Volume 39 Issue 9
Sep 2025
Turn off MathJax
Article Contents
GAO Linyu, DU Shiyu, CHANG Hui, ZHANG Tuanwei, WANG Zhihua. The Rate-Temperature Dependent Compressive Mechanical Behavior and Deformation Mechanism of CrCoNiSi0.3 Medium Entropy Alloy[J]. Chinese Journal of High Pressure Physics, 2025, 39(9): 090101. doi: 10.11858/gywlxb.20251047
Citation: GAO Linyu, DU Shiyu, CHANG Hui, ZHANG Tuanwei, WANG Zhihua. The Rate-Temperature Dependent Compressive Mechanical Behavior and Deformation Mechanism of CrCoNiSi0.3 Medium Entropy Alloy[J]. Chinese Journal of High Pressure Physics, 2025, 39(9): 090101. doi: 10.11858/gywlxb.20251047

The Rate-Temperature Dependent Compressive Mechanical Behavior and Deformation Mechanism of CrCoNiSi0.3 Medium Entropy Alloy

doi: 10.11858/gywlxb.20251047
  • Received Date: 11 Mar 2025
  • Rev Recd Date: 27 Mar 2025
  • Available Online: 07 Apr 2025
  • Issue Publish Date: 05 Sep 2025
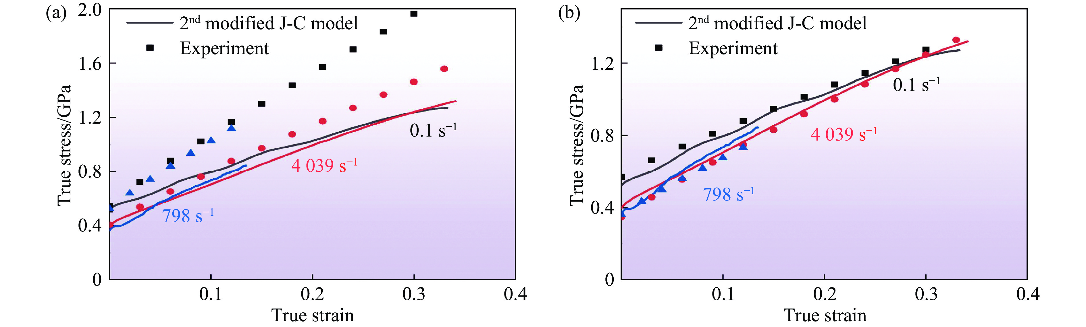
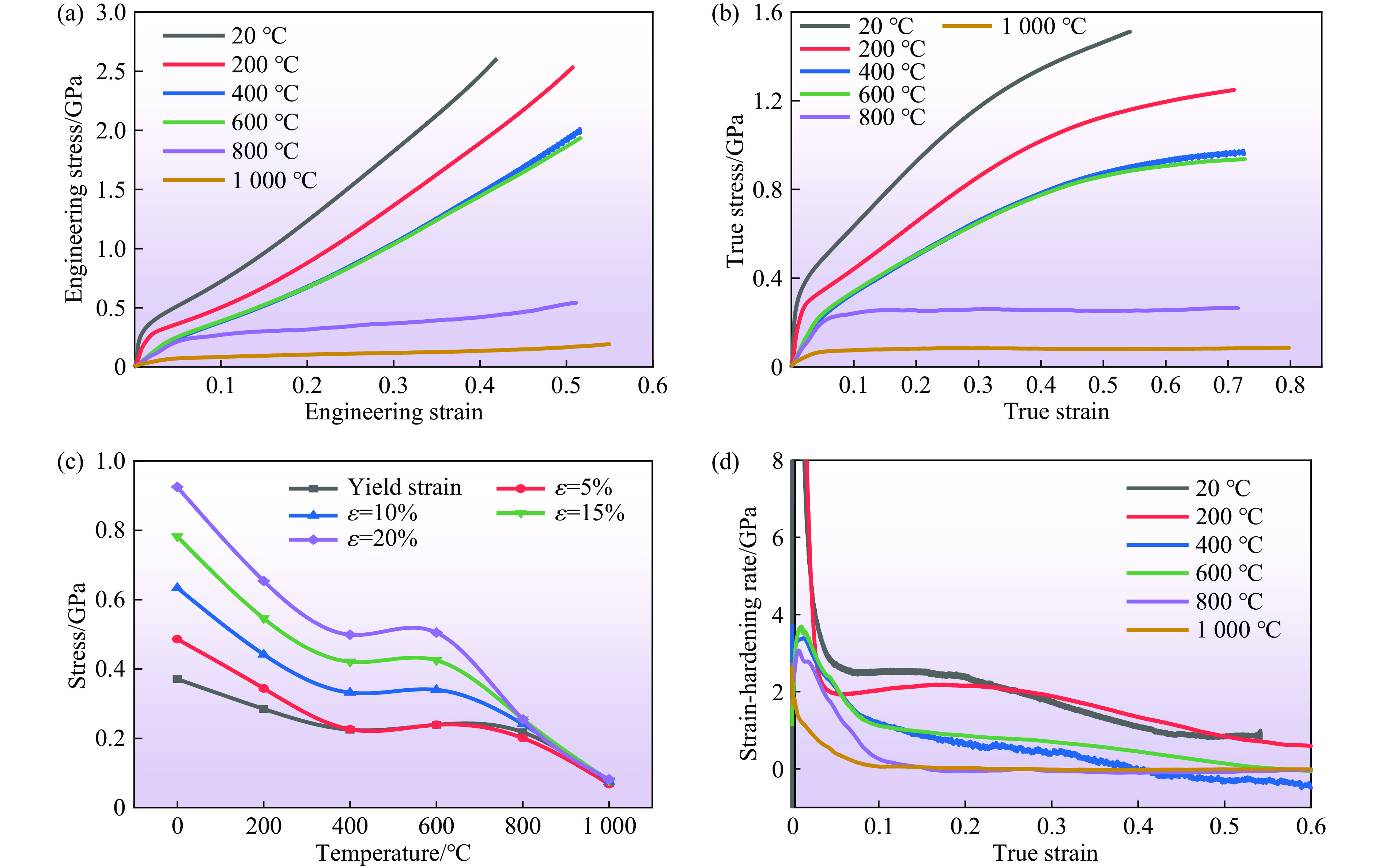
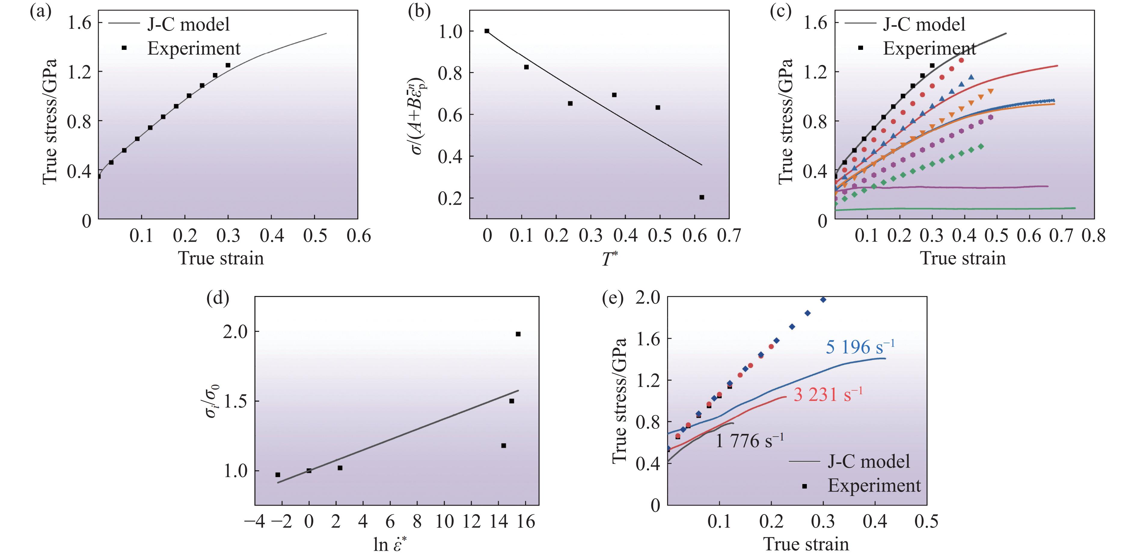
