Volume 39 Issue 6
Jun 2025
Turn off MathJax
Article Contents
CHU Jianpeng, FENG Jiancheng, ZHOU Fangyi, JU Xiangyu, BAI Guoxia. Dynamic Mechanical Behaviors of High Strength Steel Based on Taylor Rod[J]. Chinese Journal of High Pressure Physics, 2025, 39(6): 064101. doi: 10.11858/gywlxb.20240935
Citation: CHU Jianpeng, FENG Jiancheng, ZHOU Fangyi, JU Xiangyu, BAI Guoxia. Dynamic Mechanical Behaviors of High Strength Steel Based on Taylor Rod[J]. Chinese Journal of High Pressure Physics, 2025, 39(6): 064101. doi: 10.11858/gywlxb.20240935

Dynamic Mechanical Behaviors of High Strength Steel Based on Taylor Rod

doi: 10.11858/gywlxb.20240935
  • Received Date: 07 Nov 2024
  • Rev Recd Date: 03 Dec 2024
  • Accepted Date: 17 Mar 2025
  • Available Online: 09 May 2025
  • Issue Publish Date: 05 Jun 2025
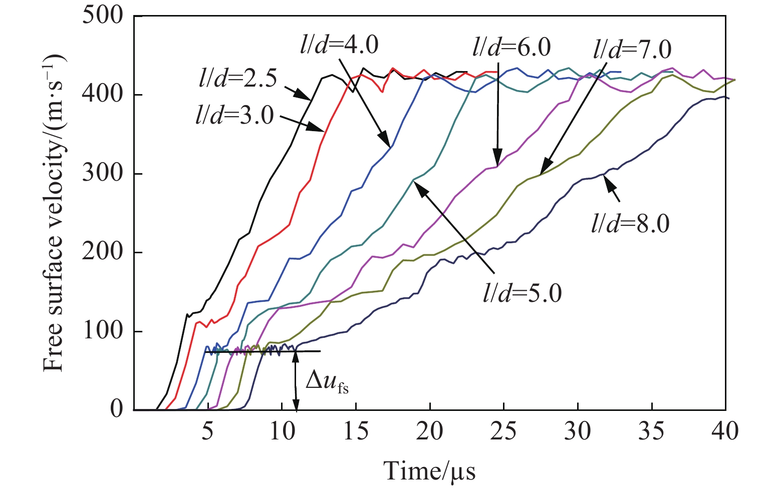
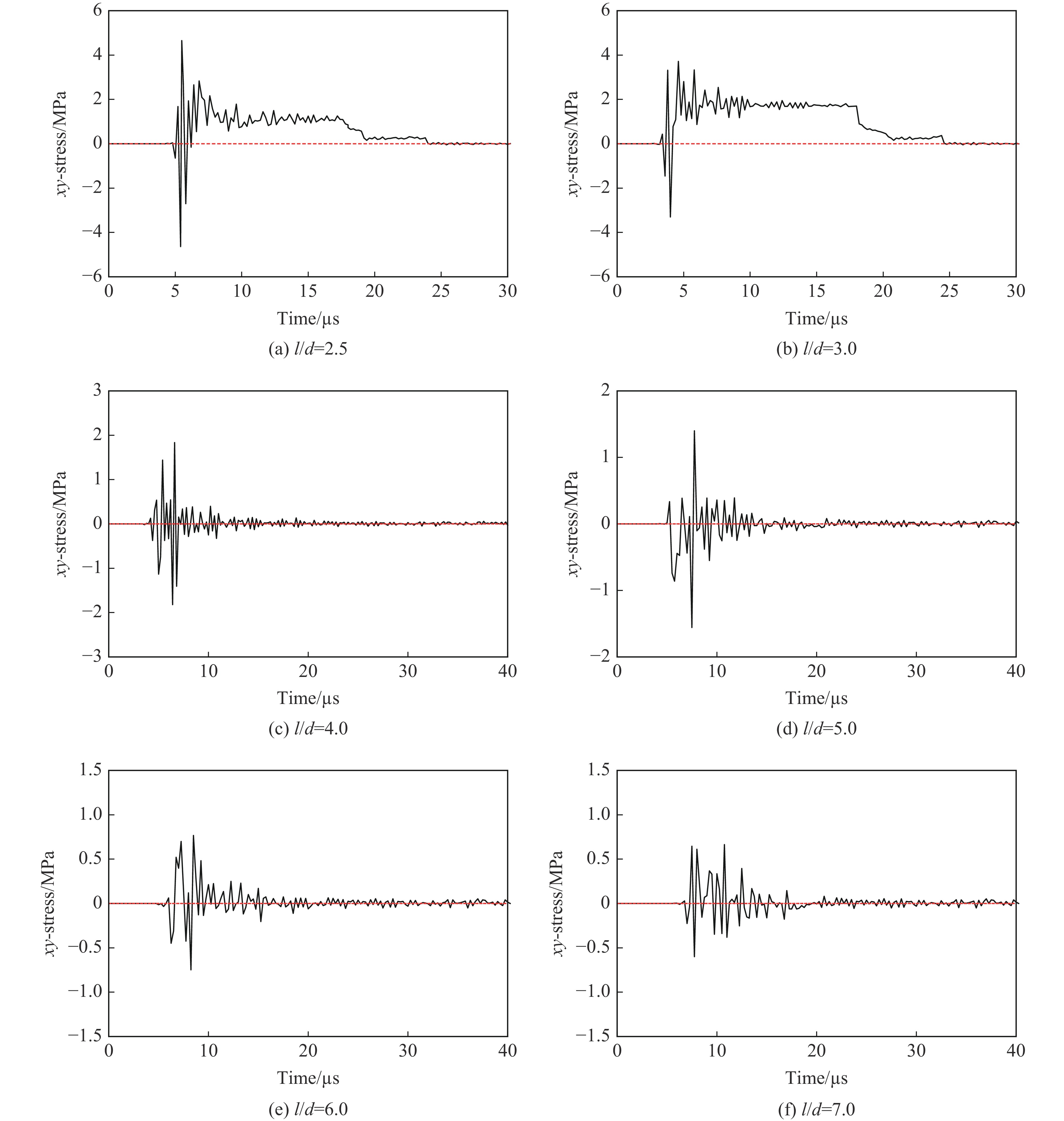
  • The dynamic mechanical properties of 30CrMnSiNi2A steel under high strain rate impact were studied using both Taylor rod impact experiment and numerical simulation. Based on the result of Taylor rod impact experiment, the Johnson-Cook constitutive model and failure model were utilized to simulate the free surface velocity of 30CrMnSiNi2A steel under Taylor rod impact. The numerical simulation results were then compared with the experimental free surface velocity profiles obtained, demonstrating a high degree of congruence. Subsequently, the influence of Taylor rod specimens with varying length-to-diameter ratios (l/d) on the outcome of velocity interferometer system for any reflector (VISAR) test within the reverse Taylor rod impact test was examined. The study identified the optimal l/d range for Taylor rod that are suitable for VISAR testing. Employing the concepts of stress traxiality and damage number, the fracture failure mechanism and deformation mode of the Taylor rod were analyzed. Three distinct deformation modes were identified: rough deformation, mushroom deformation, and petal cracking. The analysis of the Taylor rod’s fracture failure mechanism has elucidated that the failure occurring at the central region of the sample is predominantly a result of compressive forces. Conversely, the cracking observed at the periphery of the sample is primarily attributed to the influence of tensile forces. It was also observed that fractures of the Taylor rod initiate preferentially at the edge.

