Volume 39 Issue 7
Jul 2025
Turn off MathJax
Article Contents
ZHOU Zhipeng, CAO Hui, FU Qiong, WANG Xinwen, WANG Zhiyong. Numerical Simulation of Energy Absorption Performance and Failure Mechanism of CFRP Composites under Fragment Impact after Explosion[J]. Chinese Journal of High Pressure Physics, 2025, 39(7): 074204. doi: 10.11858/gywlxb.20240882
Citation: ZHOU Zhipeng, CAO Hui, FU Qiong, WANG Xinwen, WANG Zhiyong. Numerical Simulation of Energy Absorption Performance and Failure Mechanism of CFRP Composites under Fragment Impact after Explosion[J]. Chinese Journal of High Pressure Physics, 2025, 39(7): 074204. doi: 10.11858/gywlxb.20240882

Numerical Simulation of Energy Absorption Performance and Failure Mechanism of CFRP Composites under Fragment Impact after Explosion

doi: 10.11858/gywlxb.20240882
  • Received Date: 02 Sep 2024
  • Rev Recd Date: 11 Oct 2024
  • Accepted Date: 11 Oct 2024
  • Available Online: 07 Jul 2025
  • Issue Publish Date: 07 Jul 2025
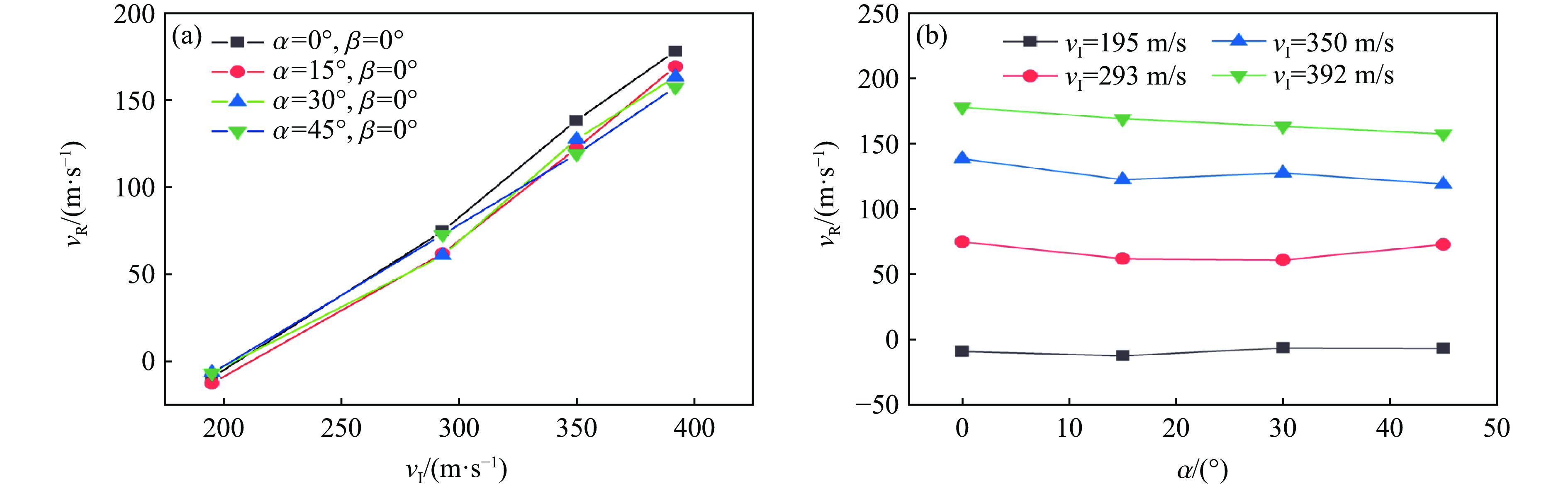
  • The application of carbon fiber reinforced polymer (CFRP) composite in protective equipment is restricted by its complex penetration behavior and unclear failure mechanism under fragment impact. To overcome the difficulty and high cost of monitoring the penetration process information through experiments, a finite element analysis (FEA) model of CFRP composite under fragment impact is constructed in this study. In this model, a strain-based three-dimensional Hashin failure criterion is adopted, and the rate-dependent relationship of strength is introduced. The effectiveness of the FEA model is verified by comparison with experimental results. The simulation results show significant difference in both initial velocities and impact inclination angles under different TNT equivalents and distances from the explosion point. The inclination angles of fragments with the target plate on y-z and x-z planes are defined as α and β. When β=0°, CFRP composites exhibit pronounced impact velocity sensitivity in the velocity range of 195−392 m/s. The energy absorption capability and impact velocity sensitivity of specimens with different inclination angles β are significantly different. However, the energy absorption capability and impact velocity sensitivity of specimens with different inclination angles α do not show significant differences. When α=0°, the impact velocity sensitivity of CFRP composites in the impact velocity range of 195−392 m/s gradually declines with the increase of inclination angle β. Visualization of the penetration process and failure area indicates that the contact area and time and deformation degree are the crucial reasons for the differences in energy absorption capability and impact velocity sensitivity observed in CFRP composites.