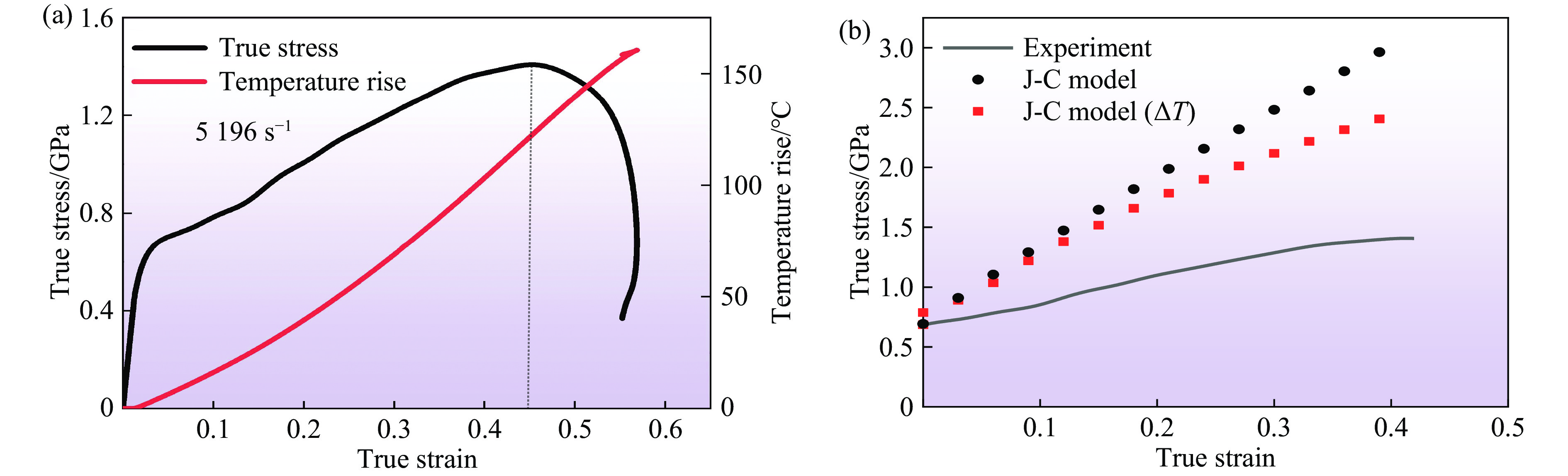
  • The CrCoNiSi0.3 medium entropy alloy exhibits excellent synergistic mechanical behavior of strength and toughness under quasi-static loading. However, the influences of temperature and strain rate on the mechanical behavior of the alloy urgently need to be studied. Through the split Hopkinson pressure bar (SHPB), dynamic compression experiments at room temperature (20 ℃) with strain rates ranging from 1776 s−1 to 5196 s−1 and quasi-static compression experiments at high temperatures (from 20 ℃ to 1000 ℃) were carried out on the CrCoNiSi0.3 medium entropy alloy. The strain rate and temperature-dependent mechanical behavior and deformation mechanism of the CrCoNiSi0.3 medium entropy alloy were systematically investigated. The results show that under dynamic loading, the yield strength of the CrCoNiSi0.3 medium entropy alloy increases with the increase of the strain rate, exhibiting a high strain rate sensitivity. This is attributed to the comprehensive mechanism of stacking faults, deformation twins, and the phase transformation from face-centered cubic to hexagonal close packed, which increase as the strain rate increases. The average work hardening rate increases slightly at first with the increase of the strain rate. When the strain rate reaches about 5196 s−1, the average work hardening rate decreases due to the formation of shear bands. As the temperature rises, the compressive yield stress and work hardening ability of the alloy gradually decrease. However, there is still no work softening phenomenon at a temperature of 1000 ℃. Due to the high density of stacking faults and dislocation locks in the alloy at 600 ℃, it shows almost the same yield strength and flow stress as at 400 ℃. Aiming at the mechanical behavior that the strain hardening shows a decrease with the increase of the strain rate, a strain hardening function was introduced into the model, and a modified Johnson-Cook constitutive model was established, which can predict the mechanical behavior of the CrCoNiSi0.3 medium entropy alloy quite well.

