Volume 39 Issue 6
Jun 2025
Turn off MathJax
Article Contents
YANG Lanfu, WEN Heming. A Brief Discussion on the Perforation of Steel Plates Impacted by Flat-Nosed Projectiles[J]. Chinese Journal of High Pressure Physics, 2025, 39(6): 064202. doi: 10.11858/gywlxb.20240912
Citation: YANG Lanfu, WEN Heming. A Brief Discussion on the Perforation of Steel Plates Impacted by Flat-Nosed Projectiles[J]. Chinese Journal of High Pressure Physics, 2025, 39(6): 064202. doi: 10.11858/gywlxb.20240912

A Brief Discussion on the Perforation of Steel Plates Impacted by Flat-Nosed Projectiles

doi: 10.11858/gywlxb.20240912
More Information
  • Author Bio:

    YANG Lanfu (1998-), male, doctoral student, major in impact dynamics. E-mail: ylf8@mail.ustc.edu.cn

  • Corresponding author: WEN Heming (1965-), male, Ph.D., professor, major in impact dynamics. E-mail: hmwen@ustc.edu.cn
  • Received Date: 17 Oct 2024
  • Rev Recd Date: 03 Dec 2024
  • Accepted Date: 04 Dec 2024
  • Available Online: 28 Apr 2025
  • Issue Publish Date: 06 Jun 2025
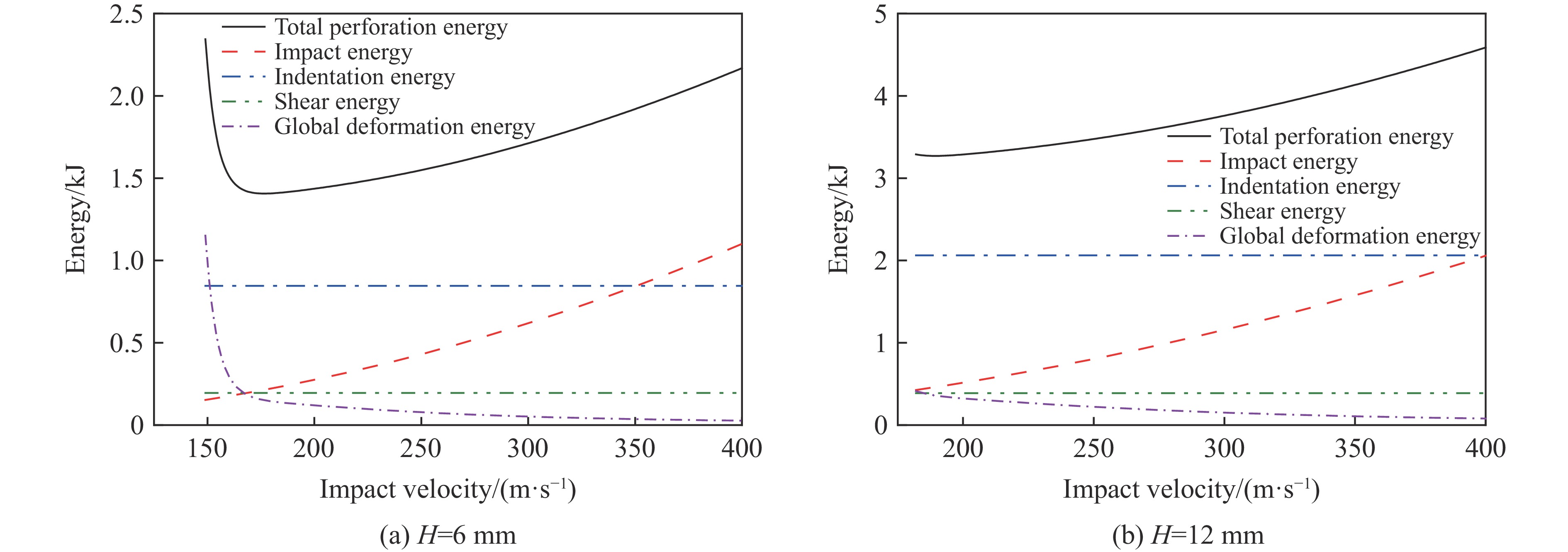
  • A theoretical analysis on the perforation of Weldox 460E steel plates struck by flat-nosed projectiles is presented using a previously developed model within a unified framework. This model contains a dimensionless empirical equation to describe the variation of energy absorbed through global deformation as a function of impact velocity. The study further investigates the energy absorption mechanisms of Weldox 460E steel plates, with particular focus on the “plateau” phenomenon, i. e., limited increase in ballistic limit with increasing plate thickness. This phenomenon is explained and compared with results from previously studied 2024-T351 aluminium plates. The model predictions agree well with experimental data for Weldox 460E steel plates impacted by flat-nosed projectiles, including: relationship between global deformation and impact velocity, ballistic limit, residual velocity, and critical conditions for the transition of failure modes. Moreover, the model effectively predicts the “plateau” phenomenon observed in intermediate plate thickness range. It is also found that the indentation absorption energy contributes a significantly larger fraction of the total absorption energy in Weldox 460E steel plates perforated by flat-nosed projectiles than in 2024-T351 aluminium plates, due to the differences in material properties.

