阻塞弯管中爆轰波传播行为

刘佳伟 马宏昊 葛云 王鲁庆

刘佳伟, 马宏昊, 葛云, 王鲁庆. 阻塞弯管中爆轰波传播行为[J]. 高压物理学报, 2025, 39(10): 105201. doi: 10.11858/gywlxb.20251055
引用本文: 刘佳伟, 马宏昊, 葛云, 王鲁庆. 阻塞弯管中爆轰波传播行为[J]. 高压物理学报, 2025, 39(10): 105201. doi: 10.11858/gywlxb.20251055
LIU Jiawei, MA Honghao, GE Yun, WANG Luqing. Detonation Propagation Behaviors in an Obstructed Bent Tube[J]. Chinese Journal of High Pressure Physics, 2025, 39(10): 105201. doi: 10.11858/gywlxb.20251055
Citation: LIU Jiawei, MA Honghao, GE Yun, WANG Luqing. Detonation Propagation Behaviors in an Obstructed Bent Tube[J]. Chinese Journal of High Pressure Physics, 2025, 39(10): 105201. doi: 10.11858/gywlxb.20251055

阻塞弯管中爆轰波传播行为

doi: 10.11858/gywlxb.20251055
基金项目: 国家自然科学基金(12472373,12272374);安徽省杰出青年科学基金(2408085J006)
详细信息
    作者简介:

    刘佳伟(1999-),男,硕士研究生,主要从事气体爆轰研究. E-mail:jwl@mail.ustc.edu.cn

    通讯作者:

    马宏昊(1980-),男,博士,教授,主要从事爆破器材与安全工程研究. E-mail:hhma@ustc.edu.cn

  • 中图分类号: O381; O382.1; O521.9

Detonation Propagation Behaviors in an Obstructed Bent Tube

  • 摘要: 对不同初始压力下氢氧爆轰波在含阵列障碍物弯管中的传播行为进行实验研究,并选用一个相同配置的直管作为对照组。弯管为半圆形的方形截面管,障碍物的形状为长方形,阻塞率为40%。通过压力监测及烟熏箔记录发现,爆轰波形成后在障碍物间的传播过程分为5个阶段,即不规则胞格区、无胞格区、细密胞格区、过渡区和正常胞格区。其中,弯管中的爆轰波在越过障碍物发生衍射后并未立刻解耦,而是在与底壁正向撞击形成不规则胞格后受稀疏波的作用经历短暂解耦失效,随后在外壁处形成平面过驱爆轰波,并向内壁处逐渐扩展,最后,过驱爆轰逐渐衰减为稳定爆轰。而在直管中,初始压力降低时,爆轰波越过障碍物发生衍射后出现了部分解耦,在障碍物后首先形成一个无胞格区,然后才出现上述5个阶段。此外,在稳定爆轰阶段,弯管中的爆轰胞格宽度从内壁到外壁逐渐降低,并大致呈线性分布。相应初始压力下,爆轰数据库中的胞格宽度更接近弯管中内壁处的胞格宽度。直管中的胞格宽度与爆轰数据库中的数据吻合良好。

     

