Volume 39 Issue 7
Jul 2025
Turn off MathJax
Article Contents
WU Yilei, CHEN Cheng, LI Peibo, ZHANG Ruizhi, SUN Yi, LUO Guoqiang, SHEN Qiang. Tape Casting Preparation and Quasi-Isentropic Loading Properties of Al-Cu Periodic Laminated Gradient Materials[J]. Chinese Journal of High Pressure Physics, 2025, 39(7): 070101. doi: 10.11858/gywlxb.20251045
Citation: WU Yilei, CHEN Cheng, LI Peibo, ZHANG Ruizhi, SUN Yi, LUO Guoqiang, SHEN Qiang. Tape Casting Preparation and Quasi-Isentropic Loading Properties of Al-Cu Periodic Laminated Gradient Materials[J]. Chinese Journal of High Pressure Physics, 2025, 39(7): 070101. doi: 10.11858/gywlxb.20251045

Tape Casting Preparation and Quasi-Isentropic Loading Properties of Al-Cu Periodic Laminated Gradient Materials

doi: 10.11858/gywlxb.20251045
  • Received Date: 10 Mar 2025
  • Rev Recd Date: 24 Apr 2025
  • Available Online: 28 Apr 2025
  • Issue Publish Date: 07 Jul 2025
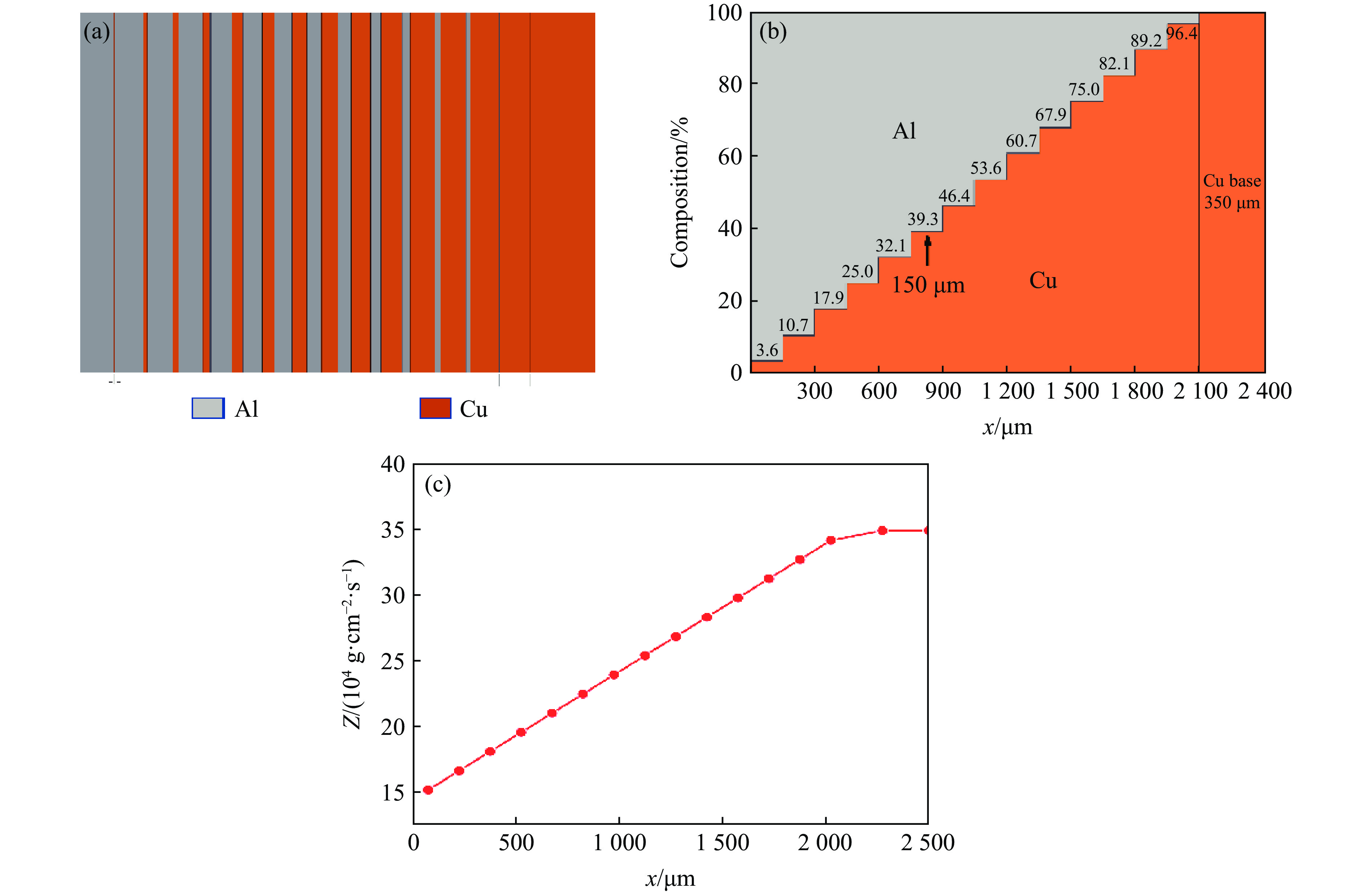
  • Periodic laminated gradient materials with independently controllable wave impedance distributions and minimal physical phase reactions are now being used for quasi-isentropic loading. However, the wave system action time of the currently periodic laminated gradient materials are on the order of nanoseconds due to limitations in preparation technology, which makes it difficult to achieve loading times of significantly larger magnitudes. In this study, the tape casting process was systematically investigated, and large-size Al-Cu periodic laminated gradient materials were successfully prepared using a combined technique of tape casting and low-temperature densification. The quality and quasi-isentropic loading properties were verified through microstructural characterization and dynamic loading experiments. The results show that the gradient structure of the material is well-defined, the interlayer parallelism is high, the layer interface is well bonded, and that no crack defects or intermetallic compounds generated. The material exhibits a densification of 95.8% and a total deformation less than 15 μm. When the Al-Cu periodic laminated gradient material was loaded with a 6 μm-thick Al target at a driving speed of 510.6 m/s, the loading waveform oscillated and increased with a loading time approaching 1 μs. The loading trends of simulation results agree well with the experimental curves through correcting Al/Cu periodic layer thickness and Cu layer wave impedance. The materials demonstrate excellent quasi-isentropic loading characteristics. This study provides theoretical basis, technical support and new preparation techniques for the application of periodic laminated gradient materials.