     

  • loading
  • [1]
    余万千, 郁锐, 崔世堂. 考虑应力三轴度影响的30CrMnSiNi2A钢韧性断裂研究 [J]. 爆炸与冲击, 2021, 41(3): 031404. doi: 10.11883/bzycj-2020-0334

    YU W Q, YU R, CUI S T, et al. On ductile fracture of 30CrMnSiNi2A steel considering effects of stress triaxiality [J]. Explosion and Shock Waves, 2021, 41(3): 031404. doi: 10.11883/bzycj-2020-0334
    [2]
    李磊, 张先锋, 吴雪, 等. 不同硬度30CrMnSiNi2A钢的动态本构与损伤参数 [J]. 高压物理学报, 2017, 31(3): 239–248. doi: 10.11858/gywlxb.2017.03.005

    LI L, ZHANG X F, WU X, et al. Dynamic constitutive and damage parameters of 30CrMnSiNi2A steel with different hardnesses [J]. Chinese Journal of High Pressure Physics, 2017, 31(3): 239–248. doi: 10.11858/gywlxb.2017.03.005
    [3]
    陈刚, 陈忠富, 陶俊林, 等. 45钢动态塑性本构参量与验证 [J]. 爆炸与冲击, 2005, 25(5): 451–456. doi: 10.3321/j.issn:1001-1455.2005.05.010

    CHEN G, CHEN Z F, TAO J L, et al. Investigation and validation on plastic constitutive parameters of 45 steel [J]. Explosion and Shock Waves, 2005, 25(5): 451–456. doi: 10.3321/j.issn:1001-1455.2005.05.010
    [4]
    陈刚, 陈忠富, 徐伟芳, 等. 45钢的J-C损伤失效参量研究 [J]. 爆炸与冲击, 2007, 27(2): 131–135. doi: 10.3321/j.issn:1001-1455.2007.02.007

    CHEN G, CHEN Z F, XU W F, et al. Investigation on the J-C ductile fracture parameters of 45 steel [J]. Explosion and Shock Waves, 2007, 27(2): 131–135. doi: 10.3321/j.issn:1001-1455.2007.02.007
    [5]
    JOHNSON G R, COOK W H. A constitutive model and data for metals subjected to large strains, high strain rates, and high temperatures [C]//Proceedings of the Seventh International Symposium on Ballistics. The Hague, Netherlands, 1983: 541−547.
    [6]
    JOHNSON G R, COOK W H. Fracture characteristics of three metals subjected to various strains, strain rates, temperatures and pressures [J]. Engineering Fracture Mechanics, 1985, 21(1): 31–48. doi: 10.1016/0013-7944(85)90052-9
    [7]
    CHEN X W, CHEN G, ZHANG F J. Deformation and failure modes of soft steel projectiles impacting harder steel targets at increasing velocity [J]. Experimental Mechanics, 2008, 48(3): 335–354. doi: 10.1007/s11340-007-9110-4
    [8]
    黄魏银, 陈刚, 李俊承, 等. 半球头和平头试件的泰勒撞击 [J]. 高压物理学报, 2021, 35(3): 034204. doi: 10.11858/gywlxb.20200643

    HUANG W Y, CHEN G, LI J C, et al. Hemispherical and flat head cylindrical specimen Taylor impact [J]. Chinese Journal of High Pressure Physics, 2021, 35(3): 034204. doi: 10.11858/gywlxb.20200643
    [9]
    沈子楷, 戴湘晖, 王可慧, 等. Taylor撞击塑性变形的尺寸效应研究 [J]. 振动与冲击, 2023, 42(17): 86–95.

