950 K 时,声子散射的饱和效应使得片麻岩的热导率和热扩散系数不再降低而趋于稳定。经验公式拟合结果表明,压力对片麻岩热输运性质有明显的促进作用,呈线性正相关。此外,根据实验结果推测大陆的中-下地壳可能具有一致的热传导能力,热导率为(2.0±0.3) W/(m·K)。基于实验数据构建的岩石圈热结构模型显示,研究区莫霍面(44 km)的温度为1030 ~1210 K,岩石圈厚度为65~95 km,呈现出明显的梯度变化。结合脆-韧性转换带温度-深度关系,限定了该区域强震震源深度在11~23 km区间,为青藏高原东南缘构造变形机制及地震危险性评估提供了新的热动力学约束。Abstract: As a representative rock type of the ancient continental crustal basement, gneiss plays a crucial role in understanding the thermal structure and tectonic evolution of the lithosphere due to its thermal transport properties. In this study, the thermal conductivity (κ) and thermal diffusivity (D) of precambrian metamorphic basement gneiss from Dali, Yunnan, located at the southeastern margin of the Tibetan Plateau, were simultaneously measured for the first time under high-temperature (300–1073 K) and high-pressure (1.0–3.0 GPa) conditions using the transient plane source technique. Experimental results demonstrate that both κ and D decrease with increasing temperature, indicating that the heat transfer mechanism of gneiss is phonon thermal conduction, where phonon scattering is the primary mechanism leading to the decrease in κ and D. When the temperature exceeds 950 K, the saturation effect of phonon scattering causes κ and D of gneiss to no longer decrease but tend to stabilize. Empirical fitting reveals a significant positive linear correlation between pressure and the thermal transport properties of gneiss, suggesting that pressure enhances thermal transport. Based on these results, we infer that the middle to lower continental crust may exhibit relatively uniform thermal conductivity ((2.0±0.3) W/(m·K)). A lithospheric thermal structure model derived from the experimental data