     

  • loading
  • [1]
    GLEASON A E, BOLME C A, LEE H J, et al. Time-resolved diffraction of shock-released SiO2 and diaplectic glass formation [J]. Nature Communications, 2017, 8(1): 1481. doi: 10.1038/s41467-017-01791-y
    [2]
    MILLOT M, HAMEL S, RYGG J R, et al. Experimental evidence for superionic water ice using shock compression [J]. Nature Physics, 2018, 14(3): 297–302. doi: 10.1038/s41567-017-0017-4
    [3]
    FRATANDUONO D E, MILLOT M, BRAUN D G, et al. Establishing gold and platinum standards to 1 terapascal using shockless compression [J]. Science, 2021, 372(6546): 1063–1068. doi: 10.1126/science.abh0364
    [4]
    单连强, 高宇林, 辛建婷, 等. 激光驱动气库靶对铝的准等熵压缩实验研究 [J]. 物理学报, 2012, 61(13): 135204. doi: 10.7498/aps.61.135204

    SHAN L Q, GAO Y L, XIN J T, et al. Laser-driven reservoir target for quasi-isentropic compression in aluminum [J]. Acta Physica Sinica, 2012, 61(13): 135204. doi: 10.7498/aps.61.135204
    [5]
    刘海庆, 段卓平, 蔡进涛, 等. 准等熵加载下PBXC03炸药起爆响应特性实验研究 [J]. 北京理工大学学报, 2018, 38(8): 792–796. doi: 10.15918/j.tbit1001-0645.2018.08.004