  • 图  实验装置示意图

    Figure  1.  Schematic diagram of experimental setup

    图  压力信号

    Figure  2.  Pressure signals

    图  弯管中波阵面的平均速度

    Figure  3.  Average velocity of the wave front in the bent tube

    图  直管中波阵面的平均速度

    Figure  4.  Average velocity of the wave front in the straight tube

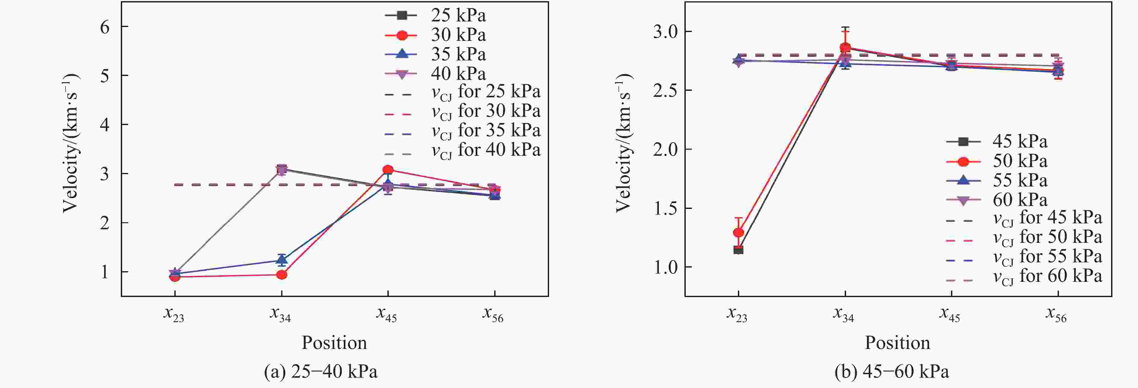
    图  25~60 kPa初始压力时x45x56处的爆轰波速度

    Figure  5.  Detonation velocity at x45 and x56 at initial pressures of 25−60 kPa

    图  25~60 kPa初始压力下爆轰波的马赫数

    Figure  6.  Mach number of detonation wave at initial pressures of 25−60 kPa

    图  初始压力为25、45和60 kPa时弯管中的烟熏箔记录

    Figure  7.  Soot foil recording in the bent tube at initial pressures of 25, 45, and 60 kPa

    图  初始压力为25、45和60 kPa时直管中的烟熏箔记录

    Figure  8.  Soot foil recording in the straight tube at initial pressures of 25, 45, and 60 kPa

    图  爆轰波绕过障碍物传播示意图

    Figure  9.  Schematic diagram of detonation wave propagation across the obstacle

    图  10  弯管和直管中各阶段的面积占比

    Figure  10.  Area proportions of each stage in the bent and straight tubes

    图  11  25~60 kPa初始压力时弯管和直管中的重起爆距离

    Figure  11.  Re-initiation distance in the bent and straight tubes at initial pressures of 25−60 kPa

    图  12  25~60 kPa初始压力时直管中的胞格宽度

    Figure  12.  Cell width in the straight tube at initial pressures of 25−60 kPa

    图  13  初始压力为25~40 kPa和45~60 kPa时弯管底壁不同位置处的胞格宽度

    Figure  13.  Cell width at different locations on the bottom wall in the bent tube at initial pressures of 25−40 kPa and 45−60 kPa

    图  14  拟合直线的截距和斜率绝对值与初始压力的关系

    Figure  14.  Relationships between the intercept and absolute value of slope of the fitted line and the initial pressure

  • [1] LEE J H S, MOEN I O. The mechans of transition from deflagration to detonation in vapor cloud explosions [J]. Progress in Energy and Combustion Science, 1980, 6(4): 359–389. doi: 10.1016/0360-1285(80)90011-8
    [2] LU F K, BRAUN E M. Rotating detonation wave propulsion: experimental challenges, modeling, and engine concepts [J]. Journal of Propulsion and Power, 2014, 30(5): 1125–1142. doi: 10.2514/1.B34802
    [3] MEHR S H, CICCARELLI G. DDT run-up distance in an obstructed tube [J]. Combustion and Flame, 2023, 255: 112906. doi: 10.1016/j.combustflame.2023.112906
    [4] PERALDI O, KNYSTAUTAS R, LEE J H. Criteria for transition to detonation in tubes [J]. Symposium (International) on Combustion, 1988, 21(1): 1629–1637. doi: 10.1016/S0082-0784(88)80396-5
    [5] KUZNETSOV M, ALEKSEEV V, MATSUKOV I, et al. DDT in a smooth tube filled with a hydrogen-oxygen mixture [J]. Shock Waves, 2005, 14(3): 205–215. doi: 10.1007/s00193-005-0265-6
    [6] ENDO T, KASAHARA J, MATSUO A, et al. Pressure history at the thrust wall of a simplified pulse detonation engine [J]. AIAA Journal, 2004, 42(9): 1921–1930. doi: 10.2514/1.976
    [7] 贺顺江, 任会兰, 李健. 环形通道内爆轰波的起爆机制 [J]. 高压物理学报, 2023, 37(1): 015202. doi: 10.11858/gywlxb.20220610

