Volume 39 Issue 7
Jul 2025
Turn off MathJax
Article Contents
SUN Yin’ao, YANG Shuqi, PENG Wenyang, ZHANG Xu, LI Shurui, PEI Hongbo, FU Hua, YU Xin, GU Yan. The Influence of Pulse Width on the Shock Initiation Process of TATB-Based Insensitive Explosives[J]. Chinese Journal of High Pressure Physics, 2025, 39(7): 071301. doi: 10.11858/gywlxb.20240932
Citation: SUN Yin’ao, YANG Shuqi, PENG Wenyang, ZHANG Xu, LI Shurui, PEI Hongbo, FU Hua, YU Xin, GU Yan. The Influence of Pulse Width on the Shock Initiation Process of TATB-Based Insensitive Explosives[J]. Chinese Journal of High Pressure Physics, 2025, 39(7): 071301. doi: 10.11858/gywlxb.20240932

The Influence of Pulse Width on the Shock Initiation Process of TATB-Based Insensitive Explosives

doi: 10.11858/gywlxb.20240932
  • Received Date: 05 Nov 2024
  • Rev Recd Date: 25 Dec 2024
  • Issue Publish Date: 07 Jul 2025
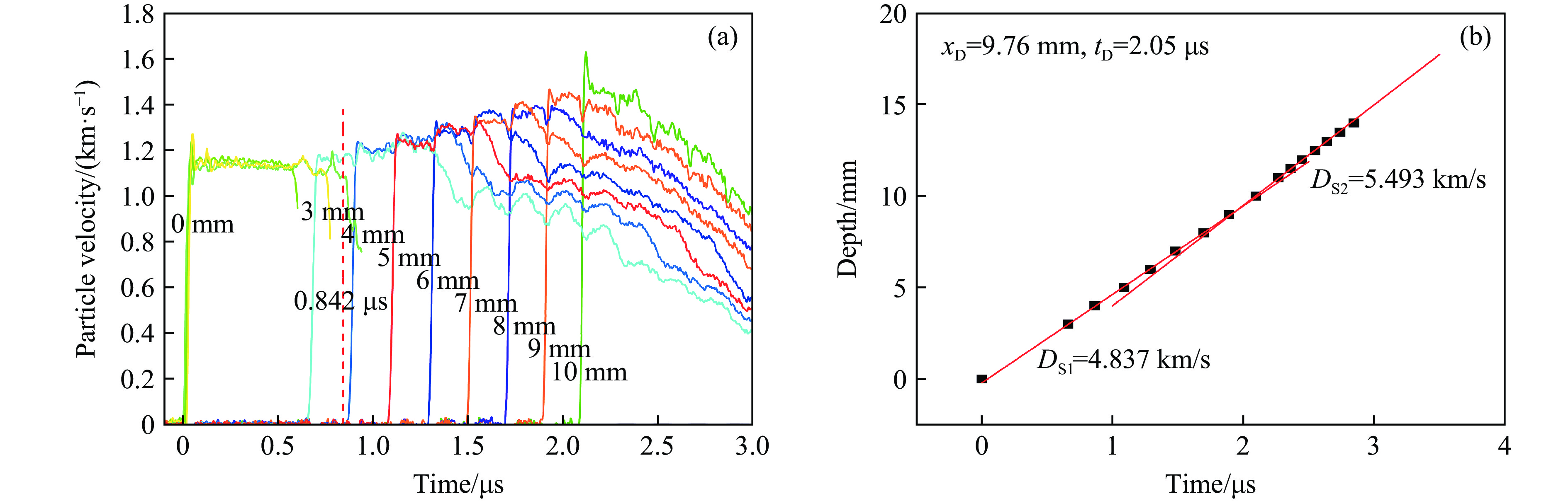
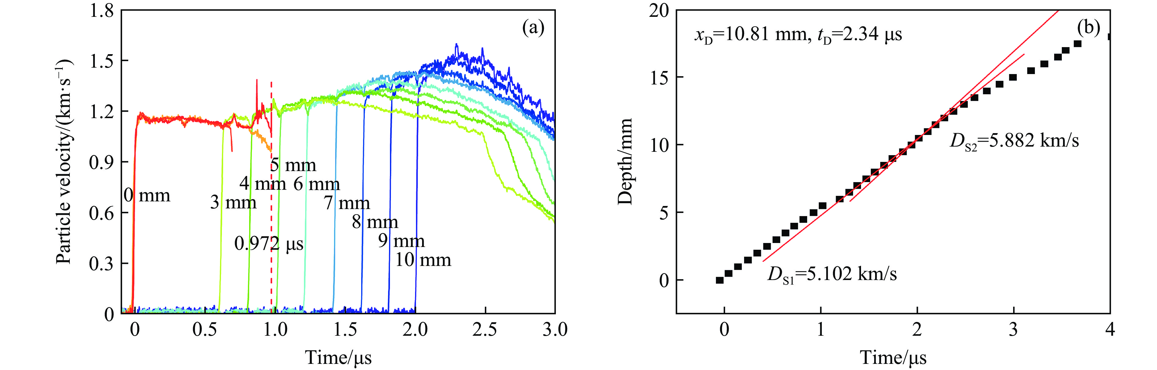
  • The shock wave pulse width is one of the essential factors influencing the shock-to-detonation transition in explosives. This study experimentally investigates the pulse width effect on the shock initiation process of the insensitive explosive 1,3,5-triamino-2,4,6-trinitrobenzene (TATB). Shock initiation experiments were conducted on TATB-2 explosives on the gun platform. The pulse width was controlled by varying the thickness of shock flyers. Experimental data including shock wave velocity and particle velocity after wave were recorded using the electromagnetic particle velocity meter and tracer meter. The relationships between pulse width effect, the distance to detonation, and other parameters of TATB-2 explosives were calculated and analyzed. The results demonstrate that pulse width effect significantly affects the detonation build-up process, providing essential references for understanding the shock initiation characteristics of insensitive explosives.