    LIU H Q, DUAN Z P, CAI J T, et al. Experimental research of characteristics of initiation response of PBXC03 under quasi-isentropic loading [J]. Transactions of Beijing Institute of Technology, 2018, 38(8): 792–796. doi: 10.15918/j.tbit1001-0645.2018.08.004
    [6]
    NGUYEN J H, ORLIKOWSKI D, STREITZ F H, et al. Specifically prescribed dynamic thermodynamic paths and resolidification experiments [J]. AIP Conference Proceedings, 2004, 706(1): 1225–1230. doi: 10.1063/1.1780459
    [7]
    JARMAKANI H, MCNANEY J M, KAD B, et al. Dynamic response of single crystalline copper subjected to quasi-isentropic, gas-gun driven loading [J]. Materials Science and Engineering: A, 2007, 463(1/2): 249–262. doi: 10.1016/j.msea.2006.09.118
    [8]
    DARGAUD M, FORQUIN P. A shockless plate-impact spalling technique, based on wavy-machined flyer-plates, to evaluate the strain-rate sensitivity of ceramic tensile strength [J]. Journal of Dynamic Behavior of Materials, 2022, 8(1): 73–88. doi: 10.1007/s40870-021-00317-4
    [9]
    贺芝宇, 周华珍, 黄秀光, 等. 激光加载下铝材料的冲击温度测量 [J]. 强激光与粒子束, 2016, 28(4): 042002. doi: 10.11884/HPLPB201628.122002

    HE Z Y, ZHOU H Z, HUANG X G, et al. Measurements of aluminum’s shock temperature on SG-Ⅱ high-power laser facility [J]. High Power Laser and Particle Beams, 2016, 28(4): 042002. doi: 10.11884/HPLPB201628.122002
    [10]
    DUAN X X, ZHANG C, GUAN Z Y, et al. Transparency measurement of lithium fluoride under laser-driven accelerating shock loading [J]. Journal of Applied Physics, 2020, 128(1): 015902. doi: 10.1063/5.0003869
    [11]
    薛全喜, 江少恩, 王哲斌, 等. 基于神光Ⅲ原型装置开展的激光直接驱动准等熵压缩研究进展 [J]. 物理学报, 2018, 67(4): 045202. doi: 10.7498/aps.67.20172159

    XUE Q X, JIANG S E, WANG Z B, et al. Progress of laser-driven quasi-isentropic compression study performed on SHENGUANG Ⅲ prototype laser facility [J]. Acta Physica Sinica, 2018, 67(4): 045202. doi: 10.7498/aps.67.20172159
    [12]
    HALL C A, ASAY J R, KNUDSON M D, et al. Experimental configuration for isentropic compression of solids using pulsed magnetic loading [J]. Review of Scientific Instruments, 2001, 72(9): 3587–3595. doi: 10.1063/1.1394178
    [13]
    KNUDSON M D, HANSON D L, BAILEY J E, et al. Principal Hugoniot, reverberating wave, and mechanical reshock measurements of liquid deuterium to 400 GPa using plate impact techniques [J]. Physical Review B, 2004, 69(14): 144209. doi: 10.1103/PhysRevB.69.144209
    [14]
    AO T, ASAY J R, CHANTRENNE S, et al. A compact strip-line pulsed power generator for isentropic compression experiments [J]. Review of Scientific Instruments, 2008, 79(1): 013903. doi: 10.1063/1.2827509
    [15]
    BROWN N P, SPECHT P E, BROWN J L. Quasi-isentropic compression of an additively manufactured aluminum alloy to 14.8 GPa [J]. Journal of Applied Physics, 2022, 132(22): 225106. doi: 10.1063/5.0127989
    [16]
    REMINGTON T P, HAHN E N, ZHAO S, et al. Spall strength dependence on grain size and strain rate in tantalum [J]. Acta Materialia, 2018, 158: 313–329. doi: 10.1016/j.actamat.2018.07.048
    [17]
    ZHONG T, LIU X, ZHANG Y Y, et al. Penetration dynamics of a carbonate sand: a synchrotron phase contrast imaging study [J]. International Journal of Impact Engineering, 2021, 152: 103839. doi: 10.1016/j.ijimpeng.2021.103839
    [18]
    YE S J, XU Y F, ZHOU Y, et al. Penetration dynamics of steel spheres into a ballistic gelatin: experiments, nondimensional analysis, and finite element modeling [J]. International Journal of Impact Engineering, 2022, 162: 104144. doi: 10.1016/j.ijimpeng.2021.104144
    [19]
    沈强, 张联盟, 王传彬, 等. 梯度飞片材料的波阻抗分布设计与优化 [J]. 物理学报, 2003, 52(7): 1663–1667. doi: 10.7498/aps.52.1663