    SHEN Z K, DAI X H, WANG K H, et al. Size effect of Taylor impact plastic deformation [J]. Journal of Vibration and Shock, 2023, 42(17): 86–95.
    [10]
    TENG X, WIERZBICKI T, HIERMAIER S, et al. Numerical prediction of fracture in the Taylor test [J]. International Journal of Solids and Structures, 2005, 42(9/10): 2929–2948.
    [11]
    TENG X Q, WIERZBICKI T. Effect of fracture criteria on high velocity perforation of thin beams [J]. International Journal of Computational Methods, 2004, 1(1): 171–200. doi: 10.1142/S0219876204000058
    [12]
    GAUTAM S S, BABU R, DIXIT P M. Ductile fracture simulation in the Taylor rod impact test using continuum damage mechanics [J]. International Journal of Damage Mechanics, 2011, 20(3): 347–369. doi: 10.1177/1056789509357119
    [13]
    VON KARMAN T, DUWEZ P. The propagation of plastic deformation in solids [J]. Journal of Applied Physics, 1950, 21(10): 987–994.
    [14]
    ROHR I, NAHME H, THOMA K. Material characterization and constitutive modelling of ductile high strength steel for a wide range of strain rates [J]. International Journal of Impact Engineering, 2005, 31(4): 401–433.
    [15]
    武海军, 姚伟, 黄风雷, 等. 超高强度钢30CrMnSiNi2A动态力学性能实验研究 [J]. 北京理工大学学报, 2010, 30(3): 258–262.

    WU H J, YAO W, HUANG F L, et al. Experimental study on dynamic mechanical properties of ultrahigh strength 30CrMnSiNi2A steel [J]. Transactions of Beijing Institute of Technology, 2010, 30(3): 258–262.
    [16]
    TAYLOR G I. The use of flat-ended projectiles for determining dynamic yield stress Ⅰ. theoretical considerations [J]. Proceedings of the Royal Society of London, Series A, Mathematical and Physical Sciences, 1948, 194(1038): 289–299.
    [17]
    JOHNSON G R, HOLMQUIST T J. Evaluation of cylinder-impact test data for constitutive model constants [J]. Journal of Applied Physics, 1988, 64(8): 3901–3910.
    [18]
    ALLEN D J, RULE W K, JONES S E. Optimizing material strength constants numerically extracted from Taylor impact data [J]. Experimental Mechanics, 1997, 37(3): 333–338. doi: 10.1007/BF02317427
    [19]
    JONES S E, GILLIS P P, FOSTER JR J C, et al. A one-dimensional, two-phase flow model for Taylor impact specimens [J]. Journal of Engineering Materials and Technology, 1991, 113(2): 228–235.
    [20]
    王习术. 材料力学行为试验与分析 [M]. 北京: 清华大学出版社, 2010.

    WANG X S. Test and analysis on mechanical behavior of materials [M]. Beijing: Tsinghua University Press, 2010.
    [21]
    李庆芬. 断裂力学及其工程应用 [M]. 哈尔滨: 哈尔滨工程大学出版社, 2005: 17−29.

    LI Q F. Fracture mechanics and its engineering applications [M]. Harbin: Harbin Engineering University Press, 2005: 17−29.
    [22]
    郑长卿. 金属韧性破坏的细观力学及其应用研究 [M]. 北京: 国防工业出版社, 1995.

    ZHENG C Q. Study on the micromechanics and application of metal toughness failure [M]. Beijing: National Defense Industry Press, 1995.
    [23]
    马向宇. 基于应力状态的金属材料变形行为研究 [D]. 太原: 太原科技大学, 2013.

    MA X Y. Research on deformation behavior of metal materials based on stress state [D]. Taiyuan: Taiyuan University of Science and Technology, 2013.
  • 加载中

Catalog

    通讯作者: 陈斌, bchen63@163.com
    • 1. 

      沈阳化工大学材料科学与工程学院 沈阳 110142

    1. 本站搜索
    2. 百度学术搜索
    3. 万方数据库搜索
    4. CNKI搜索

    Figures(22)  / Tables(7)

    Article Metrics

    Article views(703) PDF downloads(51) Cited by()
    Proportional views
    Related
    

    /

    DownLoad:  Full-Size Img  PowerPoint
    Return
    Return