indicates that the Moho temperature range of1030 –1210 K at 44 km depth and the lithospheric thickness range of 65–95 km in the study area, demonstrating a pronounced thermal gradient. Furthermore, by integrating the temperature-depth relationship of the brittle-ductile transition zone, the focal depths of large earthquakes in this region are constrained to 11–23 km. These findings provide novel thermodynamic constraints for understanding tectonic deformation mechanisms and seismic hazard assessment in the southeastern Tibetan Plateau. -
图 2 黑云母长英质片麻岩正交偏光显微照片(a)和SEM背散射图像(b)(qtz:石英;fsp:长石;pl:斜长石;K-fsp:钾长石;bi:黑云母;ilm:钛铁矿;zi:锆石)
Figure 2. Photomicrograph under cross-polarized light (a) and backscattered SEM image (b) of biotite-bearing felsic gneiss (qtz: quartz; fsp: feldspar; pl: plagioclase; K-fsp: K-feldspar; bi: biotite; ilm: ilmenite; zi: zircon)
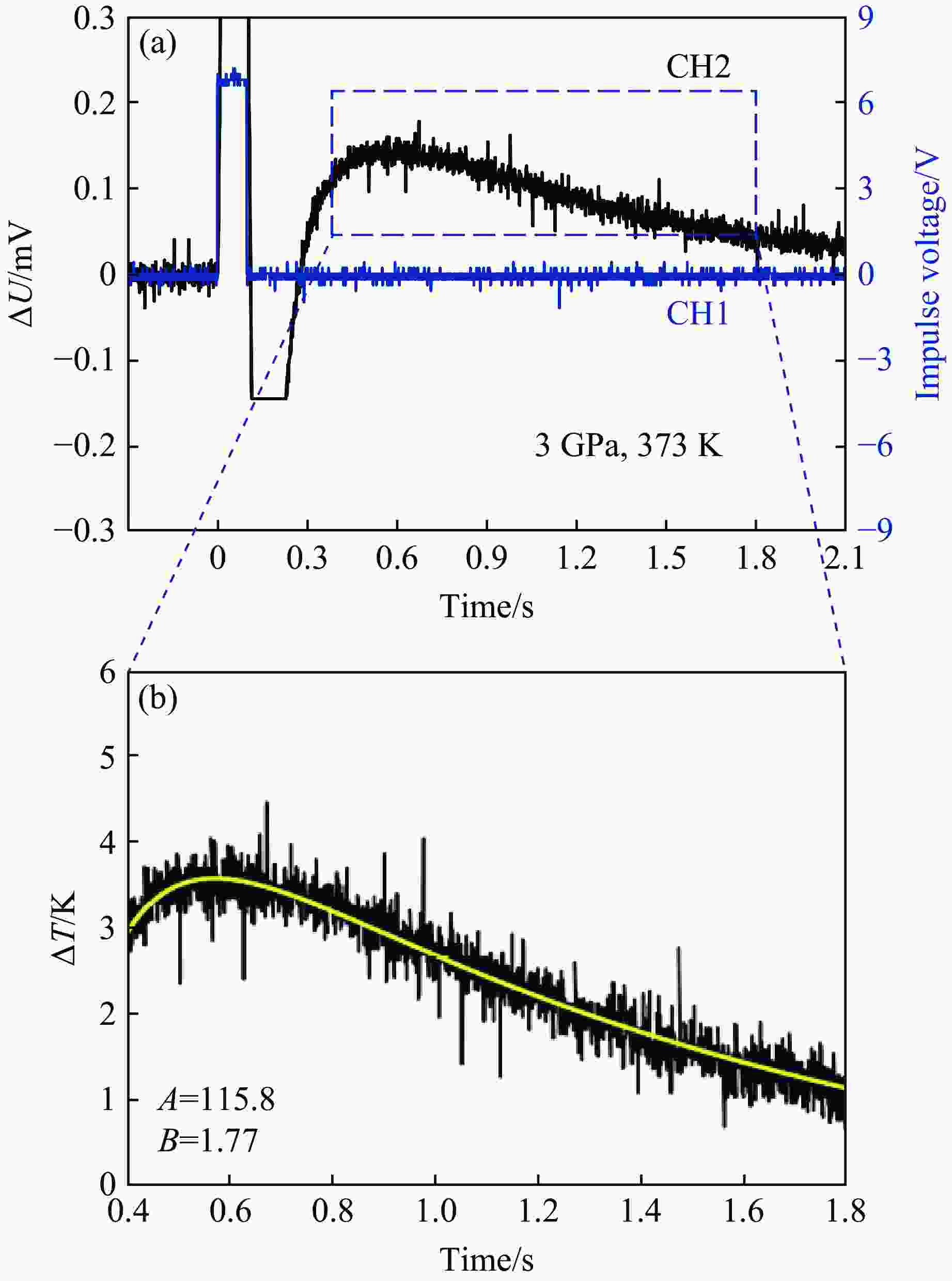
图 5 (a) 3.0 GPa、373 K条件下样品测量时示波器记录图像(CH1 和 CH2 分别监测脉冲加热器电压和热电偶电动势变化),(b) 样品的温度响应曲线拟合结果(从热电偶输出的电压-时间数据转换而来)
Figure 5. (a) Oscilloscope diagram recorded during sample measurement at 3.0 GPa and 373 K (CH1 and CH2 monitor the voltage of the pulse heater and the thermoelectric voltage of the thermocouple, respectively.); (b) fitted temperature response curve of the sample (converted from the voltage-time data output by the thermocouple)
图 6 温度和压力对片麻岩热输运性质的影响((a)和(b)中的实线分别为式(6)和式(7)的拟合结果,(c)和(d)中的实线分别为式(8)和式(9)的拟合结果)
Figure 6. Effects of temperature and pressure on the thermal transport properties of gneiss (The solid lines in (a) and (b) represent the fitting results using Eq. (6) and Eq. (7), respectively; those in (c) and (d) represent the fitting results using Eq. (8) and Eq. (9), respectively.)