     

  • loading
  • [1]
    CAI P C, LIU J H, LUAN J, et al. Local chemical fluctuation-tailored hierarchical heterostructure overcomes strength-ductility trade-off in high entropy alloys [J]. Journal of Materials Science & Technology, 2025, 214: 74–86. doi: 10.1016/j.jmst.2024.06.033
    [2]
    SALIFU S, OLUBAMBI PA. Microstructural and nanoindentation study of spark plasma sintered high entropy alloy reinforced aluminium matrix composites [J]. Journal of Alloys and Compounds, 2024, 999: 175021. doi: 10.1016/j.jallcom.2024.175021
    [3]
    EZATPOUR H R, JALALABADI M, HUO Y, et al. Microstructure, mechanical and tribological properties of Mg/CoCrFeNiMoTi high entropy alloy composites produced via FSP [J]. Engineering Failure Analysis, 2024, 161: 108281. doi: 10.1016/j.engfailanal.2024.108281
    [4]
    MA Y, YUAN F P, YANG M X, et al. Dynamic shear deformation of a CrCoNi medium-entropy alloy with heterogeneous grain structures [J]. Acta Materialia, 2018, 148: 407–418. doi: 10.1016/j.actamat.2018.02.016
    [5]
    CHANG H, ZHANG T W, MA S G, et al. Novel Si-added CrCoNi medium entropy alloys achieving the break through of strength-ductility trade-off [J]. Materials & Design, 2021, 197: 109202. doi: 10.1016/j.matdes.2020.109202
    [6]
    WU X L, YANG M X, JIANG P, et al. Deformation nanotwins suppress shear banding during impact test of CrCoNi medium-entropy alloy [J]. Scripta Materialia, 2020, 178: 452–456. doi: 10.1016/j.scriptamat.2019.12.017
    [7]
    樊谦璐. Al、Ti对CoCrNi多主元合金微观组织及力学性能的影响[D]. 武汉: 华中科技大学, 2017.

    FAN Q L. Effects of Al and Ti on microstructures and mechanical properties of CoCrNi multi-principal-element alloy [D]. Wuhan: Huazhong University of Science and Technology, 2017.
    [8]
    赵佳琪. CoCrNix (x=0.5~1)和CoCrNiTix (x=0.1~1)中熵合金的计算与模拟[D]. 太原: 太原理工大学, 2020.

    ZHAO J Q. Calculation and simulation of CoCrNix (x=0.5–1) and CoCrNiTix (x=0.1–1) medium entropy alloys [D]. Taiyuan: Taiyuan University of Technology, 2020.
    [9]
    ZHANG L K, AMAR A, ZHANG M Y, et al. Enhanced strength-ductility synergy in a brittle CoCrNi2 (V3B2Si)0.2 eutectic high-entropy alloy by spheroidized M3B2 and recrystallized FCC [J]. Science China Materials, 2023, 66(11): 4197–4206. doi: 10.1007/s40843-023-2520-1
    [10]
    GE S F, LIN S F, FU H M, et al. High-temperature mechanical properties and dynamic recrystallization mechanism of in situ silicide-reinforced MoNbTaTiVSi refractory high-entropy alloy composite [J]. Acta Metallurgica Sinica, 2022, 35(10): 1617–1630. doi: 10.1007/s40195-022-01394-7
    [11]
    张驰, 石国梁, 张奎, 等. 添加Si和Zn对VW75镁合金显微组织、力学性能和弹性模量的影响 [J]. 稀有金属, 2024, 48(6): 796–807. doi: 10.13373/j.cnki.cjrm.XY21090006

    ZHANG C, SHI G L, ZHANG K, et al. Microstructure, mechanical properties and elastic modulus of VW75 magnesium alloy with Si and Zn addition [J]. Chinese Journal of Rare Metals, 2024, 48(6): 796–807. doi: 10.13373/j.cnki.cjrm.XY21090006
    [12]
    PARK J M, MOON J, BAE J W, et al. Strain rate effects of dynamic compressive deformation on mechanical properties and microstructure of CoCrFeMnNi high-entropy alloy [J]. Materials Science and Engineering: A, 2018, 719: 155–163. doi: 10.1016/j.msea.2018.02.031
    [13]
    严犇. CoCrFeNiAl0.1RE高熵合金热变形行为研究[D]. 镇江: 江苏科技大学, 2019.