    HE S J, REN H L, LI J. Initiation mechanism of detonation wave in an annular channel [J]. Chinese Journal of High Pressure Physics, 2023, 37(1): 015202. doi: 10.11858/gywlxb.20220610
    [8] NAKAYAMA H, MORIYA T, KASAHARA J, et al. Stable detonation wave propagation in rectangular-cross-section curved channels [J]. Combustion and Flame, 2012, 159(2): 859–869. doi: 10.1016/j.combustflame.2011.07.022
    [9] YUAN X Q, ZHOU J, LIN Z Y, et al. Adaptive simulations of detonation propagation in 90-degree bent tubes [J]. International Journal of Hydrogen Energy, 2016, 41(40): 18259–18272. doi: 10.1016/j.ijhydene.2016.07.130
    [10] 齐骏, 潘振华, 张彭岗, 等. 弯管内连续旋转爆轰波传播模式实验研究 [J]. 工程热物理学报, 2017, 38(2): 435–439.

    QI J, PAN Z H, ZHANG P G, et al. Experimental study on the propagation mode of continuous rotating detonation through the bend [J]. Journal of Engineering Thermophysics, 2017, 38(2): 435–439.
    [11] FROLOV S M, AKSENOV V S, SHAMSHIN I O. Shock wave and detonation propagation through U-bend tubes [J]. Proceedings of the Combustion Institute, 2007, 31(2): 2421–2428. doi: 10.1016/j.proci.2006.07.197
    [12] OTSUKA S, SUZUKI M, YAMAMOTO M. Numerical investigation on detonation wave through U-bend [J]. Journal of Thermal Science, 2010, 19(6): 540–544. doi: 10.1007/s11630-010-0421-x
    [13] ZHENG H T, ZHU W L, JIA X B, et al. Eulerian-Lagrangian modeling of deflagration to detonation transition in n-decane/oxygen/nitrogen mixtures [J]. Physics of Fluids, 2022, 34(12): 126110. doi: 10.1063/5.0125327
    [14] LUO C, ZANGANEH J, MOGHTADERI B. A 3D numerical study of detonation wave propagation in various angled bending tubes [J]. Fire Safety Journal, 2016, 86: 53–64. doi: 10.1016/j.firesaf.2016.10.002
    [15] KUDO Y, NAGURA Y, KASAHARA J, et al. Oblique detonation waves stabilized in rectangular-cross-section bent tubes [J]. Proceedings of the Combustion Institute, 2011, 33(2): 2319–2326. doi: 10.1016/j.proci.2010.08.008
    [16] 王昌建, 徐胜利, 郭长铭. 气相爆轰波在半圆形弯管中传播现象的实验研究 [J]. 爆炸与冲击, 2003, 23(5): 448–453. doi: 10.11883/1001-1455(2003)05-0448-6

    WANG C J, XU S L, GUO C M. Experimental investigation on gaseous detonation propagation through a semi-circle bend tube [J]. Explosion and Shock Waves, 2003, 23(5): 448–453. doi: 10.11883/1001-1455(2003)05-0448-6
    [17] LI J, REN H L, NING J G. Numerical application of additive Runge-Kutta methods on detonation interaction with pipe bends [J]. International Journal of Hydrogen Energy, 2013, 38(21): 9016–9027. doi: 10.1016/j.ijhydene.2013.04.126
    [18] PAN Z H, CHEN K P, QI J, et al. The propagation characteristics of curved detonation wave: experiments in helical channels [J]. Proceedings of the Combustion Institute, 2019, 37(3): 3585–3592. doi: 10.1016/j.proci.2018.06.167
    [19] RODRIGUEZ V, JOURDAIN C, VIDAL P, et al. An experimental evidence of steadily-rotating overdriven detonation [J]. Combustion and Flame, 2019, 202: 132–142. doi: 10.1016/j.combustflame.2019.01.016
    [20] 褚驰, 翁春生, 武郁文, 等. 基于预爆轰点火方式的连续旋转爆轰发动机起爆过程分析 [J]. 弹道学报, 2021, 33(1): 1–10. doi: 10.12115/j.issn.1004-499X(2021)01-001

    CHU C, WENG C S, WU Y W, et al. Analysis of initiation process of continuous rotating detonation engine based on pre-detonation ignition [J]. Journal of Ballistics, 2021, 33(1): 1–10. doi: 10.12115/j.issn.1004-499X(2021)01-001
    [21] LEE S H, JO D R, CHOI J Y. Effect of curvature on the detonation wave propagation characteristics in annular channels [C]//46th AIAA Aerospace Sciences Meeting and Exhibit. Reno: AIAA, 2008.
    [22] LI J, NING J G, ZHAO H, et al. Numerical investigation on the propagation mechanism of steady cellular detonations in curved channels [J]. Chinese Physics Letters, 2015, 32(4): 048202. doi: 10.1088/0256-307X/32/4/048202
    [23] ZHOU N, WANG W X, ZHANG G W, et al. Numerical simulation study on the combustion rule of bending structure in pipes [J]. Combustion Science and Technology, 2018, 190(9): 1500–1514. doi: 10.1080/00102202.2018.1424142
    [24] YAN C A, NG H D, MI X C. A numerical study on the influence of increased instability of quasi-detonation on the critical tube diameter phenomenon [J]. Proceedings of the Combustion Institute, 2023, 39(3): 2835–2845. doi: 10.1016/j.proci.2022.11.007
    [25] 王鲁庆, 马宏昊, 王波, 等. 氢气/甲烷-空气爆轰波在含环形障碍物圆管内传播的试验研究 [J]. 高压物理学报, 2018, 32(3): 035203. doi: 10.11858/gywlxb.20170687

    WANG L Q, MA H H, WANG B, et al. Detonation propagation in hydrogen/methane-air mixtures in a round tube filled with orifice plates [J]. Chinese Journal of High Pressure Physics, 2018, 32(3): 035203. doi: 10.11858/gywlxb.20170687
    [26] MONNIER V, RODRIGUEZ V, VIDAL P, et al. An analysis of three-dimensional patterns of experimental detonation cells [J]. Combustion and Flame, 2022, 245: 112310. doi: 10.1016/j.combustflame.2022.112310
    [27] MELGUIZO-GAVILANES J, RODRIGUEZ V, VIDAL P, et al. Dynamics of detonation transmission and propagation in a curved chamber: a numerical and experimental analysis [J]. Combustion and Flame, 2021, 223: 460–473. doi: 10.1016/j.combustflame.2020.09.032
    [28] PAN Z H, QI J, PAN J F, et al. Fabrication of a helical detonation channel: effect of initial pressure on the detonation propagation modes of ethylene/oxygen mixtures [J]. Combustion and Flame, 2018, 192: 1–9. doi: 10.1016/j.combustflame.2018.01.041
    [29] BALLOSSIER Y, VIROT F, MELGUIZO-GAVILANES J. Flame acceleration and detonation onset in narrow channels: simultaneous schlieren visualization [J]. Combustion and Flame, 2023, 254: 112833. doi: 10.1016/j.combustflame.2023.112833
    [30] SUN X X, LU S X. Effect of obstacle thickness on the propagation mechanisms of a detonation wave [J]. Energy, 2020, 198: 117186. doi: 10.1016/j.energy.2020.117186
    [31] KANESHIGE M, SHEPHERD J E. Detonation database [DB/OL]. (1997-07-30)[2025-01-17]. https://shepherd.caltech.edu/EDL/publications/m_kane97b/db.pdf.
    [32] 齐骏. 爆轰波在多层弯管中传播特性的研究 [D]. 镇江: 江苏大学, 2018: 42–43.

    QI J. Study on the propagation characteristics of detonation wave in multi-layer bend tube [D]. Zhenjiang: Jiangsu University, 2018: 42–43.
  • 加载中
图(14)
计量
  • 文章访问数:  626
  • HTML全文浏览量:  198
  • PDF下载量:  33
出版历程
  • 收稿日期:  2025-03-20
  • 修回日期:  2025-04-08
  • 网络出版日期:  2025-04-10
  • 刊出日期:  2025-10-05

目录

    /

    返回文章
    返回