Volume 39 Issue 9
Sep 2025
Turn off MathJax
Article Contents
JIA Xinrui, LIU Ailing, ZHONG Xin, LIU Hanyu. Research Progress in Multi-Boron-Carbon-Based High-Temperature Superconductors under High Pressures[J]. Chinese Journal of High Pressure Physics, 2025, 39(9): 090201. doi: 10.11858/gywlxb.20251074
Citation: JIA Xinrui, LIU Ailing, ZHONG Xin, LIU Hanyu. Research Progress in Multi-Boron-Carbon-Based High-Temperature Superconductors under High Pressures[J]. Chinese Journal of High Pressure Physics, 2025, 39(9): 090201. doi: 10.11858/gywlxb.20251074

Research Progress in Multi-Boron-Carbon-Based High-Temperature Superconductors under High Pressures

doi: 10.11858/gywlxb.20251074
  • Received Date: 14 Apr 2025
  • Rev Recd Date: 21 May 2025
  • Available Online: 28 May 2025
  • Issue Publish Date: 05 Sep 2025
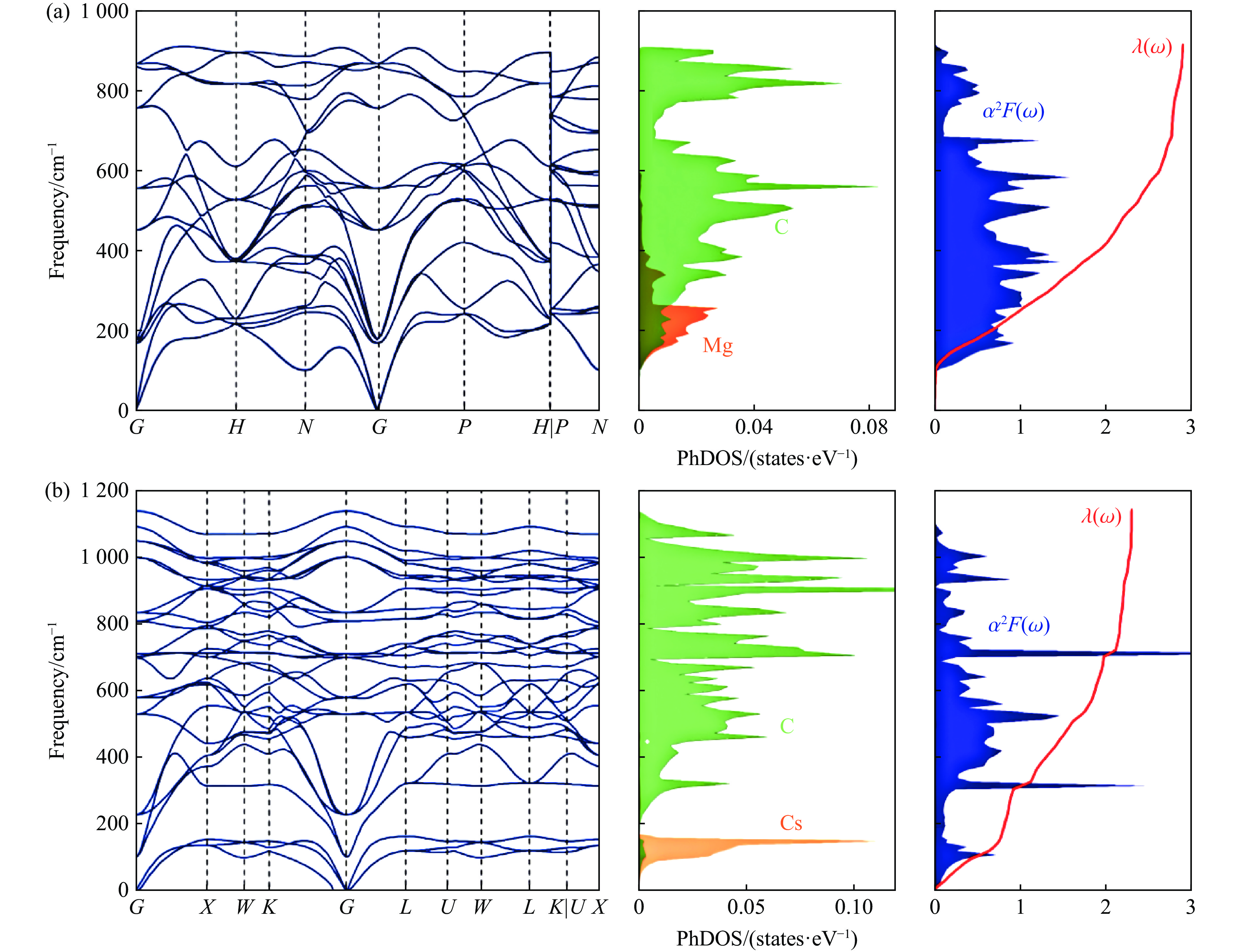
  • Superconductors would exhibit unique quantum properties below the critical transition temperatures, including zero-resistance and complete diamagnetism (the Meissner effect) and have potential revolutionary application in fields of energy transmission and transportation. Therefore, the exploration of high-temperature superconductors with transition temperature exceeding the liquid nitrogen boiling point (77 K) has remained a central issue in condensed matter physics. Based on the Bardeen-Cooper-Schrieffer (BCS) theoretical framework, more studies reveal that the light-element compounds with strong covalent bonds (like boron-carbon-based systems) can also exhibit strong electron-phonon coupling, which is similar to the hydrogen rich superconductors. Moreover, it can show high superconducting transition temperatures and can display excellent structural stability under sub-megabar pressures. For example, the MgB2 and its derivatives, such as layered boron-carbon superconductors, sodalite-like cage-structured boron-carbon systems, and other boron-carbon-based superconductors, have received more attention in the field of boron-carbon-based superconductors. In this paper, we reviewed the recent progresses in boron-carbon-based superconductors, systematically analyzed the mechanism of its superconductivity, and discuss future challenges in discovering more high-temperature superconductors within this material family.