表 1 苍山群片麻岩在不同温度和压力下的κ和$D $
Table 1. κ and $D $ of the Cangshan group gneiss under varying temperature and pressure conditions
1.0 GPa 2.0 GPa 3.0 GPa T/K κ/(W·m−1·K−1) D/(mm2·s−1) T/K κ/(W·m−1 ·K−1) D/(mm2·s−1) T/K κ/(W·m−1 ·K−1) D/(mm2·s−1) 300 4.898(45) 1.571(20) 300 5.302(41) 1.671(18) 300 5.817(46) 1.814(21) 323 4.549(26) 1.442(11) 323 4.917(28) 1.597(13) 323 5.111(36) 1.656(15) 373 3.853(19) 1.383(8) 373 4.295(22) 1.449(10) 373 4.718(24) 1.617(10) 423 3.281(12) 1.253(6) 423 3.861(17) 1.336(9) 423 4.102(19) 1.491(8) 473 3.148(12) 1.245(7) 473 3.314(14) 1.321(7) 473 3.479(15) 1.368(7) 523 2.564(9) 1.120(5) 523 2.987(12) 1.215(7) 523 3.428(15) 1.344(8) 573 2.492(9) 1.122(6) 573 2.613(10) 1.218(5) 573 3.189(16) 1.285(9) 623 2.137(8) 1.043(5) 623 2.706(11) 1.100(7) 623 2.893(11) 1.281(7) 673 2.290(9) 1.008(6) 673 2.437(11) 1.093(7) 673 2.922(13) 1.167(8) 723 1.989(9) 0.936(6) 723 2.199(11) 1.012(6) 723 2.644(12) 1.122(7) 773 1.926(11) 0.954(7) 773 2.263(12) 1.006(7) 773 2.501(11) 1.076(7) 823 1.865(10) 0.876(6) 823 2.246(13) 0.988(8) 823 2.579(13) 1.090(8) 873 1.925(11) 0.875(7) 873 2.004(14) 0.976(9) 873 2.359(12) 1.051(7) 923 1.898(13) 0.864(9) 923 2.158(14) 0.929(8) 923 2.228(15) 1.075(9) 973 1.958(13) 0.874(8) 973 2.097(16) 0.964(10) 973 2.518(18) 1.050(10) 1023 1.966(14) 0.875(9) 1023 2.133(15) 0.929(9) 1023 2.309(14) 1.022(7) 1073 1.910(14) 0.879(9) 1073 2.154(160 0.926(10) 1073 2.474(19) 1.036(11) 表 2 苍山群片麻岩的κ和$D $的温度拟合系数
Table 2. Fitting coefficients for the temperature dependence of κ and $D $ in the Cangshan group gneiss
p/GPa κ(T) = a0+a1/T + a2/T 2 a0/(W·m−1·K−1) a1/(W·m−1) a2/(W·m−1·K) R2 1.0 1.605(235) −83(258) 331028 (62124 )0.984 2.0 1.526(241) 264( 275671 )63711 (15)0.985 3.0 1.731(257) 355(283) 257100 (68077 )0.984 p/GPa D(T) = b0+b1/T + b2/T 2 b0/(mm2·s−1) b1/(mm2·s−1·K) b2/(mm2·s−1·K2) R2 1.0 0.541(60) 321(66) − 5482 (16086 )0.980 2.0 0.613(49) 316(54) 180( 12995 )0.988 3.0 0.695(63) 334(70) − 1831 (16889 )0.981 表 3 苍山群片麻岩的κ和$D $的压力拟合系数
Table 3. Fitting coefficients for the pressure dependence of κ and $D $ in the Cangshan group gneiss
T/K κ(p) = κ0+cp D(p) = D0+dp κ0/(W·m−1·K−1) c/(W·m−1·K−1·GPa−1) R2 D0/(mm2· s−1) d/(mm2·s−1·GPa−1) R2 300 4.419(69) 0.459(32) 0.990 1.442(26) 0.121(12) 0.979 323 4.297(108) 0.281(50) 0.937 1.351(59) 0.106(27) 0.875 373 3.423(11) 0.432(5) 0.999 1.249(64) 0.116(29) 0.878 423 2.926(210) 0.410(97) 0.893 1.122(44) 0.119(20) 0.942 473 2.983(0) 0.165(0) 0.999 1.188(18) 0.061(8) 0.961 523 2.130(10) 0.431(5) 0.999 1.002(21) 0.112(10) 0.983 573 2.067(282) 0.348(130) 0.752 1.046(18) 0.081(8) 0.979 623 1.822(238) 0.378(110) 0.843 0.903(77) 0.119(35) 0.835 673 1.917(210) 0.316(97) 0.825 0.931(7) 0.079(3) 0.996 723 1.622(146) 0.327(67) 0.918 0.870(9) 0.068(4) 0.991 773 1.656(61) 0.287(28) 0.980 0.890(10) 0.061(4) 0.987 823 1.516(29) 0.356(13) 0.996 0.771(5) 0.106(2) 0.998 873 1.662(172) 0.216(79) 0.762 0.906(249) 0.043(115) 923 1.764(118) 0.165(55) 0.800 0.803(4) 0.111(2) 0.999 973 1.631(175) 0.279(81) 0.845 0.767(34) 0.124(16) 0.967 1023 1.793(5) 0.171(2) 0.999 0.929(157) −0.002(72) 1073 1.615(47) 0.282(21) 0.987 0.725(15) 0.139(7) 0.994 表 4 计算岩石圈温度-深度剖面时采用的参数
