Volume 39 Issue 8
Aug 2025
Turn off MathJax
Article Contents
DAI Peng, ZHANG Ning, TIAN Xiaogeng. Mechanical Properties and Energy Absorption in Body-Centered Offset BCC Lattice Structures[J]. Chinese Journal of High Pressure Physics, 2025, 39(8): 084202. doi: 10.11858/gywlxb.20240951
Citation: DAI Peng, ZHANG Ning, TIAN Xiaogeng. Mechanical Properties and Energy Absorption in Body-Centered Offset BCC Lattice Structures[J]. Chinese Journal of High Pressure Physics, 2025, 39(8): 084202. doi: 10.11858/gywlxb.20240951

Mechanical Properties and Energy Absorption in Body-Centered Offset BCC Lattice Structures

doi: 10.11858/gywlxb.20240951
  • Received Date: 02 Dec 2024
  • Rev Recd Date: 17 Feb 2025
  • Issue Publish Date: 05 Aug 2025
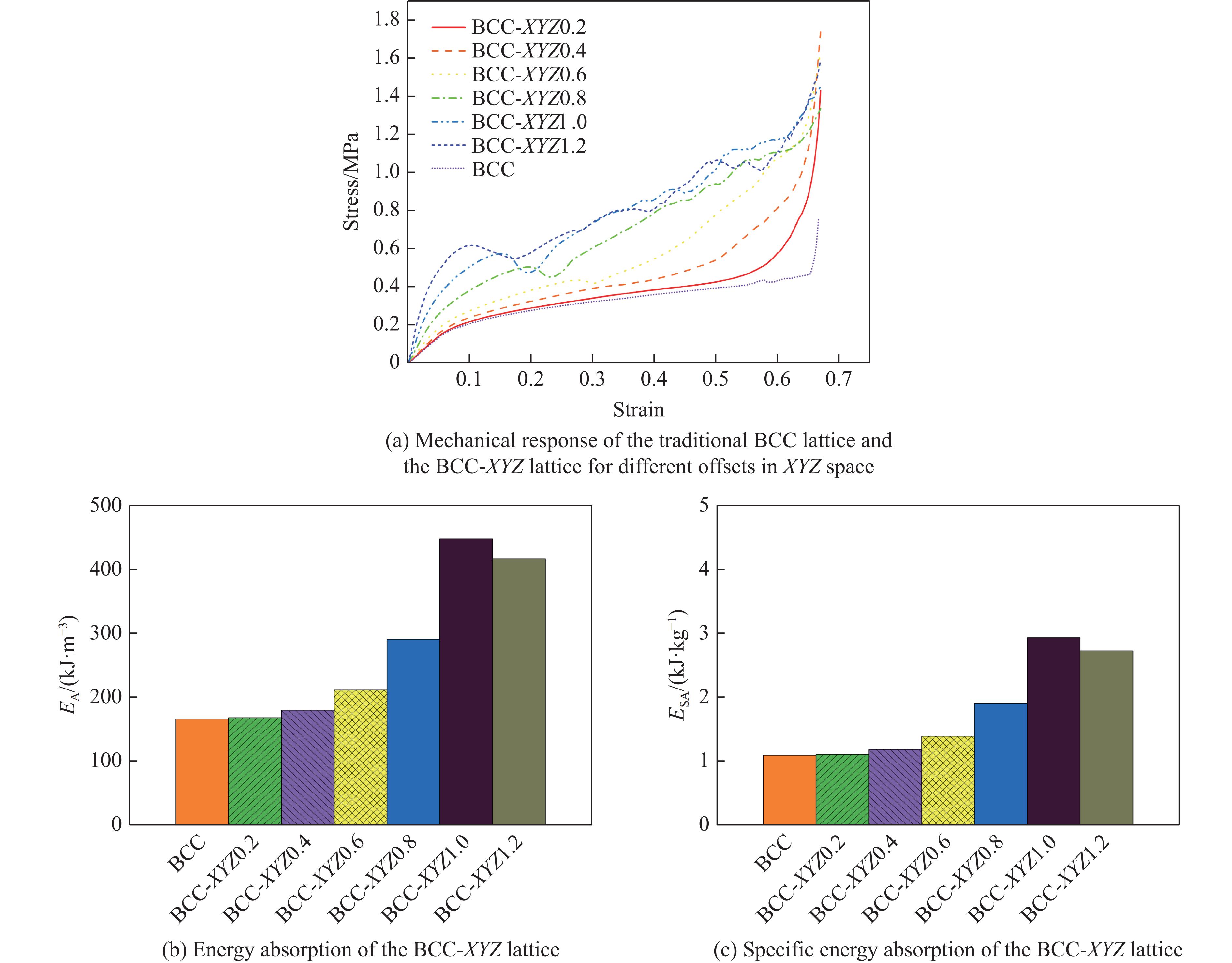
  • Light-weight lattice structures is widely used to impact-resistant energy-absorbing devices due to high strength, stiffness, and energy absorption. The present study derives inspiration from the porosity gradient lattice structure, and mechanical properties and energy absorption of the body-centered cubic (BCC) lattice structures is carried out by adjusting joint stiffness to enhance performance. Specific energy absorption, stiffness and plateau stress of the equidistantly offset BCC lattices are superior to those of uniform BCC lattices and body-centered linearly offset BCC lattices based on the exhibition of numerical simulations. Finite element analysis further examines the effects of body-center offset direction and magnitude on the compressive properties and specific energy absorption of the BCC lattices. The results indicate that body-center shifts in the compression direction exert a more substantial influence on stiffness and strength. As the offset increases, the strain-hardening effect in the BCC lattice structures becomes more pronounced. Compared to the uniform BCC lattice, a BCC structure with a body-center offset of 1 mm along each of the three-dimensional coordinate axes exhibits a 169% increase in specific energy absorption. Additionally, the plateau stress derived from plastic hinge theory for eccentric BCC lattices offers an effective approach for designing high-performance structures.