     

  • loading
  • [1]
    BURNS M J, GUSTAVSEN R L, BARTRAM B D. One-dimensional plate impact experiments on the cyclotetramethylene tetranitramine (HMX) based explosive EDC32 [J]. Journal of Applied Physics, 2012, 112(6): 064910. doi: 10.1063/1.4752865
    [2]
    WANG C, LIU X Q, NING J G. High resolution numerical simulation of shock-to-detonation transition of condensed-phase explosives [J]. Materials Science Forum, 2013, 767: 40–45. doi: 10.4028/WWW.SCIENTIFIC.NET/MSF.767.40
    [3]
    莫建军, 王桂吉, 吴刚, 等. 炸药TATB/粘结剂的短脉冲冲击起爆阈值测量 [J]. 实验力学, 2010, 25(1): 41–46.

    MO J J, WANG G J, WU G, et al. Measurement of the short-duration pulse shock initiation thresholds for TATB explosive/adhesive [J]. Journal of Experimental Mechanics, 2010, 25(1): 41–46.
    [4]
    王桂吉, 赵同虎, 莫建军, 等. 一种以TATB/HMX为基的高聚物粘结炸药的短脉冲冲击起爆特性 [J]. 爆炸与冲击, 2007, 27(3): 230–235. doi: 10.11883/1001-1455(2007)03-0230-06

    WANG G J, ZHAO T H, MO J J, et al. Short-duration pulse shock initiation characteristics of a TATB/HMX-based polymer bonded explosive [J]. Explosion and Shock Waves, 2007, 27(3): 230–235. doi: 10.11883/1001-1455(2007)03-0230-06
    [5]
    杨舒棋, 张旭, 彭文杨, 等. 利用电磁法研究HMX与TATB混合钝感炸药的冲击起爆特性 [J]. 高压物理学报, 2020, 34(3): 033403. doi: 10.11858/gywlxb.20190852

    YANG S Q, ZHANG X, PENG W Y, et al. Impact initiation characteristics of TATB based insensitive explosives mixed with HMX by electromagnetic velocity gauges [J]. Chinese Journal of High Pressure Physics, 2020, 34(3): 033403. doi: 10.11858/gywlxb.20190852
    [6]
    张琪敏, 张旭, 赵康, 等. TATB基钝感炸药JB-9014的冲击起爆反应增长规律 [J]. 爆炸与冲击, 2019, 39(4): 041405. doi: 10.11883/bzycj-2018-0050

    ZHANG Q M, ZHANG X, ZHAO K, et al. Law of reaction growth of shock initiation on the TATB based insensitive explosive JB-9014 [J]. Explosion and Shock Waves, 2019, 39(4): 041405. doi: 10.11883/bzycj-2018-0050
    [7]
    张旭, 池家春, 冯民贤. JB9014钝感炸药冲击绝热线测量 [J]. 高压物理学报, 2001, 15(4): 304–308. doi: 10.11858/gywlxb.2001.04.011

    ZHANG X, CHI J C, FENG M X. Hugoniot relation of JB9014 insensitive high explosive [J]. Chinese Journal of High Pressure Physics, 2001, 15(4): 304–308. doi: 10.11858/gywlxb.2001.04.011
    [8]
    裴红波, 刘俊明, 张旭, 等. 基于反向撞击法的JB-9014炸药Hugoniot关系测量 [J]. 爆炸与冲击, 2019, 39(5): 052301. doi: 10.11883/bzycj-2017-0395

    PEI H B, LIU J M, ZHANG X, et al. Measurement of Hugoniot relation for unreacted JB-9014 explosive with reverse-impact method [J]. Explosion and Shock Waves, 2019, 39(5): 052301. doi: 10.11883/bzycj-2017-0395
    [9]
    刘俊明, 张旭, 裴红波, 等. JB-9014钝感炸药冲击Hugoniot关系测量 [J]. 高压物理学报, 2018, 32(3): 033202. doi: 10.11858/gywlxb.20170669

    LIU J M, ZHANG X, PEI H B, et al. Measurement of Hugoniot relation for JB-9014 insensitive explosive [J]. Chinese Journal of High Pressure Physics, 2018, 32(3): 033202. doi: 10.11858/gywlxb.20170669
    [10]
    刘俊明, 张旭, 赵康, 等. 用PVDF压力计研究未反应JB-9014钝感炸药的Grüneisen参数 [J]. 高压物理学报, 2018, 32(5): 051301. doi: 10.11858/gywlxb.20180524

    LIU J M, ZHANG X, ZHAO K, et al. Using PVDF gauge to study Grüneisen parameter of unreacted JB-9014 insensitive explosive [J]. Chinese Journal of High Pressure Physics, 2018, 32(5): 051301. doi: 10.11858/gywlxb.20180524
  • 加载中

Catalog

    通讯作者: 陈斌, bchen63@163.com
    • 1. 

      沈阳化工大学材料科学与工程学院 沈阳 110142

    1. 本站搜索
    2. 百度学术搜索
    3. 万方数据库搜索
    4. CNKI搜索

    Figures(10)  / Tables(3)

    Article Metrics

    Article views(414) PDF downloads(60) Cited by()
    Proportional views
    Related
    

    /

    DownLoad:  Full-Size Img  PowerPoint
    Return
    Return