    SHEN Q, ZHANG L M, WANG C B, et al. Design and optimization of wave impedance distribution for flyer materials [J]. Acta Physica Sinica, 2003, 52(7): 1663–1667. doi: 10.7498/aps.52.1663
    [20]
    窦金锋. W-Mo-Ti体系波阻抗梯度飞片的设计及相关物性研究 [D]. 武汉: 武汉理工大学, 2002.

    DOU J F. Design of W-Mo-Ti flier-plate with graded wave impedanceand study on its relative physical properties [D]. Wuhan: Wuhan University of Technology, 2002.
    [21]
    HAYASHI T, UGO R, MORIMOTO Y. Experimental observation of stress waves propagating in laminated composites [J]. Experimental Mechanics, 1986, 26(2): 169–174. doi: 10.1007/BF02320011
    [22]
    ANDERSON M U, CHHABILDAS L C, REINHART W D. Simultaneous PVDF/VISAR measurement technique for isentropic loading with graded density impactors [J]. AIP Conference Proceedings, 1998, 429(1): 841–844. doi: 10.1063/1.55681
    [23]
    CHHABILDAS L C, KMETYK L N, REINHART W D, et al. Enhanced hypervelocity launcher-capabilities to 16 km/s [J]. International Journal of Impact Engineering, 1995, 17(1): 183–194. doi: 10.1016/0734-743X(95)99845-I
    [24]
    SUN L, SNELLER A, KWON P. Fabrication of alumina/zirconia functionally gradedmaterial: from optimization of processing parameters to phenomenological constitutive models [J]. Materials Science and Engineering: A, 2008, 488(1/2): 31–38. doi: 10.1016/j.msea.2007.10.044
    [25]
    MARTIN L P, PATTERSON J R, ORLIKOWSKI D, et al. Application of tape-cast graded impedance impactors for light-gas gun experiments [J]. Journal of Applied Physics, 2007, 102(2): 023507. doi: 10.1063/1.2756058
    [26]
    SUN W, LI X J, HOKAMOTO K. Fabrication of graded density impactor via underwater shock wave and quasi-isentropic compression testing at two-stage gas gun facility [J]. Applied Physics A, 2014, 117(4): 1941–1946. doi: 10.1007/s00339-014-8663-1
    [27]
    ZHANG L M, ZHOU X Z, LUO G Q, et al. Microstructure and properties of aluminum-copper composites prepared by hot-pressure sintering [J]. Key Engineering Materials, 2014, 616: 212–216. doi: 10.4028/www.scientific.net/KEM.616.212
    [28]
    YEP S J, BELOF J L, ORLIKOWSKI D A, et al. Fabrication and application of high impedance graded density impactors in light gas gun experiments [J]. Review of Scientific Instruments, 2013, 84(10): 103909. doi: 10.1063/1.4826565
    [29]
    KELLY J P, NGUYEN J H, LIND J, et al. Application of Al-Cu-W-Ta graded density impactors in dynamic ramp compression experiments [J]. Journal of Applied Physics, 2019, 125(14): 145902. doi: 10.1063/1.5055398
    [30]
    BROWN J L, ADAMS D P, ALEXANDER C S, et al. Estimates of Ta strength at ultrahigh pressures and strain rates using thin-film graded-density impactors [J]. Physical Review B, 2019, 99(21): 214105. doi: 10.1103/PhysRevB.99.214105
    [31]
    GAO W L, ZHANG R Z, WANG J, et al. Enhancing laser-driven flyer velocity by optimizing of modulation period of Al/Ti reactive multilayer films [J]. Journal of Vacuum Science & Technology A, 2023, 41(6): 063414. doi: 10.1116/6.0003066
    [32]
    江宇达, 张睿智, 吴楯, 等. Ti-Pt周期调制梯度材料的制备及准等熵加载特性 [J]. 高压物理学报, 2024, 38(6): 064205. doi: 10.11858/gywlxb.20240816