     

  • loading
  • [1]
    廖斌斌, 周建武, 林渊, 等. CFRP层合板低速冲击响应及损伤特性研究 [J]. 高压物理学报, 2019, 33(4): 044202.

    LIAO B B, ZHOU J W, LIN Y, et al. Low-velocity impact behavior and damage characteristics of CFRP laminates [J]. Chinese Journal of High Pressure Physics, 2019, 33(4): 044202.
    [2]
    JIN L, ZHANG B L, CHEN F J, et al. Dynamic contribution of CFRP strips to CFRP-strengthened RC shear walls [J]. International Journal of Mechanical Sciences, 2023, 255: 108479. doi: 10.1016/j.ijmecsci.2023.108479
    [3]
    XIANG X M, XIAO C K, LU G X, et al. Novel interaction effects enhance specific energy absorption in foam-filled CFRP tapered tubes [J]. Composite Structures, 2024, 343: 118288. doi: 10.1016/j.compstruct.2024.118288
    [4]
    GUO H L, LIAO H H, SU M, et al. Shear strengthening of RC beams with prestressed NSM CFRP: influencing factors and analytical model [J]. Composite Structures, 2024, 342: 118262. doi: 10.1016/j.compstruct.2024.118262
    [5]
    SERGI C, IERARDO N, SARASINI F, et al. Assessment of ply thickness and aluminum foils interleaving on the impact response of CFRP composites designed for cryogenic pressure vessels [J]. Composite Structures, 2025, 351: 118563. doi: 10.1016/j.compstruct.2024.118563
    [6]
    ZHANG J Y, XIE J, ZHAO X Z, et al. Influence of void defects on impact properties of CFRP laminates based on multi-scale simulation method [J]. International Journal of Impact Engineering, 2023, 180: 104706. doi: 10.1016/j.ijimpeng.2023.104706
    [7]
    袁浩天, 刘钊, 孙文豪, 等. 聚能侵彻体作用下钢-CFRP层合板的防护性能 [J]. 高压物理学报, 2023, 37(2): 024202.

    YUAN H T, LIU Z, SUN W H, et al. Protective performance of steel-CFRP laminates under sharped charge projectile [J]. Chinese Journal of High Pressure Physics, 2023, 37(2): 024202.
    [8]
    BOCCARDI S, MEOLA C, CARLOMAGNO G M, et al. Effects of interface strength gradation on impact damage mechanisms in polypropylene/woven glass fabric composites [J]. Composites Part B: Engineering, 2016, 90: 179–187. doi: 10.1016/j.compositesb.2015.12.004
    [9]
    ZHOU J W, LIAO B B, SHI Y Y, et al. Low-velocity impact behavior and residual tensile strength of CFRP laminates [J]. Composites Part B: Engineering, 2019, 161: 300–313. doi: 10.1016/j.compositesb.2018.10.090
    [10]
    彭捷, 张伟岐, 田锐, 等. 碳纤维层合板抗球形弹冲击动态响应特性试验研究 [J]. 复合材料科学与工程, 2020(6): 18–24,56.

    PENG J, ZHANG W Q, TIAN R, et al. Experimental study on the dynamic response of carbon fiber laminates impacted by spherical projectile [J]. Composites Science and Engineering, 2020(6): 18–24,56.
    [11]
    LIU J L, SINGH A K, LEE H P, et al. The response of bio-inspired helicoidal laminates to small projectile impact [J]. International Journal of Impact Engineering, 2020, 142: 103608. doi: 10.1016/j.ijimpeng.2020.103608
    [12]
    朱浩, 郭章新, 宋鲁彬, 等. 拉伸载荷下含孔复合材料层合板的力学性能及失效机理 [J]. 高压物理学报, 2017, 31(4): 373–381.