     

  • loading
  • [1]
    KORONIS G, SILVA A, FONTUL M. Green composites: a review of adequate materials for automotive applications [J]. Composites Part B: Engineering, 2013, 44(1): 120–127. doi: 10.1016/j.compositesb.2012.07.004
    [2]
    YAN C Z, HAO L, HUSSEIN A, et al. Evaluations of cellular lattice structures manufactured using selective laser melting [J]. International Journal of Machine Tools and Manufacture, 2012, 62: 32–38. doi: 10.1016/j.ijmachtools.2012.06.002
    [3]
    ZHANG L C, ATTAR H. Selective laser melting of titanium alloys and titanium matrix composites for biomedical applications: a review [J]. Advanced Engineering Materials, 2016, 18(4): 463–475. doi: 10.1002/adem.201500419
    [4]
    ZHANG J J, LU G X, YOU Z. Large deformation and energy absorption of additively manufactured auxetic materials and structures: a review [J]. Composites Part B: Engineering, 2020, 201: 108340. doi: 10.1016/j.compositesb.2020.108340
    [5]
    ZHANG H, SUN W F. Mechanical behavior and crashworthiness assessment of corrugated inner rib reinforced tubular structures [J]. Thin-Walled Structures, 2023, 189: 110894. doi: 10.1016/J.TWS.2023.110894
    [6]
    EVANS A G, HUTCHINSON J W, FLECK N A, et al. The topological design of multifunctional cellular metals [J]. Progress in Materials Science, 2001, 46(3/4): 309–327. doi: 10.1016/S0079-6425(00)00016-5
    [7]
    ASHBY M F. The properties of foams and lattices [J]. Philosophical Transactions of the Royal Society A: Mathematical, Physical and Engineering Sciences, 2006, 364(1838): 15–30. doi: 10.1098/rsta.2005.1678
    [8]
    ANDREW J J, VERMA P, KUMAR S. Impact behavior of nanoengineered, 3D printed plate-lattices [J]. Materials & Design, 2021, 202: 109516. doi: 10.1016/j.matdes.2021.109516
    [9]
    REN Y, LIU Z F, CAI S Y, et al. Mechanical properties and deformation behaviors of layered-hybrid lattice structure fabricated by selective laser melting [J]. Advanced Engineering Materials, 2024, 26(1): 2301040. doi: 10.1002/ADEM.202301040
    [10]
    SUN Z P, GUO Y B, SHIM V P W. Deformation and energy absorption characteristics of additively-manufactured polymeric lattice structures—effects of cell topology and material anisotropy [J]. Thin-Walled Structures, 2021, 169: 108420. doi: 10.1016/j.tws.2021.108420
    [11]
    LIU C, LERTTHANASARN J, PHAM M S. The origin of the boundary strengthening in polycrystal-inspired architected materials [J]. Nature Communications, 2021, 12(1): 4600. doi: 10.1038/s41467-021-24886-z
    [12]
    YE J J, SUN Z P, DING Y Y, et al. The deformation mechanism, energy absorption behavior and optimal design of vertical-reinforced lattices [J]. Thin-Walled Structures, 2023, 190: 110988. doi: 10.1016/j.tws.2023.110988
    [13]
    WANG P, YANG F, LU G X, et al. Anisotropic compression behaviors of bio-inspired modified body-centered cubic lattices validated by additive manufacturing [J]. Composites Part B: Engineering, 2022, 234: 109724. doi: 10.1016/j.compositesb.2022.109724
    [14]
    王润洲, 张越, 李世强. 组合点阵材料GBCC-BCC变形机制及力学性能分析 [J]. 中国科学: 物理学 力学 天文学, 2023, 53(4): 244611. doi: 10.1360/SSPMA-2022-0314