    JIANG Y D, ZHANG R Z, WU D, et al. Preparation and quasi-isentropic loading characteristics of Ti-Pt periodically modulated gradient material [J]. Chinese Journal of High Pressure Physics, 2024, 38(6): 064205. doi: 10.11858/gywlxb.20240816
    [33]
    KE B Y, ZHANG C C, CHENG S L, et al. Tape-casting electrode architecture permits low-temperature manufacturing of all-solid-state thin-film microbatteries [J]. Interdisciplinary Materials, 2024, 3(4): 621–631. doi: 10.1002/idm2.12174
    [34]
    李代颖, 刘济宽, 陈学通. 超细球形铜粉研究进展 [J]. 船电技术, 2013, 33(3): 42–44. doi: 10.3969/j.issn.1003-4862.2013.03.014

    LI D Y, LI J K, CHEN X T. Progress in preparation of ultrafine spherical copper powder [J]. Marine Electric & Electronic Technology, 2013, 33(3): 42–44. doi: 10.3969/j.issn.1003-4862.2013.03.014
    [35]
    SHANG Q S, WANG Z J, LI J, et al. Gel-tape-casting of aluminum nitride ceramics [J]. Journal of Advanced Ceramics, 2017, 6(1): 67–72. doi: 10.1007/s40145-016-0211-3
    [36]
    LUO G Q, LI P B, HU J N, et al. Synergistic effect of Ag and C addition into Al-Cu matrix composites [J]. Journal of Materials Science, 2022, 57(24): 11013–11025. doi: 10.1007/s10853-022-07189-6
    [37]
    HU J N, TAN Y, LI X M, et al. Structure characterization and impact effect of Al-Cu graded materials prepared by tape casting [J]. Materials, 2022, 15(14): 4834. doi: 10.3390/ma15144834
    [38]
    GU J F, FU S, PING H, et al. Idea of macro-scale and micro-scale prestressed ceramics [J]. Interdisciplinary Materials, 2024, 3(6): 897–906. doi: 10.1002/idm2.12224
    [39]
    郭浩天. Cu/Mo叠层复合材料热响应行为数值模拟研究 [D]. 西安: 长安大学, 2018.

    GUO H T. Numerical simulation of thermal response behaviorof Cu/Mo laminated composite materials [D]. Xi’an: Chang’an University, 2018.
    [40]
    HUANG J, ZHANG J, ZHU K, et al. Using graded density impactor to achieve quasi-isentropic loading with stress and strain-rate controlled [J]. Journal of Applied Physics, 2024, 135(8): 085901. doi: 10.1063/5.0189243
  • 加载中

Catalog

    通讯作者: 陈斌, bchen63@163.com
    • 1. 

      沈阳化工大学材料科学与工程学院 沈阳 110142

    1. 本站搜索
    2. 百度学术搜索
    3. 万方数据库搜索
    4. CNKI搜索

    Figures(17)  / Tables(2)

    Article Metrics

    Article views(458) PDF downloads(64) Cited by()
    Proportional views
    Related
    

    /

    DownLoad:  Full-Size Img  PowerPoint
    Return
    Return