    ZHU H, GUO Z X, SONG L B, et al. Mechanical property and failure mechanism of composite laminates containing a circular hole under tension [J]. Chinese Journal of High Pressure Physics, 2017, 31(4): 373–381.
    [13]
    WANG J R, XIE W H, YI F J, et al. Numerical simulation on fracture mechanisms of CFRP with barely visible impact damage by hail impact [J]. Composite Structures, 2023, 305: 116499. doi: 10.1016/j.compstruct.2022.116499
    [14]
    XING J, DU C L, HE X, et al. Finite element study on the impact resistance of laminated and textile composites [J]. Polymers, 2019, 11(11): 1798. doi: 10.3390/polym11111798
    [15]
    XU Z, YANG F, GUAN Z W, et al. An experimental and numerical study on scaling effects in the low velocity impact response of CFRP laminates [J]. Composite Structures, 2016, 154: 69–78. doi: 10.1016/j.compstruct.2016.07.029
    [16]
    PANKOW M, WAAS A M, YEN C F, et al. Modeling the response, strength and degradation of 3D woven composites subjected to high rate loading [J]. Composite Structures, 2012, 94(5): 1590–1604. doi: 10.1016/j.compstruct.2011.12.010
    [17]
    DU C L, WANG H F, ZHAO Z Q, et al. A comparison study on the impact failure behavior of laminate and woven composites with consideration of strain rate effect and impact attitude [J]. Thin-Walled Structures, 2021, 164: 107843. doi: 10.1016/j.tws.2021.107843
    [18]
    JIANG H Y, REN Y R, LIU Z H, et al. Low-velocity impact resistance behaviors of bio-inspired helicoidal composite laminates with non-linear rotation angle based layups [J]. Composite Structures, 2019, 214: 463–475. doi: 10.1016/j.compstruct.2019.02.034
    [19]
    LI K M, NI X P, WU Q Q, et al. Carbon-based fibers: fabrication, characterization and application [J]. Advanced Fiber Materials, 2022, 4(4): 631–682. doi: 10.1007/s42765-022-00134-x
    [20]
    邱晓清, 唐柏鉴, 任鹏, 等. 冲击波和破片对超高分子量聚乙烯板联合作用的仿真模拟 [J]. 江苏科技大学学报(自然科学版), 2020, 34(3): 6–13.

    QIU X Q, TANG B J, REN P, et al. Simulation of the damage of UHMWPE plate by the combined action of shock waves and fragments [J]. Journal of Jiangsu University of Science and Technology (Natural Science Edition), 2020, 34(3): 6–13.
    [21]
    ZHOU Z P, SUN W F, ZHENG N, et al. Experimental and numerical investigation of the energy absorption characteristics of carbon-basalt hybrid fiber reinforced polymer composites under ballistic impact [J]. Composite Structures, 2024, 335: 118000. doi: 10.1016/j.compstruct.2024.118000
    [22]
    LIU Q, GUO B Q, CHEN P W, et al. Investigating ballistic resistance of CFRP/polyurea composite plates subjected to ballistic impact [J]. Thin-Walled Structures, 2021, 166: 108111. doi: 10.1016/j.tws.2021.108111
    [23]
    SHISHEVAN F A, AKBULUT H. Low-velocity impact behavior of carbon/basalt fiber-reinforced intra-ply hybrid composites [J]. Iranian Journal of Science and Technology, Transactions of Mechanical Engineering, 2019, 43(1): 225–234. doi: 10.1007/s40995-017-0400-0
    [24]
    CHEN D D, LUO Q T, MENG M Z, et al. Low velocity impact behavior of interlayer hybrid composite laminates with carbon/glass/basalt fibres [J]. Composites Part B: Engineering, 2019, 176: 107191. doi: 10.1016/j.compositesb.2019.107191
    [25]
    ZHANG T G, SATAPATHY S S, VARGAS-GONZALEZ L R, et al. Ballistic impact response of ultra-high-molecular-weight polyethylene (UHMWPE) [J]. Composite Structures, 2015, 133: 191–201. doi: 10.1016/j.compstruct.2015.06.081
  • 加载中

Catalog

    通讯作者: 陈斌, bchen63@163.com
    • 1. 

      沈阳化工大学材料科学与工程学院 沈阳 110142

    1. 本站搜索
    2. 百度学术搜索
    3. 万方数据库搜索
    4. CNKI搜索

    Figures(17)  / Tables(3)

    Article Metrics

    Article views(495) PDF downloads(46) Cited by()
    Proportional views
    Related
    

    /

    DownLoad:  Full-Size Img  PowerPoint
    Return
    Return