    YAN B. Hot deformation behaviors of CoCrFeNiAl0.1RE high-entropy alloy [D]. Zhenjiang: Jiangsu University of Science and Technology, 2019.
    [14]
    王璐, 马胜国, 赵聃, 等. AlCoCrFeNi高熵合金在冲击载荷下的动态力学性能 [J]. 热加工工艺, 2018, 47(24): 86–89. doi: 10.14158/j.cnki.1001-3814.2018.24.021

    WANG L, MA S G, ZHAO D, et al. Dynamic mechanical properties of AlCoCrFeNi high-entropy alloys under impact load [J]. Hot Working Technology, 2018, 47(24): 86–89. doi: 10.14158/j.cnki.1001-3814.2018.24.021
    [15]
    王平. CrCoNiSi0.3中熵合金动态剪切行为研究 [D]. 太原: 太原理工大学, 2022.

    WANG P. Dynamic shear behavior of CrCoNiSi0.3 medium entropy alloy [D]. Taiyuan: Taiyuan University of Technology, 2022.
    [16]
    BERGHAU S D. Numerical methods for experimental mechanics [M]. New York: Springer, 2001.
    [17]
    LI Z, ZHAO S, DIAO H, et al. High-velocity deformation of Al0.3CoCrFeNi high-entropy alloy: remarkable resistance to shear failure [J]. Science Letter, 2017, 7(1): 42742. doi: 10.1038/srep42742
    [18]
    杜时雨. L12相强化中熵合金率温相关的力学行为及绝热剪切局域化研究[D]. 太原: 太原理工大学, 2024.

    DU S Y. Research on the rate-temperature dependent mechanical behavior and adiabatic shear localization of L12 phase-strengthened medium-entropy alloys [D]. Taiyuan: Taiyuan University of Technology, 2024.
    [19]
    LI X L, ZHAO E L, LIU Z T, et al. Experimental study on multiple propagation characteristics of stress wave and surface displacement behavior in coal based on SHPB and DIC [J]. Bulletin of Engineering Geology and the Environment, 2023, 82(7): 246. doi: 10.1007/S10064-023-03272-7
    [20]
    ZHENG Z J, WANG C F, YU J L, et al. Dynamic stress-strain states for metal foams using a 3D cellular model [J]. Journal of the Mechanics and Physics of Solids, 2014, 72: 93–114. doi: 10.1016/j.jmps.2014.07.013
    [21]
    QIAO L, ZHU J C. Constitutive modeling of hot deformation behavior of AlCrFeNi multi-component alloy [J]. Vacuum, 2022, 201: 111059. doi: 10.1016/J.VACUUM.2022.111059
    [22]
    ANNASAMY M, HAGHDADI N, TAYLOR A, et al. Dynamic recrystallization behaviour of AlxCoCrFeNi high entropy alloys during high-temperature plane strain compression [J]. Materials Science and Engineering: A, 2019, 745: 90–106. doi: 10.1016/j.msea.2018.12.102
    [23]
    YU Z X, XIE B J, ZHU Z W, et al. High-temperature deformation behavior and processing maps of a novel AlNbTi3VZr1.5 refractory high entropy alloy [J]. Journal of Alloys and Compounds, 2022, 912: 165220. doi: 10.1016/j.jallcom.2022.165220
    [24]
    MUHAMMAD A, SHEN J H, SHI W D, et al. Critical temperature-dependent shear band formation in CoCrNi alloy under high-temperature dynamic compression [J]. Journal of Alloys and Compounds, 2024, 1000: 175028. doi: 10.1016/j.jallcom.2024.175028
    [25]
    王建军, 袁康博, 张晓琼, 等. 第三型应变时效的提出与研究进展 [J]. 爆炸与冲击, 2021, 41(5): 051101. doi: 10.11883/bzycj-2020-0422