Table 4. Parameters used for calculating the lithospheric temperature-depth profile
Layering Layer thickness/km κ/(W·m−1·K−1) R/(μW·m−3) Ref. Upper crust 12 κ(T, p) = ( 1.290504 +148.932568 /T+226651.47256 /T 2)(1+0.12553 p)1.68 This study Lower crust 32 κ(T) = ( 1618.4 −0.021T−14047 /T 0.5)[0.593+
2.773exp(−T/171.77)]×3127 ×10−60.49 [7] Lithospheric mantle κ(T, p) = (1.7+ 1177.8 /T+32300 /T 2)(1+0.044p)0.02 [15] -
[1] HAWKESWORTH C J, CAWOOD P A, DHUIME B, et al. Earth’s continental lithosphere through time [J]. Annual Review of Earth and Planetary Sciences, 2017, 45: 169–198. doi: 10.1146/annurev-earth-063016-020525 [2] RUDNICK R L, MCDONOUGH W F, O’CONNELL R J. Thermal structure, thickness and composition of continental lithosphere [J]. Chemical Geology, 1998, 145(3/4): 395–411. doi: 10.1016/S0009-2541(97)00151-4 [3] CHENG L Z, MARESCHAL J C, JAUPART C, et al. Simultaneous inversion of gravity and heat flow data: constraints on thermal regime, rheology and evolution of the Canadian Shield crust [J]. Journal of Geodynamics, 2002, 34(1): 11–30. doi: 10.1016/S0264-3707(01)00082-5 [4] PETITJEAN S, RABINOWICZ M, GRÉGOIRE M, et al. Differences between Archean and Proterozoic lithospheres: assessment of the possible major role of thermal conductivity [J]. Geochemistry, Geophysics, Geosystems, 2006, 7(3): Q03021. doi: 10.1029/2005GC001053 [5] MICHAUT C, JAUPART C, BELL D R. Transient geotherms in Archean continental lithosphere: new constraints on thickness and heat production of the subcontinental lithospheric mantle [J]. Journal of Geophysical Research, 2007, 112(B4): B04408. doi: 10.1029/2006JB004464 [6] BODORKOS S, SANDIFORD M. Thermal and mechanical controls on the evolution of Archean crustal deformation: examples from western Australia [M]//BENN K, MARESCHAL J C, CONDIE K C. Archean Geodynamics and Environments. Washington: American Geophysical Union, 2006, 164: 131−147. [7] MERRIMAN J D, WHITTINGTON A G, HOFMEISTER A M, et al. Thermal transport properties of major Archean rock types to high temperature and implications for cratonic geotherms [J]. Precambrian Research, 2013, 233: 358–372. doi: 10.1016/j.precamres.2013.05.009 [8] XU Y S, SHANKLAND T J, LINHARDT S, et al. Thermal diffusivity and conductivity of olivine, wadsleyite and ringwoodite to 20 GPa and 1373 K [J]. Physics of the Earth and Planetary Interiors, 2004, 143/144: 321–336. doi: 10.1016/j.pepi.2004.03.005[9] HOFMEISTER A M, BRANLUND J M, PERTERMANN M. Properties of rocks and minerals-thermal conductivity of the Earth [M]//SCHUBERT G. Treatise on Geophysics. Amsterdam: Elsevier, 2007: 543−577. [10] FU H F, ZHANG B H, GE J H, et al. Thermal diffusivity and thermal conductivity of granitoids at 283−988 K and 0.3−1.5 GPa [J]. American Mineralogist, 2019, 104(11): 1533–1545. doi: 10.2138/am-2019-7099 [11] ZHANG B H, FEI H Z, GE J H, et al. Crustal melting in orogenic belts revealed by eclogite thermal properties [J]. Nature Communications, 2022, 13(1): 4673. doi: 10.1038/s41467-022-32484-w [12] 张宝华, 毛竹, 刘锦, 等. 