Volume 39 Issue 9
Sep 2025
Turn off MathJax
Article Contents
ZONG Qiao, YI Changcheng, LI Zihao, LI Shiqiang. Dynamic Response of Shear Thickening Gel-Filled Honeycomb Sandwich Panels under Blast Loading: Experimental Research[J]. Chinese Journal of High Pressure Physics, 2025, 39(9): 094101. doi: 10.11858/gywlxb.20251069
Citation: ZONG Qiao, YI Changcheng, LI Zihao, LI Shiqiang. Dynamic Response of Shear Thickening Gel-Filled Honeycomb Sandwich Panels under Blast Loading: Experimental Research[J]. Chinese Journal of High Pressure Physics, 2025, 39(9): 094101. doi: 10.11858/gywlxb.20251069

Dynamic Response of Shear Thickening Gel-Filled Honeycomb Sandwich Panels under Blast Loading: Experimental Research

doi: 10.11858/gywlxb.20251069
  • Received Date: 07 Apr 2025
  • Rev Recd Date: 12 May 2025
  • Available Online: 12 May 2025
  • Issue Publish Date: 05 Sep 2025
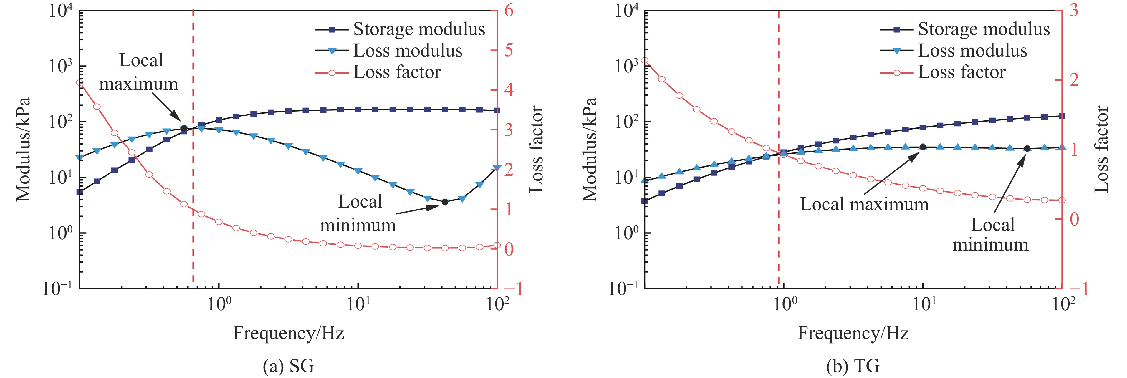
  • A sandwich panel with superior blast resistance was designed and fabricated by filling aluminum honeycomb cores with two shear thickening gels (STGs) of different compositions, SG and TG. A series of blast experiments were conducted to investigate its dynamic response. The digital image correlation (DIC) technique was used to record and analyze the experimental process, exploring the coupling mechanism between the STG filling and the honeycomb core and its effect on the dynamic behavior of the structure. In addition, by analyzing the deformation modes, strain histories, and failure patterns of the front and back face sheets as well as the core layer, the effects of honeycomb cell size and STG type on the blast resistance of the sandwich panel were determined. Experimental results showed that the unfilled honeycomb sandwich panel suffered severe damage to both face sheets, indicating poor protective performance. The STG filling significantly enhanced the blast resistance, and the TG-filled panel achieved better protection than the SG-filled panel due to its stronger shear thickening effect. When the honeycomb cell size was 4 mm, the front face sheet of the SG-filled panel fractured, whereas the TG-filled panel exhibited more uniform plastic indentation, and the back face sheet deflection was reduced by 61.0%. When the honeycomb cell size was 8 mm, the TG-filled panel achieved reductions of 5.6% (front panel) and 17.7% (back panel) in deflection compared to the SG-filled panel. The experimental results indicate that optimizing the type of STG and honeycomb structural parameters can effectively modulate the blast resistance of the sandwich panel.