     

  • loading
  • [1]
    CORBETT G G, REID S R, JOHNSON W. Impact loading of plates and shells by free-flying projectiles: a review [J]. International Journal of Impact Engineering, 1996, 18(2): 141–230. doi: 10.1016/0734-743X(95)00023-4
    [2]
    BEN-DOR G, DUBINSKY A, ELPERIN T. Ballistic impact: recent advances in analytical modeling of plate penetration dynamics: a review [J]. Applied Mechanics Reviews, 2005, 58(6): 355–371. doi: 10.1115/1.2048626
    [3]
    ROSENBERG Z, DEKEL E. Terminal ballistics [M]. 3rd ed. Cham: Springer, 2020.
    [4]
    SHADBOLT P J, CORRAN R S J, RUIZ C. A comparison of plate perforation models in the sub-ordnance impact velocity range [J]. International Journal of Impact Engineering, 1983, 1(1): 23–49. doi: 10.1016/0734-743X(83)90011-8
    [5]
    WOODWARD R L. A structural model for thin plate perforation by normal impact of blunt projectiles [J]. International Journal of Impact Engineering, 1987, 6(2): 129–140. doi: 10.1016/0734-743X(87)90015-7
    [6]
    LIU D Q, STRONGE W J. Perforation of rigid-plastic plate by blunt missile [J]. International Journal of Impact Engineering, 1995, 16(5/6): 739–758.
    [7]
    WEN H M, JONES N. Low-velocity perforation of punch-impact-loaded metal plates [J]. Journal of Pressure Vessel Technology, 1996, 118(2): 181–187. doi: 10.1115/1.2842178
    [8]
    XU W, HOU H L, ZHU X, et al. Investigation on the damage mechanism of blunt projectile against thin plate [J]. Acta Armamentarii, 2018, 39(5): 883–892. doi: 10.3969/j.issn.1000-1093.2018.05.007
    [9]
    RECHT R F, IPSON T W. Ballistic perforation dynamics [J]. Journal of Applied Mechanics, 1963, 30(3): 384–390. doi: 10.1115/1.3636566
    [10]
    WOODWARD R L, DE MORTON M E. Penetration of targets by flat-ended projectiles [J]. International Journal of Mechanical Sciences, 1976, 18(3): 119–127. doi: 10.1016/0020-7403(76)90061-8
    [11]
    RAVID M, BODNER S R. Dynamic perforation of viscoplastic plates by rigid projectiles [J]. International Journal of Engineering Science, 1983, 21(6): 577–591. doi: 10.1016/0020-7225(83)90105-2
    [12]
    CHEN X W, LI Q M. Shear plugging and perforation of ductile circular plates struck by a blunt projectile [J]. International Journal of Impact Engineering, 2003, 28(5): 513–536. doi: 10.1016/S0734-743X(02)00077-5
    [13]
    LU Z C, HE Y, WEN H M, et al. A plastic wave model for the perforation of a finite metal plate struck by a flat-ended projectile [J]. International Journal of Impact Engineering, 2023, 173: 104466. doi: 10.1016/j.ijimpeng.2022.104466
    [14]
    CAO S, FAN J T. Numerical model for penetration process of a deformable projectile into ductile metallic target plate considering the interaction of projectile and target [J]. International Journal of Impact Engineering, 2025, 195: 105107. doi: 10.1016/j.ijimpeng.2024.105107
    [15]
    BAI Y L, JOHNSON W. Plugging: physical understanding and energy absorption [J]. Metals Technology, 1982, 9(1): 182–190. doi: 10.1179/030716982803285945
    [16]
    CHEN X W, LI Q M, FAN S C. Initiation of adiabatic shear failure in a clamped circular plate struck by a blunt projectile [J]. International Journal of Impact Engineering, 2005, 31(7): 877–893. doi: 10.1016/j.ijimpeng.2004.04.011
    [17]
    WEN H M, SUN W H. Transition of plugging failure modes for ductile metal plates under impact by flat-nosed projectiles [J]. Mechanics Based Design of Structures and Machines, 2010, 38(1): 86–104. doi: 10.1080/15397730903415892
    [18]
    BØRVIK T, LANGSETH M, HOPPERSTAD O S, et al. Ballistic penetration of steel plates [J]. International Journal of Impact Engineering, 1999, 22(9/10): 855–886.
    [19]
    BØRVIK T, LEINUM J R, SOLBERG J K, et al. Observations on shear plug formation in Weldox 460E steel plates impacted by blunt-nosed projectiles [J]. International Journal of Impact Engineering, 2001, 25(6): 553–572. doi: 10.1016/S0734-743X(00)00069-5
    [20]
    BØRVIK T, HOPPERSTAD O S, BERSTAD T, et al. A computational model of viscoplasticity and ductile damage for impact and penetration [J]. European Journal of Mechanics A: Solids, 2001, 20(5): 685–712. doi: 10.1016/S0997-7538(01)01157-3
    [21]
    BØRVIK T, HOPPERSTAD O S, LANGSETH M, et al. Effect of target thickness in blunt projectile penetration of Weldox 460E steel plates [J]. International Journal of Impact Engineering, 2003, 28(4): 413–464. doi: 10.1016/S0734-743X(02)00072-6
    [22]
    YANG L F, WEN H M. A numerical and theoretical study on the perforation of aluminum plates struck by flat-nosed projectiles [J/OL]. Acta Mechanica Solida Sinica [2024-10-17]. https://link.springer.com/article/ 10.1007/s10338-024-00557-6. DOI: 10.1007/s10338-024-00557-6.
    [23]
    WANG Z H, ZHENG H, WEN H M. Determination of the mechanical properties of metals at very high strain rates [J]. Chinese Journal of High Pressure Physics, 2020, 34(2): 024102. doi: 10.11858/gywlxb.20190794
  • 加载中

Catalog

    通讯作者: 陈斌, bchen63@163.com
    • 1. 

      沈阳化工大学材料科学与工程学院 沈阳 110142

    1. 本站搜索
    2. 百度学术搜索
    3. 万方数据库搜索
    4. CNKI搜索

    Figures(7)  / Tables(1)

    Article Metrics

    Article views(693) PDF downloads(58) Cited by()
    Proportional views
    Related
    

    /

    DownLoad:  Full-Size Img  PowerPoint
    Return
    Return