实验矿物物理的发展现状与趋势: 1. 相变和状态方程、电导率、热导率 [J]. 地球科学, 2022, 47(8): 2714–2728. doi: 10.3799/dqkx.2022.219ZHANG B H, MAO Z, LIU J, et al. Recent progress and perspective of experimental mineral physics: 1. phase transition and equation of state, electrical conductivity and thermal conductivity [J]. Earth Science, 2022, 47(8): 2714–2728. doi: 10.3799/dqkx.2022.219 [13] 马玮宇, 易丽, 王多君, 等. 高温高压下石榴斜长角闪岩的热物理性质研究及其对岩石圈热结构的约束 [J]. 地球物理学报, 2025, 68(2): 609–622. doi: 10.6038/cjg2024S0020MA W Y, YI L, WANG D J, et al. Thermal properties of garnet-bearing amphibolite at high temperature and pressure and its impact on the thermal structure of the lithosphere [J]. Chinese Journal of Geophysics, 2025, 68(2): 609–622. doi: 10.6038/cjg2024S0020 [14] SEIPOLD U. Temperature dependence of thermal transport properties of crystalline rocks: a general law [J]. Tectonophysics, 1998, 291(1): 161–171. doi: 10.1016/S0040-1951(98)00037-7 [15] WANG C, YONEDA A, OSAKO M, et al. Measurement of thermal conductivity of omphacite, jadeite, and diopside up to 14 GPa and 1000 K: implication for the role of eclogite in subduction slab [J]. Journal of Geophysical Research: Solid Earth, 2014, 119(8): 6277–6287. doi: 10.1002/2014JB011208[16] GE J H, ZHANG B H, XIONG Z L, et al. Thermal properties of harzburgite and dunite at 0.8−3 GPa and 300−823 K and implications for the thermal evolution of Tibet [J]. Geoscience Frontiers, 2021, 12(2): 947–956. doi: 10.1016/j.gsf.2020.01.008 [17] XIONG Z L, ZHANG B H, GE J H, et al. Thermal diffusivity and thermal conductivity of alkali feldspar at 0.8−3 GPa and 300−873 K [J]. Contributions to Mineralogy and Petrology, 2021, 176(6): 42. doi: 10.1007/s00410-021-01797-2 [18] HAN K N, WANG D J, ZHANG R X, et al. Thermal conductivity and thermal diffusivity of Tremolite at high temperature and pressure and implications for the thermal structure of the Venusian lithosphere [J]. Journal of Geophysical Research: Planets, 2023, 128(6): e2022JE007692. doi: 10.1029/2022JE007692 [19] ZHANG R X, WANG D J, TAN H W, et al. Anomalous thermal structures of subduction zones revealed by thermal properties of clinochlore at high temperature and pressure [J]. GSA Bulletin, 2024, 136(5/6): 2281–2290. doi: 10.1130/B37134.1 [20] GUO X Z, FENG B, ZHANG B H, et al. Effect of iron content on the thermal conductivity and thermal diffusivity of orthopyroxene [J]. Geochemistry, Geophysics, Geosystems, 2024, 25(6): e2023GC011419. doi: 10.1029/2023GC011419 [21] HORAI K I, SUSAKI J I. The effect of pressure on the thermal conductivity of silicate rocks up to 12 kbar [J]. Physics of the Earth and Planetary Interiors, 1989, 55(3/4): 