    WANG R Z, ZHANG Y, LI S Q. Analysis of the deformation mechanism and mechanical properties of graded body-centered cubic nested body-centered cubic lattice material [J]. SCIENTIA SINICA Physica, Mechanica & Astronomica, 2023, 53(4): 244611. doi: 10.1360/SSPMA-2022-0314
    [15]
    MA X D, ZHANG N, ZHANG C L, et al. Mechanical behavior of a novel lattice structure with two-step deformation [J]. Thin-Walled Structures, 2024, 197: 111580. doi: 10.1016/J.TWS.2024.111580
    [16]
    GUO S, MA Y W, LIU P, et al. Mechanical properties of lattice structures with a central cube: experiments and simulations [J]. Materials, 2024, 17(6): 1329. doi: 10.3390/MA17061329
    [17]
    SMITH M, GUAN Z, CANTWELL W J. Finite element modelling of the compressive response of lattice structures manufactured using the selective laser melting technique [J]. International Journal of Mechanical Sciences, 2013, 67: 28–41. doi: 10.1016/j.ijmecsci.2012.12.004
    [18]
    BAYKASOĞLU A, BAYKASOĞLU C, CETIN E. Multi-objective crashworthiness optimization of lattice structure filled thin-walled tubes [J]. Thin-Walled Structures, 2020, 149: 106630. doi: 10.1016/j.tws.2020.106630
    [19]
    ZHANG N, MA X D, CHANG Y J, et al. A lattice structure with adjustable mechanical behavior constructed by rotating triangles translated out of plane and splicing each other [J]. International Journal of Solids and Structures, 2024, 292: 112740. doi: 10.1016/J.IJSOLSTR.2024.112740
    [20]
    BIAN Y J, YANG F, ZHANG S Y, et al. Similarities of the mechanical responses of body-centered cubic lattice structures with different constituent materials under compression [J]. JOM, 2022, 74(4): 1774–1783. doi: 10.1007/s11837-021-04926-1
    [21]
    DENG X L, QIN S G, HUANG J L. Crashworthiness analysis of gradient hierarchical multicellular columns evolved from the spatial folding [J]. Materials & Design, 2022, 215: 110435. doi: 10.1016/j.matdes.2022.110435
    [22]
    ZHANG S Y, YANG F, LI P H, et al. A topologically gradient body centered lattice design with enhanced stiffness and energy absorption properties [J]. Engineering Structures, 2022, 263: 114384. doi: 10.1016/J.ENGSTRUCT.2022.114384
  • 加载中

Catalog

    通讯作者: 陈斌, bchen63@163.com
    • 1. 

      沈阳化工大学材料科学与工程学院 沈阳 110142

    1. 本站搜索
    2. 百度学术搜索
    3. 万方数据库搜索
    4. CNKI搜索

    Figures(21)  / Tables(1)

    Article Metrics

    Article views(365) PDF downloads(40) Cited by()
    Proportional views
    Related
    

    /

    DownLoad:  Full-Size Img  PowerPoint
    Return
    Return