    WANG J J, YUAN K B, ZHANG X Q, et al. Proposition and research progress of the third-type strain aging [J]. Explosion and Shock Waves, 2021, 41(5): 051101. doi: 10.11883/bzycj-2020-0422
    [26]
    MEYERS M A, LI Z Z, ZHAO S T, et al. Shear localization of fcc high-entropy alloys [J]. EPJ Web of Conferences, 2018, 183: 03028. doi: 10.1051/epjconf/201818303028
    [27]
    WANG Z Q, BEYERLEIN I J, LESAR R. Dislocation motion in high strain-rate deformation [J]. Philosophical Magazine, 2007, 87(16): 2263–2279. doi: 10.1080/14786430601153422
    [28]
    DONG J L, ZHANG X P, WANG G J, et al. Mechanical responses and crystal plasticity model of CoCrNi medium-entropy alloy under ramp wave compression [J]. Matter and Radiation at Extremes, 2024, 9(5): 057802. doi: 10.1063/5.0206773
    [29]
    ZHANG J L, ZHANG Y Q, LI H M, et al. Determination of critical dynamic recrystallization conditions and mechanism analysis of Ti600 high-temperature titanium alloy [J]. Journal of Materials Engineering and Performance, 2021, 30(1): 229–238. doi: 10.1007/s11665-020-05270-2
    [30]
    马建强, 闫宏伟, 汪洋, 等. Cu-Sn合金的高温热模拟压缩晶界组织分析 [J]. 热加工工艺, 2019, 48(6): 55–57. doi: 10.14158/j.cnki.1001-3814.2019.06.013

    MA J Q, YAN H W, WANG Y, et al. Analysis on grain boundary microstructure of high temperature thermal simulation compression of Cu-Sn alloy [J]. Hot Working Technology, 2019, 48(6): 55–57. doi: 10.14158/j.cnki.1001-3814.2019.06.013
    [31]
    黄西成, 胡文军. Johnson-Cook本构参数的确定方法[C]//第六届全国爆炸力学实验技术学术会议论文集. 长沙: 中国力学学会爆炸力学专业委员会实验技术专业组, 2010: 8.

    HUANG X C, HU W J. Determination method of Johnson-Cook constitutive parameters [C]//Proceedings of the 6th National Academic Conference on Experimental Technology of Explosion Mechanics. Changsha: Experimental Technology Professional Group, Committee on Explosion Mechanics, Chinese Society of Theoretical and Applied Mechanics, 2010: 8.
    [32]
    贾宝华, 刘思勇, 李革, 等. 基于J-C模型的TC18钛合金动态本构方程构建 [J]. 钛工业进展, 2018, 35(5): 24–28. doi: 10.13567/j.cnki.issn1009-9964.2018.05.005

    JIA B H, LIU S Y, LI G, et al. Establishment of dynamic constitutive equation for TC18 titanium alloy based on J-C model [J]. Titanium Industry Progress, 2018, 35(5): 24–28. doi: 10.13567/j.cnki.issn1009-9964.2018.05.005
    [33]
    GAO C, IWAMOTO T. Instrumented Taylor impact test for measuring stress-strain curve through single trial [J]. International Journal of Impact Engineering, 2021, 157: 103980. doi: 10.1016/j.ijimpeng.2021.103980
    [34]
    VOLLHÜTER J, BEZOLD A, KARPSTEIN N, et al. Strain rate-dependent anomalous work hardening of a single-crystalline CoNi-base superalloy [J]. Metallurgical and Materials Transactions A, 2023, 54(5): 1608–1619. doi: 10.1007/s11661-023-06966-5
  • 加载中

Catalog

    通讯作者: 陈斌, bchen63@163.com
    • 1. 

      沈阳化工大学材料科学与工程学院 沈阳 110142

    1. 本站搜索
    2. 百度学术搜索
    3. 万方数据库搜索
    4. CNKI搜索

    Figures(13)

    Article Metrics

    Article views(1350) PDF downloads(109) Cited by()
    Proportional views
    Related
    

    /

    DownLoad:  Full-Size Img  PowerPoint
    Return
    Return