292–305. doi: 10.1016/0031-9201(89)90077-0 [22] GIBERT B, SEIPOLD U, TOMMASI A, et al. Thermal diffusivity of upper mantle rocks: influence of temperature, pressure, and the deformation fabric [J]. Journal of Geophysical Research: Solid Earth, 2003, 108(B8): 2359. doi: 10.1029/2002JB002108 [23] ABDULAGATOV I M, EMIROV S N, ABDULAGATOVA Z Z, et al. Effect of pressure and temperature on the thermal conductivity of rocks [J]. Journal of Chemical & Engineering Data, 2006, 51(1): 22–33. doi: 10.1021/je050016a [24] HOFMEISTER A M. Pressure dependence of thermal transport properties [J]. Proceedings of the National Academy of Sciences of the United States of America, 2007, 104(22): 9192–9197. doi: 10.1073/pnas.0610734104 [25] HÖFER M, R F. Heat transfer in quartz, orthoclase, and sanidine at elevated temperature [J]. Physics and Chemistry of Minerals, 2002, 29(9): 571–584. doi: 10.1007/s00269-002-0277-z [26] BRANLUND J M, HOFMEISTER A M. Thermal diffusivity of quartz to 1000 ℃: effects of impurities and the α-β phase transition [J]. Physics and Chemistry of Minerals, 2007, 34(8): 581–595. doi: 10.1007/s00269-007-0173-7[27] JEMMAL Y, ZARI N, MAAROUFI M. Thermophysical and chemical analysis of gneiss rock as low cost candidate material for thermal energy storage in concentrated solar power plants [J]. Solar Energy Materials and Solar Cells, 2016, 157: 377–382. doi: 10.1016/j.solmat.2016.06.002 [28] 王舫. 青藏高原东南缘点苍山-哀牢山变质杂岩带的岩石学及变质演化 [D]. 北京: 中国地质科学院, 2012: 19−21.WANG F. Petrology and metamorphic evolution of the Diancangshan-Ailaoshan metamorphic complex belt, southeastern Tibetan Plateau [D]. Beijing: Chinese Academy of Geological Science, 2012: 19−21. [29] 翟明国, 从柏林. 对于点苍山-石鼓变质带区域划分的意见 [J]. 岩石学报, 1993, 9(3): 227–239. doi: 10.3321/j.issn:1000-0569.1993.03.002ZHAI M G, CONG B L. The Diancangshan-Shigu metamorphic belt in W. Yunnan, China: their geochemical and geochronological characteristics and division of metamorphic domains [J]. Acta Petrologica Sinica, 1993, 9(3): 227–239. doi: 10.3321/j.issn:1000-0569.1993.03.002 [30] 沙绍礼. 点苍山-哀牢山带基础地质问题思考 [J]. 云南地质, 2011, 30(1): 1–9. doi: 10.3969/j.issn.1004-1885.2011.01.001SHA S L. The consideration on basement geological problems of Diancangshan-Ailaoshan zone [J]. Yunnan Geology, 2011, 30(1): 1–9. doi: 10.3969/j.issn.1004-1885.2011.01.001 [31] NAKANO N, OSANAI Y, MINH N T, et al. Discovery of high-pressure granulite-facies metamorphism in northern Vietnam: constraints on the Permo-Triassic Indochinese continental collision tectonics [J]. Comptes Rendus Geoscience, 2008, 340(2/3): 127–138. doi: 10.1016/j.crte.2007.10.013 [32] DENG J, WANG Q F, LI G J, et al. Cenozoic tectono-magmatic and metallogenic processes in the Sanjiang region, southwestern China [J]. Earth-Science Reviews, 2014, 138: 268–299. doi: 10.1016/j.earscirev.2014.05.015 [33] XU J, XIA X P, YIN C Q, et al. Geochronology and geochemistry of the granitoids in the Diancangshan-Ailaoshan fold belt: implications on the Neoproterozoic subduction and crustal melting along the southwestern Yangtze Block, South China [J]. Precambrian Research, 2022, 383: 106907. doi: 10.1016/j.precamres.2022.106907 [34] 赵春强, 赵利, 曹淑云, 等. 