     

  • loading
  • [1]
    GUO H Y, YUAN H, ZHANG J X, et al. Review of sandwich structures under impact loadings: experimental, numerical and theoretical analysis [J]. Thin-Walled Structures, 2024, 196: 111541. doi: 10.1016/j.tws.2023.111541
    [2]
    YANG X F, SUN Y X, YANG J L, et al. Out-of-plane crashworthiness analysis of bio-inspired aluminum honeycomb patterned with horseshoe mesostructure [J]. Thin-Walled Structures, 2018, 125: 1–11. doi: 10.1016/j.tws.2018.01.014
    [3]
    LIU S T, ZHANG Y C, LIU P. New analytical model for heat transfer efficiency of metallic honeycomb structures [J]. International Journal of Heat and Mass Transfer, 2008, 51(25/26): 6254–6258. doi: 10.1016/j.ijheatmasstransfer.2007.07.055
    [4]
    HONG S T, PAN J, TYAN T, et al. Quasi-static crush behavior of aluminum honeycomb specimens under non-proportional compression-dominant combined loads [J]. International Journal of Plasticity, 2006, 22(6): 1062–1088. doi: 10.1016/j.ijplas.2005.07.003
    [5]
    周文华, 周百能. 夹芯泡沫材料性能及其在风电叶片上的应用 [J]. 天津科技, 2023, 50(1): 75–78. doi: 10.3969/j.issn.1006-8945.2023.01.020

    ZHOU W H, ZHOU B N. Applied research of sandwich foam in wind turbine blades [J]. Tianjin Science & Technology, 2023, 50(1): 75–78. doi: 10.3969/j.issn.1006-8945.2023.01.020
    [6]
    RADFORD D D, DESHPANDE V S, FLECK N A. The use of metal foam projectiles to simulate shock loading on a structure [J]. International Journal of Impact Engineering, 2005, 31(9): 1152–1171. doi: 10.1016/j.ijimpeng.2004.07.012
    [7]
    YUAN H, WU X W, ZHANG J X. Cutting failure behavior of foam core sandwich plates [J]. International Journal of Solids and Structures, 2024, 303: 113009. doi: 10.1016/j.ijsolstr.2024.113009
    [8]
    WU X W, GUO H Y, ZHANG J X. Bi-surface induction in biomimetic multi-gradient foam-filled tubes with enhanced energy absorption: theory, experiment, and simulation [J]. Journal of Applied Mechanics, 2025, 92(5): 051010. doi: 10.1115/1.4068061
    [9]
    PAZ J, DÍAZ J, ROMERA L, et al. Size and shape optimization of aluminum tubes with GFRP honeycomb reinforcements for crashworthy aircraft structures [J]. Composite Structures, 2015, 133: 499–507. doi: 10.1016/j.compstruct.2015.07.077
    [10]
    LURIE S, VOLKOV-BOGORODSKIY D, SOLYAEV Y, et al. Impact behavior of a stiffened shell structure with optimized GFRP corrugated sandwich panel skins [J]. Composite Structures, 2020, 248: 112479. doi: 10.1016/j.compstruct.2020.112479
    [11]
    ANSARI M M, CHAKRABARTI A. Ballistic performance of unidirectional glass fiber laminated composite plate under normal and oblique impact [J]. Procedia Engineering, 2017, 173: 161–168. doi: 10.1016/j.proeng.2016.12.053
    [12]
    潘腾, 卞晓兵, 袁名正, 等. 爆炸冲击波作用下聚氨酯-半球夹芯结构的动态响应 [J]. 兵工学报, 2023, 44(12): 3580–3589. doi: 10.12382/bgxb.2023.0645

    PAN T, BIAN X B, YUAN M Z, et al. Dynamic response of polyurethane-hemisphere sandwich structure under action of explosive shock wave [J]. Acta Armamentarii, 2023, 44(12): 3580–3589. doi: 10.12382/bgxb.2023.0645
    [13]
    ZHOU N, WANG J X, JIANG D K, et al. Study on the failure mode of a sandwich composite structure under the combined actions of explosion shock wave and fragments [J]. Materials & Design, 2020, 196: 109166. doi: 10.1016/j.matdes.2020.109166
    [14]
    FU K K, WANG H J, CHANG L, et al. Low-velocity impact behaviour of a shear thickening fluid (STF) and STF-filled sandwich composite panels [J]. Composites Science and Technology, 2018, 165: 74–83. doi: 10.1016/j.compscitech.2018.06.013
    [15]
    CAGLAYAN C, OSKEN I, ATAALP A, et al. Impact response of shear thickening fluid filled polyurethane foam core sandwich composites [J]. Composite Structures, 2021, 243: 112171. doi: 10.1016/j.compstruct.2020.112171
    [16]
    WARREN J, COLE M, OFFENBERGER S, et al. Hypervelocity impacts on honeycomb core sandwich panels filled with shear thickening fluid [J]. International Journal of Impact Engineering, 2020, 150: 103803. doi: 10.1016/j.ijimpeng.2020.103803
    [17]
    LING J, LI J Q, LI F, et al. Low-velocity impact response of sandwich composite panels with shear thickening gel filled honeycomb cores [J]. Composites Communications, 2022, 32: 101136. doi: 10.1016/j.coco.2022.101136
    [18]
    WANG Y P, GONG X L, XUAN S H. Study of low-velocity impact response of sandwich panels with shear-thickening gel cores [J]. Smart Materials and Structures, 2018, 27(6): 065008. doi: 10.1088/1361-665X/aab7dc
    [19]
    HE Q Y, CAO S S, WANG Y P, et al. Impact resistance of shear thickening fluid/kevlar composite treated with shear-stiffening gel [J]. Composites Part A: Applied Science and Manufacturing, 2018, 106: 82–90. doi: 10.1016/j.compositesa.2017.12.019
    [20]
    AKRAM S, JAFFERY S H I, KHAN M, et al. Numerical and experimental investigation of Johnson-Cook material models for aluminum (Al 6061-T6) alloy using orthogonal machining approach [J]. Advances in Mechanical Engineering, 2018, 10(9): 1–14. doi: 10.1177/1687814018797794
    [21]
    American Society for Testing and Materials. Standard specification for chromium and chromium-nickel stainless steel plate, sheet, and strip for pressure vessels and for general applications: ASTM A240/A240M-20a [S]. West Conshohocken: ASTM International, 2004: 12.
    [22]
    LIU B, DU C B, DENG H X, et al. Study on the shear thickening mechanism of multifunctional shear thickening gel and its energy dissipation under impact load [J]. Polymer, 2022, 247: 124800. doi: 10.1016/j.polymer.2022.124800
    [23]
    WU L W, ZHAO F, LU Z Q, et al. Impact energy absorption composites with shear stiffening gel-filled negative Poisson’s ratio skeleton by Kirigami method [J]. Composite Structures, 2022, 298: 116009. doi: 10.1016/j.compstruct.2022.116009
    [24]
    WANG S, JIANG W Q, JIANG W F, et al. Multifunctional polymer composite with excellent shear stiffening performance and magnetorheological effect [J]. Journal of Materials Chemistry C, 2014, 2(34): 7133–7140. doi: 10.1039/C4TC00903G
    [25]
    LI S Q, LI X, WANG Z H, et al. Finite element analysis of sandwich panels with stepwise graded aluminum honeycomb cores under blast loading [J]. Composites Part A: Applied Science and Manufacturing, 2016, 80: 1–12. doi: 10.1016/j.compositesa.2015.09.025
    [26]
    LI X, ZHANG P W, WANG Z H, et al. Dynamic behavior of aluminum honeycomb sandwich panels under air blast: experiment and numerical analysis [J]. Composite Structures, 2014, 108: 1001–1008. doi: 10.1016/j.compstruct.2013.10.034
    [27]
    LI S Q, LI X, WANG Z H, et al. Sandwich panels with layered graded aluminum honeycomb cores under blast loading [J]. Composite Structures, 2017, 173: 242–254. doi: 10.1016/j.compstruct.2017.04.037
  • 加载中

Catalog

    通讯作者: 陈斌, bchen63@163.com
    • 1. 

      沈阳化工大学材料科学与工程学院 沈阳 110142

    1. 本站搜索
    2. 百度学术搜索
    3. 万方数据库搜索
    4. CNKI搜索

    Figures(13)  / Tables(6)

    Article Metrics

    Article views(621) PDF downloads(62) Cited by()
    Proportional views
    Related
    

    /

    DownLoad:  Full-Size Img  PowerPoint
    Return
    Return