     

  • loading
  • [1]
    WIGNER E, HUNTINGTON H B. On the possibility of a metallic modification of hydrogen [J]. The Journal of Chemical Physics, 1935, 3(12): 764–770. doi: 10.1063/1.1749590
    [2]
    ASHCROFT N W. Metallic hydrogen: a high-temperature superconductor? [J]. Physical Review Letters, 1968, 21(26): 1748–1749. doi: 10.1103/PhysRevLett.21.1748
    [3]
    JOHNSON K A, ASHCROFT N W. Structure and bandgap closure in dense hydrogen [J]. Nature, 2000, 403(6770): 632–635. doi: 10.1038/35001024
    [4]
    STÄDELE M, MARTIN R M. Metallization of molecular hydrogen: predictions from exact-exchange calculations [J]. Physical Review Letters, 2000, 84(26): 6070–6073. doi: 10.1103/PhysRevLett.84.6070
    [5]
    ASHCROFT N W. Hydrogen dominant metallic alloys: high temperature superconductors? [J]. Physical Review Letters, 2004, 92(18): 187002. doi: 10.1103/PhysRevLett.92.187002
    [6]
    DUAN D F, LIU Y X, TIAN F B, et al. Pressure-induced metallization of dense (H2S)2H2 with high-Tc superconductivity [J]. Scientific Reports, 2014, 4: 6968. doi: 10.1038/srep06968
    [7]
    WANG H, TSE J S, TANAKA K, et al. Superconductive sodalite-like clathrate calcium hydride at high pressures [J]. Proceedings of the National Academy of Sciences of the United States of America, 2012, 109(17): 6463–6466. doi: 10.1073/pnas.1118168109
    [8]
    MA L, WANG K, XIE Y, et al. High-temperature superconducting phase in clathrate calcium hydride CaH6 up to 215 K at a pressure of 172 GPa [J]. Physical Review Letters, 2022, 128(16): 167001. doi: 10.1103/PhysRevLett.128.167001
    [9]
    KONG P P, MINKOV V S, KUZOVNIKOV M A, et al. Superconductivity up to 243 K in the yttrium-hydrogen system under high pressure [J]. Nature Communications, 2021, 12(1): 5075. doi: 10.1038/s41467-021-25372-2
    [10]
    LIU H Y, NAUMOV I I, HOFFMANN R, et al. Potential high-Tc superconducting lanthanum and yttrium hydrides at high pressure [J]. Proceedings of the National Academy of Sciences of the United States of America, 2017, 114(27): 6990–6995. doi: 10.1073/pnas.1704505114
    [11]
    SOMAYAZULU M, AHART M, MISHRA A K, et al. Evidence for superconductivity above 260 K in lanthanum superhydride at megabar pressures [J]. Physical Review Letters, 2019, 122(2): 027001. doi: 10.1103/PhysRevLett.122.027001
    [12]
    HONG F, YANG L X, SHAN P F, et al. Superconductivity of lanthanum superhydride investigated using the standard four-probe configuration under high pressures [J]. Chinese Physics Letters, 2020, 37(10): 107401. doi: 10.1088/0256-307X/37/10/107401
    [13]
    NAGAMATSU J, NAKAGAWA N, MURANAKA T, et al. Superconductivity at 39 K in magnesium diboride [J]. Nature, 2001, 410(6824): 63–64. doi: 10.1038/35065039
    [14]
    AN J M, PICKETT W E. Superconductivity of MgB2: covalent bonds driven metallic [J]. Physical Review Letters, 2001, 86(19): 4366–4369. doi: 10.1103/PhysRevLett.86.4366
    [15]
    BOERI L, KORTUS J, ANDERSEN O K. Three-dimensional MgB2-type superconductivity in hole-doped diamond [J]. Physical Review Letters, 2004, 93(23): 237002. doi: 10.1103/PhysRevLett.93.237002
    [16]
    PHAM T T, NGUYEN D L. First-principles prediction of superconductivity in MgB3C3 [J]. Physical Review B, 2023, 107(13): 134502. doi: 10.1103/PhysRevB.107.134502
    [17]
    LI Y P, YANG L, LIU H D, et al. Superconductivity in alkali metal-deposited monolayer BC: MBC (M=Na, K) [J]. Journal of Low Temperature Physics, 2024, 217(5): 735–748. doi: 10.1007/s10909-024-03227-6
    [18]
    ZHU L, LIU H Y, SOMAYAZULU M, et al. Superconductivity in SrB3C3 clathrate [J]. Physical Review Research, 2023, 5(1): 013012. doi: 10.1103/PhysRevResearch.5.013012
    [19]
    ZHU L, BORSTAD G M, LIU H Y, et al. Carbon-boron clathrates as a new class of sp3-bonded framework materials [J]. Science Advances, 2020, 6(2): eaay8361. doi: 10.1126/sciadv.aay8361
    [20]
    ZHANG D T, CHEN C F, YAN D Y, et al. Fully-gapped superconductivity in single crystalline NbC and TaC probed by point-contact spectroscopy [J]. Superconductor Science and Technology, 2022, 35(12): 125004. doi: 10.1088/1361-6668/ac9dc4
    [21]
    YANG X, ZHAO W B, MA L, et al. Prediction of fully metallic σ-bonded boron framework induced high superconductivity above 100 K in thermodynamically stable Sr2B5 at 40 GPa [EB/OL]. (2023-10-21)[2025-04-14]. https://doi.org/10.48550/arXiv.2310.13945.
    [22]
    LARANJEIRA J, ERREA I, DANGIĆ Đ, et al. Superconductivity in the doped polymerized fullerite clathrate from first principles [J]. Physica Status Solidi, 2024, 18(1): 2300249. doi: 10.1002/pssr.202300249
    [23]
    WANG X T, LIU N N, WU Y F, et al. Strong coupling superconductivity in Ca-intercalated bilayer graphene on SiC [J]. Nano Letters, 2022, 22(18): 7651–7658. doi: 10.1021/acs.nanolett.2c02804
    [24]
    HUEMPFNER T, OTTO F, FORKER R, et al. Superconductivity of K-intercalated epitaxial bilayer graphene [J]. Advanced Materials Interfaces, 2023, 10(11): 2300014. doi: 10.1002/admi.202300014
    [25]
    TAN J H, WANG H, CHEN Y J, et al. Superconductivity in Ca-intercalated bilayer graphene: C2CaC2 [J]. Physical Chemistry Chemical Physics, 2024, 26(15): 11429–11435. doi: 10.1039/d3cp06245g
    [26]
    YANG L, LIU P F, LIU H D, et al. Strong-coupling superconductivity with Tc above 70 K in Be-decorated monolayer T-graphene [J]. Science China Physics, Mechanics & Astronomy, 2024, 67(1): 217412.
    [27]
    HAI Y L, JIANG M J, TIAN H L, et al. Superconductivity above 100 K predicted in carbon-cage network [J]. Advanced Science, 2023, 10(33): e2303639. doi: 10.1002/advs.202303639
    [28]
    JIN S Y, KUANG X Y, DOU X L, et al. Sodalite-like carbon based superconductors with Tc about 77 K at ambient pressure [J]. Journal of Materials Chemistry C, 2024, 12(4): 1516–1522. doi: 10.1039/D3TC04096H
    [29]
    TSUPPAYAKORN-AEK P, EKTARAWONG A, SUKMAS W, et al. Thermodynamic stability and superconductivity of tantalum carbides from first-principles cluster expansion and isotropic Eliashberg theory [J]. Computational Materials Science, 2022, 202: 111004. doi: 10.1016/j.commatsci.2021.111004
    [30]
    MEENA P K , JANGID S, KUSHWAHA R K, et al. Stabilization of ambient pressure rocksalt crystal structure and high critical field superconductivity in ReC via Mo and W substitution [J]. Superconductor Science and Technology, 2025, 38(3): 035027.
    [31]
    ZENG L Y, WANG Z Q, SONG J, et al. Discovery of the high-entropy carbide ceramic topological superconductor candidate (Ti0.2Zr0.2Nb0.2Hf0.2Ta0.2)C [J]. Advanced Functional Materials, 2023, 33(40): 2301929. doi: 10.1002/adfm.202301929
    [32]
    ZENG L Y, HU X W, ZHOU Y Z, et al. Superconductivity in the high-entropy ceramics Ti0.2Zr0.2Nb0.2Mo0.2Ta0.2Cx with possible nontrivial band topology [J]. Advanced Science, 2024, 11(5): 2305054. doi: 10.1002/advs.202305054
    [33]
    HAO C M, LI X, OGANOV A R, et al. Superconductivity in compounds of sodium-intercalated graphite [J]. Physical Review B, 2023, 108(21): 214507. doi: 10.1103/PhysRevB.108.214507
    [34]
    MISHRA S B, MARCIAL E T, DEBATA S, et al. Stability-superconductivity map for compressed Na-intercalated graphite [J]. Physical Review B, 2024, 110(17): 174508. doi: 10.1103/PhysRevB.110.174508
    [35]
    HAO C M, DING S C, XU B, et al. Predicting a metallic carbon allotrope: pop-graphite via Na-C compounds [J]. Applied Physics Letters, 2025, 126(12): 121903. doi: 10.1063/5.0254662
    [36]
    DING S C, ZHU L, ZHANG X H, et al. Superconductivity in diamond-like BC15 [J]. Inorganic Chemistry, 2024, 63(40): 18781–18787. doi: 10.1021/acs.inorgchem.4c02791
    [37]
    ENYASHIN A N, IVANOVSKII A L. Graphene allotropes [J]. Physica Status Solidi B, 2011, 248(8): 1879–1883. doi: 10.1002/pssb.201046583
    [38]
    LIU Y, WANG G, HUANG Q S, et al. Structural and electronic properties of T-graphene: a two-dimensional carbon allotrope with tetrarings [J]. Physical Review Letters, 2012, 108(22): 225505. doi: 10.1103/PhysRevLett.108.225505
    [39]
    HANNAY N B, GEBALLE T H, MATTHIAS B T, et al. Superconductivity in graphitic compounds [J]. Physical Review Letters, 1965, 14(7): 225–226. doi: 10.1103/PhysRevLett.14.225
    [40]
    EMERY N, HÉROLD C, D’ASTUTO M, et al. Superconductivity of bulk CaC6 [J]. Physical Review Letters, 2005, 95(8): 087003. doi: 10.1103/PhysRevLett.95.087003
    [41]
    WELLER T E, ELLERBY M, SAXENA S S, et al. Superconductivity in the intercalated graphite compounds C6Yb and C6Ca [J]. Nature Physics, 2005, 1(1): 39–41. doi: 10.1038/nphys0010
    [42]
    CHEN W J. Superconductivity at 28 K in CaB3C3 predicted from first-principles [J]. Journal of Applied Physics, 2013, 114(17): 173906. doi: 10.1063/1.4829458
    [43]
    PROFETA G, CALANDRA M, MAURI F. Phonon-mediated superconductivity in graphene by lithium deposition [J]. Nature Physics, 2012, 8(2): 131–134. doi: 10.1038/nphys2181
    [44]
    PEŠIĆ J, GAJIĆ R, HINGERL K, et al. Strain-enhanced superconductivity in Li-doped graphene [J]. Europhysics Letters, 2014, 108(6): 67005. doi: 10.1209/0295-5075/108/67005
    [45]
    DAMASCELLI A, HUSSAIN Z, SHEN Z X. Angle-resolved photoemission studies of the cuprate superconductors [J]. Reviews of Modern Physics, 2003, 75(2): 473–541. doi: 10.1103/RevModPhys.75.47
    [46]
    GU Q Y, XING D Y, SUN J. Superconducting single-layer T-graphene and novel synthesis routes [J]. Chinese Physics Letters, 2019, 36(9): 097401. doi: 10.1088/0256-307X/36/9/097401
    [47]
    KANG Y T, LU C, YANG F, et al. Single-orbital realization of high-temperature superconductivity in the square-octagon lattice [J]. Physical Review B, 2019, 99(18): 184506. doi: 10.1103/PhysRevB.99.184506
    [48]
    QIAO S X, SUI C H, YANG L, et al. The effect of doping and strain on superconductivity of T-graphene [J]. Physical Chemistry Chemical Physics, 2022, 24(42): 25767–25772. doi: 10.1039/D2CP03155H
    [49]
    IWASA Y, TAKENOBU T. Superconductivity, Mott-Hubbard states, and molecular orbital order inintercalated fullerides [J]. Journal of Physics: Condensed Matter, 2003, 15(13): R495–R519. doi: 10.1088/0953-8984/15/13/202
    [50]
    PALSTRA T T M, ZHOU O, IWASA Y, et al. Superconductivity at 40 K in cesium doped C60 [J]. Solid State Communications, 1995, 93(4): 327–330. doi: 10.1016/0038-1098(94)00787-X
    [51]
    GUNNARSSON O. Superconductivity in fullerides [J]. Reviews of Modern Physics, 1997, 69(2): 575–606. doi: 10.1103/RevModPhys.69.575
    [52]
    SPAGNOLATTI I, BERNASCONI M, BENEDEK G. Electron-phonon interaction in carbon clathrate hex-C40 [J]. The European Physical Journal B: Condensed Matter and Complex Systems, 2003, 34(1): 63–67. doi: 10.1140/epjb/e2003-00197-0
    [53]
    BERNASCONI M, GAITO S, BENEDEK G. Clathrates as effective p-type and n-type tetrahedral carbon semiconductors [J]. Physical Review B, 2000, 61(19): 12689–12692. doi: 10.1103/PhysRevB.61.12689
    [54]
    ZIPOLI F, BERNASCONI M, BENEDEK G. Electron-phonon coupling in halogen-doped carbon clathrates from first principles [J]. Physical Review B, 2006, 74(20): 205408. doi: 10.1103/PhysRevB.74.205408
    [55]
    LU S Y, LIU H Y, NAUMOV I I, et al. Superconductivity in dense carbon-based materials [J]. Physical Review B, 2016, 93(10): 104509. doi: 10.1103/PhysRevB.93.104509
    [56]
    ALLRED A L, ROCHOW E G. A scale of electronegativity based on electrostatic force [J]. Journal of Inorganic and Nuclear Chemistry, 1958, 5(4): 264–268. doi: 10.1016/0022-1902(58)80003-2
    [57]
    ZHANG M, LIU H Y, LI Q, et al. Superhard BC3 in cubic diamond structure [J]. Physical Review Letters, 2015, 114(1): 015502. doi: 10.1103/PhysRevLett.114.015502
    [58]
    SOLOZHENKO V L, KURAKEVYCH O O, ANDRAULT D, et al. Ultimate metastable solubility of boron in diamond: synthesis of superhard diamondlike BC5 [J]. Physical Review Letters, 2009, 102(1): 015506. doi: 10.1103/PhysRevLett.102.015506
    [59]
    SUN D, DING J H, HUANG S S, et al. Interactions between helium, hydrogen and intrinsic point defects in TaC crystal [J]. Journal of Alloys and Compounds, 2018, 741: 900–907. doi: 10.1016/j.jallcom.2018.01.228
    [60]
    BALANI K, GONZALEZ G, AGARWAL A, et al. Synthesis, microstructural characterization, and mechanical property evaluation of vacuum plasma sprayed tantalum carbide [J]. Journal of the American Ceramic Society, 2006, 89(4): 1419–1425. doi: 10.1111/j.1551-2916.2005.00899.x
    [61]
    KRAJEWSKI A, D’ALESSIO L, DE MARIA G. Physiso-chemical and thermophysical properties of cubic binary carbides [J]. Crystal Research & Technology, 1998, 33(3): 341–374. doi: 10.1002/(SICI)1521-4079(1998)33:3<341::AID-CRAT341>3.0.CO;2-I
    [62]
    TEGHIL R, D’ALESSIO L, ZACCAGNINO M, et al. TiC and TaC deposition by pulsed laser ablation: a comparative approach [J]. Applied Surface Science, 2001, 173(3/4): 233–241. doi: 10.1016/S0169-4332(00)00900-4
    [63]
    DU J Y, LI X F, PENG F. Pressure-induced evolution of structures and promising superconductivity of ScB6 [J]. Physical Chemistry Chemical Physics, 2022, 24(17): 10079–10084. doi: 10.1039/D2CP00711H
    [64]
    KAFLE G P, TOMASSETTI C R, MAZIN I I, et al. Ab initio study of Li-Mg-B superconductors [J]. Physical Review Materials, 2022, 6(8): 084801. doi: 10.1103/PhysRevMaterials.6.084801
    [65]
    SEVIK C, BEKAERT J, PETROV M, et al. High-temperature multigap superconductivity in two-dimensional metal borides [J]. Physical Review Materials, 2022, 6(2): 024803. doi: 10.1103/PhysRevMaterials.6.024803
    [66]
    PEI C Y, ZHANG J F, WANG Q, et al. Pressure-induced superconductivity at 32 K in MoB2 [J]. National Science Review, 2023, 10(5): nwad034. doi: 10.1093/nsr/nwad034
    [67]
    ZENG S M, ZHAO Y C, ZULFIQAR M, et al. Prediction of superconductivity in sandwich XB4 (X=Li, Be, Zn and Ga) films [J]. Physical Chemistry Chemical Physics, 2023, 25(41): 28393–28401. doi: 10.1039/d3cp03427e
    [68]
    ZHOU C, YU H Y, ZHANG Z H, et al. First-principles study of the superconductivity of MoB2 under low pressure and its evolution under high pressure [J]. Physical Review B, 2024, 109(6): 064502. doi: 10.1103/PhysRevB.109.064502
    [69]
    CHEN C H, LAN Y S, HUANG A, et al. Two-gap topological superconductor LaB2 with high Tc=30 K [J]. Nanoscale Horizons, 2024, 9(1): 148–155. doi: 10.1039/D3NH00249G
    [70]
    TAO X R, YANG A Q, QUAN Y D, et al. Discovery of superconductivity in technetium borides at moderate pressures [J]. Physical Chemistry Chemical Physics, 2024, 26(24): 16963–16971. doi: 10.1039/D4CP00191E
    [71]
    CUI Z, YANG Q P, QU X, et al. A superconducting boron allotrope featuring anticlinal pentapyramids [J]. Journal of Materials Chemistry C, 2022, 10(2): 672–679. doi: 10.1039/D1TC03908C
    [72]
    HAN S, YU L C, LIU Y X, et al. Clathrate-like alkali and alkaline-earth metal borides: a new family of superconductors with superior hardness [J]. Advanced Functional Materials, 2023, 33(14): 2213377. doi: 10.1002/adfm.202213377
    [73]
    XIE H, WANG H, QIN F, et al. A fresh class of superconducting and hard pentaborides [J]. Matter and Radiation at Extremes, 2023, 8(5): 058404. doi: 10.1063/5.0157250
    [74]
    ZHANG P Y, TIAN Y F, YANG Y L, et al. Stable Rb-B compounds under high pressure [J]. Physical Review Research, 2023, 5(1): 013130. doi: 10.1103/PhysRevResearch.5.013130
    [75]
    MA Y B, DONG J, CHEN H Q, et al. Ambient-pressure hardness and superconductivity in sp2 and sp3 bonded Ce-B compounds [J]. Physical Review B, 2024, 110(13): 134515. doi: 10.1103/PhysRevB.110.134515
    [76]
    WANG R H, SUN Y, ZHANG F, et al. High-throughput screening of strong electron-phonon couplings in ternary metal diborides [J]. Inorganic Chemistry, 2022, 61(45): 18154–18161. doi: 10.1021/acs.inorgchem.2c02829
    [77]
    PEI C Y, ZHANG J F, GONG C S, et al. Distinct superconducting behaviors of pressurized WB2 and ReB2 with different local B layers[J]. Science China Physics, Mechanics & Astronomy, 2022, 65(8): 287412.
    [78]
    HIRE A C, SINHA S, LIM J, et al. High critical field superconductivity at ambient pressure in MoB2 stabilized in the P6/mmm structure via Nb substitution [J]. Physical Review B, 2022, 106(17): 174515. doi: 10.1103/PhysRevB.106.174515
    [79]
    HAN Y F, SHANG Y, WAN W H, et al. Superconductivity in two-dimensional MB4 (M=V, Nb, and Ta) [J]. New Journal of Physics, 2023, 25(10): 103019. doi: 10.1088/1367-2630/acffef
    [80]
    MA L, WANG L R, YUAN Y F, et al. High-temperature superconductivity in doped boron clathrates [J]. Chinese Physics Letters, 2023, 40(8): 086201. doi: 10.1088/0256-307X/40/8/086201
    [81]
    LIM J, HIRE A C, QUAN Y, et al. Creating superconductivity in WB2 through pressure-induced metastable planar defects [J]. Nature Communications, 2022, 13(1): 7901. doi: 10.1038/s41467-022-35191-8
    [82]
    LORTZ R, WANG Y, TUTSCH U, et al. Superconductivity mediated by a soft phonon mode: specific heat, resistivity, thermal expansion, and magnetization of YB6 [J]. Physical Review B, 2006, 73(2): 024512. doi: 10.1103/PhysRevB.73.024512
    [83]
    FISK Z, SCHMIDT P H, LONGINOTTI L D. Growth of YB6 single crystals [J]. Materials Research Bulletin, 1976, 11(8): 1019–1022. doi: 10.1016/0025-5408(76)90179-3
    [84]
    PALLECCHI I, BROTTO P, FERDEGHINI C, et al. Investigation of Li-doped MgB2 [J]. Superconductor Science and Technology, 2009, 22(9): 095014. doi: 10.1088/0953-2048/22/9/095014
    [85]
    FENG Y, ZHAO Y, PRADHAN A K, et al. Enhanced flux pinning in Zr-doped MgB2 bulk superconductors prepared at ambient pressure [J]. Journal of Applied Physics, 2002, 92(5): 2614–2619. doi: 10.1063/1.1496128
    [86]
    TOULEMONDE P, MUSOLINO N, FLÜKIGER R. High-pressure synthesis of pure and doped superconducting MgB2 compounds [J]. Superconductor Science and Technology, 2003, 16(2): 231–236. doi: 10.1088/0953-2048/16/2/318
    [87]
    AGRESTINI S, METALLO C, FILIPPI M, et al. Substitution of Sc for Mg in MgB2: effects on transition temperature and Kohn anomaly [J]. Physical Review B, 2004, 70(13): 134514. doi: 10.1103/PhysRevB.70.134514
    [88]
    SHEN Z X, DESSAU D S. Electronic structure and photoemission studies of late transition-metal oxides: Mott insulators and high-temperature superconductors [J]. Physics Reports, 1995, 253(1/2/3): 1–162. doi: 10.1016/0370-1573(95)80001-A
    [89]
    WENG X J, ZHU Y, XU Y, et al. Synthesis of metalloborophene nanoribbons on Cu (110) [J]. Advanced Functional Materials, 2024, 34(21): 2314576. doi: 10.1002/adfm.202314576
    [90]
    AKOPOV G, YEUNG M T, KANER R B. Rediscovering the crystal chemistry of borides [J]. Advanced Materials, 2017, 29(21): 1604506. doi: 10.1002/adma.201604506
    [91]
    LA PLACA S, BINDER I, POST B. Binary dodecaborides [J]. Journal of Inorganic and Nuclear Chemistry, 1961, 18: 113–117. doi: 10.1016/0022-1902(61)80377-1
    [92]
    KATO K, KAWADA I, OSHIMA C, et al. Lanthanum tetraboride [J]. Structural Science, 1974, 30(12): 2933–2934.
    [93]
    SCHLESINGER M E, LIAO P K, SPEAR K E. The B-La (boron-lanthanum) system [J]. Journal of Phase Equilibria, 1999, 20(1): 73–78. doi: 10.1361/105497199770335974
    [94]
    MA L, YANG X, LIU G T, et al. Design and synthesis of clathrate LaB8 with superconductivity [J]. Physical Review B, 2021, 104(17): 174112. doi: 10.1103/PhysRevB.104.174112
    [95]
    TOMASSETTI C R, GOCHITASHVILI D, RENSKERS C, et al. First-principles design of ambient-pressure MgxB2C2 and NaxBC superconductors [J]. Physical Review Materials, 2024, 8(11): 114801. doi: 10.1103/PhysRevMaterials.8.114801
    [96]
    WU S S, YANG C L, LI X H, et al. Superconductivity of the two-dimensional MB2C2 (M=3d, 4d) monolayers [J]. Materials Today Communications, 2025, 42: 111207. doi: 10.1016/j.mtcomm.2024.111207
    [97]
    TOMASSETTI C R, KAFLE G P, MARCIAL E T, et al. Prospect of high-temperature superconductivity in layered metal borocarbides [J]. Journal of Materials Chemistry C, 2024, 12(13): 4870–4884. doi: 10.1039/D4TC00210E
    [98]
    ZHANG C, TANG H, PAN C, et al. Machine learning guided discovery of superconducting calcium borocarbides [J]. Physical Review B, 2023, 108(2): 024512. doi: 10.1103/PhysRevB.108.024512
    [99]
    HAYAMI W, ROCQUEFELTE X, HALET J F. Possible superconductivity for layered metal boride carbide compounds MB2C2 (M=Alkali, Alkaline-earth, or rare-earth metals) [J]. Inorganic Chemistry, 2024, 63(44): 20975–20983. doi: 10.1021/acs.inorgchem.4c02221
    [100]
    SINGH S, ROMERO A H, MELLA J D, et al. High-temperature phonon-mediated superconductivity in monolayer Mg2B4C2 [J]. NPJ Quantum Materials, 2022, 7(1): 37. doi: 10.1038/s41535-022-00446-6
    [101]
    ZHANG P Y, LI X, YANG X, et al. Path to high-Tc superconductivity via Rb substitution of guest metal atoms in the SrB3C3 clathrate [J]. Physical Review B, 2022, 105(9): 094503. doi: 10.1103/PhysRevB.105.094503
    [102]
    GAI T T, GUO P J, YANG H C, et al. Van Hove singularity induced phonon-mediated superconductivity above 77 K in hole-doped SrB3C3 [J]. Physical Review B, 2022, 105(22): 224514. doi: 10.1103/PhysRevB.105.224514
    [103]
    DI CATALDO S, QULAGHASI S, BACHELET G B, et al. High-Tc superconductivity in doped boron-carbon clathrates [J]. Physical Review B, 2022, 105(6): 064516. doi: 10.1103/PhysRevB.105.064516
    [104]
    GENG N S, HILLEKE K P, ZHU L, et al. Conventional high-temperature superconductivity in metallic, covalently bonded, binary-guest C-B clathrates [J]. Journal of the American Chemical Society, 2023, 145(3): 1696–1706. doi: 10.1021/jacs.2c10089
    [105]
    DUAN Q Z, ZHAN L H, SHEN J Y, et al. Predicting superconductivity near 70 K in 1166-type boron-carbon clathrates at ambient pressure [J]. Physical Review B, 2024, 109(5): 054505. doi: 10.1103/PhysRevB.109.054505
    [106]
    CUI Z, ZHANG X H, SUN Y H, et al. Prediction of novel boron-carbon based clathrates [J]. Physical Chemistry Chemical Physics, 2022, 24(27): 16884–16890. doi: 10.1039/D2CP01783K
    [107]
    LI J D, YUE J C, GUO S Q, et al. High-temperature superconductivity of boron-carbon clathrates at ambient pressure [J]. Physical Review B, 2024, 109(14): 144509. doi: 10.1103/PhysRevB.109.144509
    [108]
    LI B, CHENG Y L, ZHU C, et al. Superconductivity near 70 K in boron-carbon clathrates MB2C8 (M=Na, K, Rb, Cs) at ambient pressure [J]. Physical Review B, 2024, 109(18): 184517. doi: 10.1103/PhysRevB.109.184517
    [109]
    ZHANG D D, BHULLAR M, CUI X Y, et al. Emergent superconductivity in clathrate Sr(B,C)9 at low pressures [J]. Computational Materials Science, 2025, 246: 113419. doi: 10.1016/j.commatsci.2024.113419
    [110]
    ZHENG F, SUN Y, WANG R H, et al. Superconductivity in the Li-B-C system at 100 GPa [J]. Physical Review B, 2023, 107(1): 014508. doi: 10.1103/PhysRevB.107.014508
    [111]
    ZHENG F, SUN Y, WANG R H, et al. Prediction of superconductivity in metallic boron-carbon compounds from 0 to 100 GPa by high-throughput screening [J]. Physical Chemistry Chemical Physics, 2023, 25(47): 32594–32601. doi: 10.1039/D3CP03844K
    [112]
    CHEN P, WU Z P, SUN Y, et al. High-temperature superconductivity of ternary Ca4BC23–x clathrates at moderate pressure [J]. Physical Review B, 2024, 110(21): 214106. doi: 10.1103/PhysRevB.110.214106
    [113]
    SUN Y, ZHU L. Hydride units filled boron-carbon clathrate: a pathway for high-temperature superconductivity at ambient pressure [J]. Communications Physics, 2024, 7(1): 324. doi: 10.1038/s42005-024-01814-3
    [114]
    LIU J Y, LIU A L, CHENG X R, et al. A class of alkali metal boron-carbon clathrates with superconductivity and superhard properties [J]. Journal of Alloys and Compounds, 2025, 1018: 179094. doi: 10.1016/j.jallcom.2025.179094
    [115]
    WÖRLE M, NESPER R, MAIR G, et al. LiBC: ein vollständig interkalierter heterographit [J]. Zeitschrift für Anorganische und Allgemeine Chemie, 1995, 621(7): 1153–1159. doi: 10.1002/zaac.19956210707
    [116]
    KARIMOV P F, SKORIKOV N A, KURMAEV E Z, et al. Resonant inelastic soft X-ray scattering and electronic structure of LiBC [J]. Journal of Physics: Condensed Matter, 2004, 16(28): 5137–5142. doi: 10.1088/0953-8984/16/28/031
    [117]
    MODAK P, VERMA A K, MISHRA A K. Prediction of superconductivity at 70 K in a pristine monolayer of LiBC [J]. Physical Review B, 2021, 104(5): 054504. doi: 10.1103/PhysRevB.104.054504
    [118]
    GAO M, YAN X W, LU Z Y, et al. Strong-coupling superconductivity in LiB2C2 trilayer films [J]. Physical Review B, 2020, 101(9): 094501. doi: 10.1103/PhysRevB.101.094501
    [119]
    WANG J N, YAN X W, GAO M. High-temperature superconductivity in SrB3C3 and BaB3C3 predicted from first-principles anisotropic Migdal-Eliashberg theory [J]. Physical Review B, 2021, 103(14): 144515. doi: 10.1103/PhysRevB.103.144515
  • 加载中

Catalog

    通讯作者: 陈斌, bchen63@163.com
    • 1. 

      沈阳化工大学材料科学与工程学院 沈阳 110142

    1. 本站搜索
    2. 百度学术搜索
    3. 万方数据库搜索
    4. CNKI搜索

    Figures(11)

    Article Metrics

    Article views(762) PDF downloads(143) Cited by()
    Proportional views
    Related
    

    /

    DownLoad:  Full-Size Img  PowerPoint
    Return
    Return