点苍山变质杂岩新生代变质-变形演化及其区域构造内涵 [J]. 岩石学报, 2014, 30(3): 851–866.ZHAO C Q, ZHAO L, CAO S Y, et al. Cenozoic deformation-metamorphic evolution of the Diancang Shan metamorphic complex and regional tectonic implications [J]. Acta Petrologica Sinica, 2014, 30(3): 851–866. [35] 程雪梅, 曹淑云, 李俊瑜, 等. 滇西点苍山变质杂岩中叠加低温糜棱岩的变形-变质、流体及地质意义 [J]. 中国科学: 地球科学, 2018, 61(8): 1023–1041. doi: 10.13601N072017-00198CHENG X M, CAO S Y, LI J Y, et al. Metamorphic, deformation, fluids and geological significance of low-temperature retrograde mylonites of Diancangshan metamorphic massif along Ailaoshan-Red River strike-slip fault zone, Yunnan, China [J]. Science China: Earth Sciences, 2018, 61(8): 1023–1041. doi: 10.13601N072017-00198 [36] 谢鸿森. 地球深部物质科学导论 [M]. 北京: 科学出版社, 1997: 11−24.XIE H S. Introduction to deep earth material science [M]. Beijing: Science Press, 1997: 11−24. [37] ZHANG B H, GE J H, XIONG Z L, et al. Effect of water on the thermal properties of olivine with implications for Lunar internal temperature [J]. Journal of Geophysical Research: Planets, 2019, 124(12): 3469–3481. doi: 10.1029/2019JE006194 [38] DZHAVADOV L N. Measurement of thermophysical properties of dielectrics under pressure [J]. High Temperature High Pressures, 1975, 7: 49–54. [39] OSAKO M, ITO E, YONEDA A. Simultaneous measurements of thermal conductivity and thermal diffusivity for garnet and olivine under high pressure [J]. Physics of the Earth and Planetary Interiors, 2004, 143/144: 311−320. [40] SEIPOLD U. The variation of thermal transport properties in the Earth’s crust [J]. Journal of Geodynamics, 1995, 20(2): 145–154. doi: 10.1016/0264-3707(95)00001-P [41] SEIPOLD U. Depth dependence of thermal transport properties for typical crustal rocks [J]. Physics of the Earth and Planetary Interiors, 1992, 69(3/4): 299–303. doi: 10.1016/0031-9201(92)90149-P [42] WHITTINGTON A G, HOFMEISTER A M, NABELEK P I. Temperature-dependent thermal diffusivity of the Earth’s crust and implications for magmatism [J]. Nature, 2009, 458(7236): 319–321. doi: 10.1038/nature07818 [43] KIM H, CHO J W, SONG I, et al. Anisotropy of elastic moduli, P-wave velocities, and thermal conductivities of Asan gneiss, Boryeong shale, and Yeoncheon schist in Korea [J]. Engineering Geology, 2012, 147/148: 68–77. doi: 10.1016/j.enggeo.2012.07.015 [44] ROYDEN L H, BURCHFIEL B C, KING R W, et al. Surface deformation and lower crustal flow in eastern Tibet [J]. Science, 1997, 276(5313): 788–790. doi: 10.1126/science.276.5313.788 [45] CLARK M K, ROYDEN L H. Topographic ooze: building the eastern margin of Tibet by lower crustal flow [J]. Geology, 2000, 28(8): 703–706. doi: 10.1130/0091-7613(2000)28<703:TOBTEM>2.0.CO;2 [46] GAN W J, ZHANG P Z, SHEN Z K, et al. Present-day crustal motion within the Tibetan Plateau inferred from GPS measurements [J]. Journal of Geophysical Research: Solid Earth, 2007, 112(B8): B08416. doi: 10.1029/2005JB004120 [47] 周真恒, 向才英. 云南岩石圈地温分布 [J]. 地震地质, 1997, 19(3): 227–234.ZHOU Z H, XIANG C Y. Distribution of the lithospheric geotemperature in Yunnan [J]. Seismology and Geology, 1997, 19(3): 227–234. [48] LI C, VAN DER HILST R D, MELTZER A S, et al. Subduction of the Indian lithosphere beneath the Tibetan Plateau and Burma [J]. Earth and Planetary Science Letters, 2008, 274(1/2): 157–168. doi: 10.1016/j.jpgl.2008.07.016 [49] 缪素秋. 川滇地区岩石圈结构及动力学特征 [D]. 昆明: 云南大学, 2019: 68−74.MIAO S Q. The lithospheric structure and geodynamic characteristics beneath Sichuan-Yunnan region [D]. Kunming: Yunnan University, 2019: 68−74. [50] CHAPMAN D S. Thermal gradients in the continental crust [J]. Geological Society, London, Special Publications, 1986, 24(1): 63–70. doi: 10.1144/GSL.SP.1986.024.01.07 [51] 汪缉安, 徐青, 张文仁. 云南大地热流及地热地质问题 [J]. 地震地质, 1990, 12(4): 367–377.WANG J A, XU Q, ZHANG W R. Heat flow data and some geologic-geothermal problems in Yunnan province [J]. Seismology and Geology, 1990, 12(4): 367–377. [52] 汪集旸, 黄少鹏. 中国大陆地区大地热流数据汇编(第二版) [J]. 地震地质, 1990, 12(4): 351–363, 366.WANG J Y, HUANG S P. Compilation of heat flow data in the China continental area (2nd Edition) [J]. Seismology and Geology, 1990, 12(4): 351–363, 366. [53] HU S B, HE L J, WANG J Y. Heat flow in the continental area of China: a new data set [J]. Earth and Planetary Science Letters, 2000, 179(2): 407–419. doi: 10.1016/S0012-821X(00)00126-6 [54] 王贵玲, 刘峰, 蔺文静, 等. 我国陆区地壳生热率分布与壳幔热流特征研究 [J]. 地球物理学报, 2023, 66(12): 5041–5056. doi: 10.6038/cjg2022Q0877WANG G L, LIU F, LIN W J, et al. The crustal heat production rate and crustal and mantle heat flow distribution in the land areas of China [J]. Chinese Journal of Geophysics, 2023, 66(12): 5041–5056. doi: 10.6038/cjg2022Q0877 [55] 向才英, 周真恒. 云南地震活动与岩石圈热结构的关系 [J]. 中国地震, 2000, 16(3): 263–272. doi: 10.3969/j.issn.1001-4683.2000.03.008XIANG C Y, ZHOU Z H. Relationship between seismicity and geothermal structure of the lithosphere in Yunnan province, China [J]. Earthquake Research in China, 2000, 16(3): 263–272. doi: 10.3969/j.issn.1001-4683.2000.03.008 [56] 李伟. 利用地震光照成像法研究青藏高原东南缘岩石圈间断面结构 [D]. 北京: 中国地震局地球物理研究所, 2019: 32−40.LI W. Structure of discontinuities below the southeast margin of the Tibetan Plateau revealed by seismic daylight imaging [D]. Beijing: Institute of Geophysics, China Earthquake Administration, 2019: 32−40. [57] 杨滢. 川滇地区的重力异常特征及岩石圈热结构 [D]. 昆明: 云南大学, 2022: 49−55.YANG Y. The characteristics of gravity anomalies and lithospheric thermal structure in Southeast Tibet [D]. Kunming: Yunnan University, 2022: 49−55. [58] BROWN J M, SHANKLAND T J. Thermodynamic parameters in the Earth as determined from seismic profiles [J]. Geophysical Journal International, 1981, 66(3): 579–596. doi: 10.1111/j.1365-246X.1981.tb04891.x -

下载: