2025年  第39卷  第5期

2025 年 5 期封面
2025, 39(5): 1-1.
摘要:
2025 年 5 期目次
2025, 39(5): 1-2.
摘要:
封面文章
界面邻近效应对激波诱导重气柱演化的影响
杨欢欢, 张恩来, 李欣竹, 邹立勇
2025, 39(5): 050101. doi: 10.11858/gywlxb.20251008
摘要:

针对实际应用中激波与物质近表面杂质及孔洞等相互作用中的界面邻近效应,通过数值模拟开展了下游平面重-轻界面对激波诱导重气柱演化影响的简化机理研究。结果表明,激波冲击气柱形成的衍射和透射波系依次冲击下游界面,在气柱与下游界面之间形成来回反射的波系结构,这些波系不仅影响气柱的界面演化,而且在下游界面诱导产生射流。在不同的界面间距条件下,气柱外部衍射波系在下游界面的反射波系不同,这些反射波系及气柱内部聚焦波系冲击气柱右极点的先后顺序也存在差异。当界面间距较小时,气柱射流可以穿透气柱与下游界面之间的间隙流体,并与下游界面射流耦合,显著促进气柱射流的演化。随着界面间距的增大,射流耦合现象逐渐减弱,重气柱演化涡对抑制了气柱射流的发展。当界面间距进一步增大时,气柱射流又会因下游界面反射稀疏波系的拉伸作用而被促进。此外,在不同的界面间距条件下,下游界面的存在均对气柱界面宽度、高度的发展及环量沉积起到促进作用。

高压理论与计算
C3N4热化学状态方程的研究及应用初探
陈玉兰, 裴红波, 郭文灿, 刘福生, 甘云丹, 李星翰
2025, 39(5): 052101. doi: 10.11858/gywlxb.20251006
摘要:

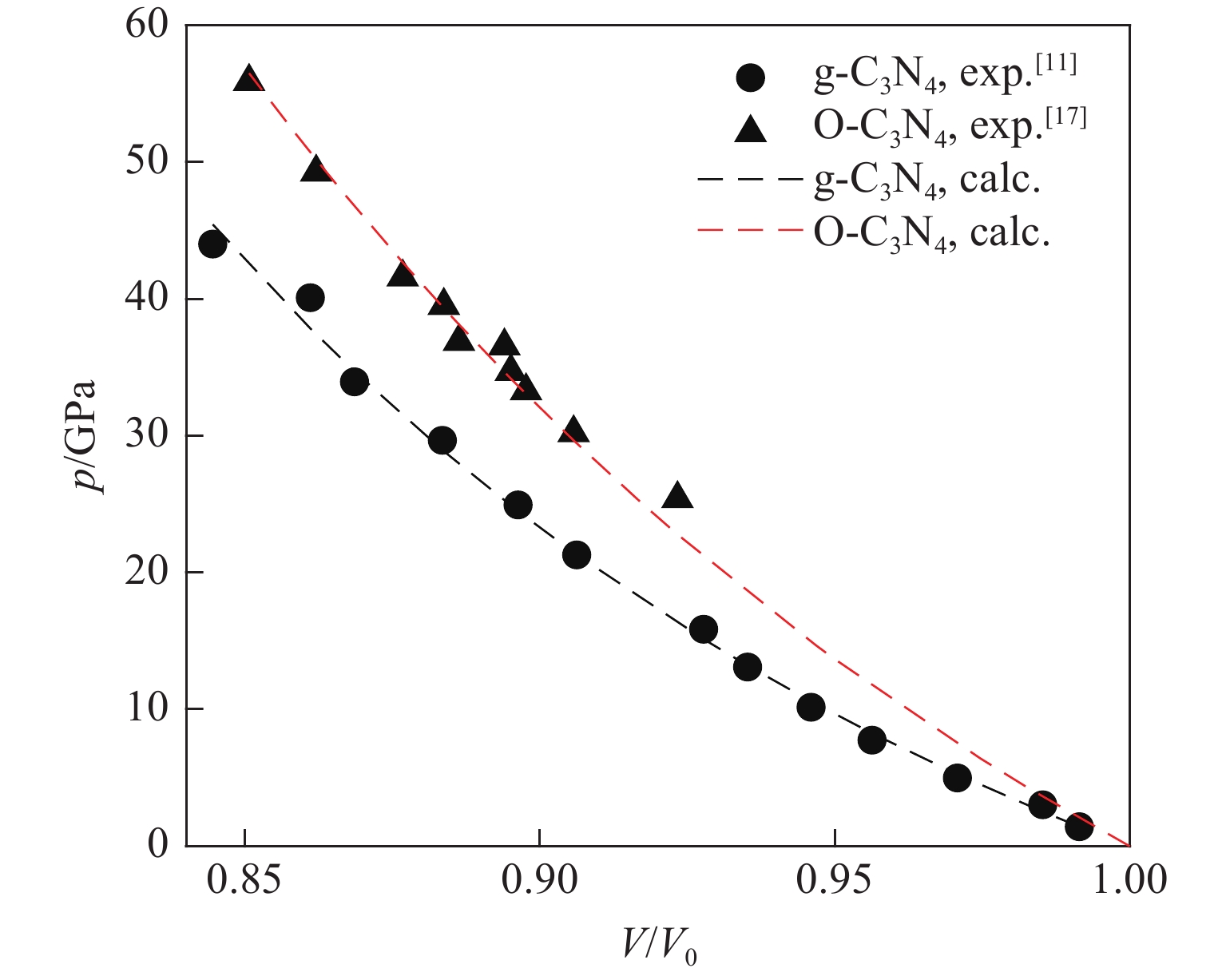
C3N4在超硬材料合成和光催化等领域具有广泛的应用,然而,其在高温高压下的相变和物理行为尚未完全清楚,研究其热化学状态方程十分必要。利用分解相边界及常温压缩线数据,提出了一种定量研究C3N4热化学状态方程的高精度、低成本的新方法。对C3N4的石墨相和正交相建立了三项式热化学状态方程,由此计算的诸多物理量与第一性原理计算结果及实验结果吻合良好,证明了热化学状态方程的可靠性。利用C3N4热化学状态方程,对特定温度压力下C3N4的争议相进行了初步判断。此外,将C3N4热化学状态方程加入新型富氮炸药5,5′-联四唑-1,1′-二氧二羟铵(TKX-50)的爆轰参数计算中,显著降低了TKX-50爆轰参数计算值与实验值之间的误差,为新型炸药爆轰机理研究提供了新的参考方向。

高压下物质的动态响应
DNAN基熔铸炸药的动态力学行为及点火特性
赵东, 屈可朋, 胡雪垚, 何娜, 王奕鑫, 肖玮
2025, 39(5): 054101. doi: 10.11858/gywlxb.20240936
摘要:

为研究某2,4-二硝基苯甲醚(2,4-dinitroanisole,DNAN)基熔铸炸药的动态力学行为和点火特性,基于万能材料试验机和分离式霍普金森压杆(split Hopkinson pressure bar,SHPB)分别开展准静态/动态压缩试验和被动围压试验,并开展落锤冲击点火试验,结合扫描电镜和工业计算机断层扫描观察加载前、后试样的形貌特征,获得了不同加载条件下DNAN基熔铸炸药的应力-应变曲线、点火阈值和损伤特征,揭示了炸药在不同条件下的动态力学行为、点火特性和损伤机制。结果表明:DNAN基熔铸炸药的动态力学行为具有应变率相关性,相较于典型压装炸药,脆性特征更明显,在单轴压缩状态下强度更低,多轴压缩状态下峰值应力接近;孔洞为该炸药的主要初始损伤形式,压缩加载下孔洞被填充压实,主要损伤机制为穿晶断裂、界面脱粘,压剪耦合加载下装药内发生剪切流动,颗粒重新排布,随着加载强度的增大,主要损伤机制由沿晶断裂转向穿晶断裂;落锤冲击点火试验中DNAN基熔铸炸药对压缩加载更敏感,压缩和压剪加载下的最大未反应落高和峰值应力分别为500 mm、556 MPa和600 mm、622 MPa,主要点火机制可能是由孔洞损伤受压缩引起的气泡绝热压缩或孔洞冲击塌缩生热。

纤维增强复合材料层合板抗侵彻的多尺度模拟方法
李涵, 陈长海, 鲁程
2025, 39(5): 054201. doi: 10.11858/gywlxb.20240940
摘要:

针对纤维增强复合材料层合板结构设计和抗侵彻数值仿真需要大量材料参数和动态试验数据的问题,以碳纤维增强复合材料层合板为研究对象,采用多尺度模拟方法,实现了纤维丝-纤维束-层合板的微观-介观-宏观力学性能和抗侵彻能力的全流程数值仿真预测。首先,建立微观代表性体积单元(representative volume elements,RVE),基于最大应力准则,预测出纤维束的力学性能;然后,根据编织结构的空间特征建立介观RVE模型,采用Hashin和Hou的失效准则,预测出宏观等效力学性能;最后,根据已发表的试验数据,建立了宏观弹道侵彻数值模型,提出了一种考虑材料应变率效应的改进Hashin失效准则,进而研究了弹道侵彻作用下纤维增强复合材料层合板的剩余速度和损伤特征。结果表明:试验与仿真得到的剩余速度的相对误差在5%以内,宏观数值模型准确捕捉到了纤维断裂、层间分层等损伤模式,验证了多尺度模拟方法的合理性和准确性;拟合得到了弹道极限速度随板厚变化的关系式,两者呈线性关系,且相关系数达0.97以上。研究结果有助于实现纤维增强复合材料层合板抗侵彻的低成本、短周期结构设计,对纤维增强复合材料层合板的正向性能预测和逆向结构设计均具有重要的科学和工程应用价值。

冲击荷载下岩体应力波振动信号频率特征分析
冯佳兴, 袁利伟, 彭纪, 陈明辉, 陈迪, 起卓
2025, 39(5): 054202. doi: 10.11858/gywlxb.20240897
摘要:

岩体在外部荷载冲击作用下会产生不同频率的信号。首先,通过自制探头的光纤监测系统监测现场岩体受到瞬时冲击荷载前后的应力波信号,并采用鲁棒性局部均值分解(robust local mean decomposition,RLMD)方法,结合快速傅里叶变换对实验得到的监测信号进行时频分析;然后,通过LS-DYNA软件模拟冲击荷载施加于岩体并产生应力波的过程,并将模拟应力波频率与实验监测应力波频率进行对比;最后,分析了弹性模量和密度发生改变时模拟应力波频率的变化。结果表明:在现场施加冲击荷载后,现场监测所得信号经过频谱分解会出现频率为15002300 Hz的多个极大振幅特征信号,与模拟应力波时频分析中获得的2203 Hz的主频率信号基本符合;模拟应力波频率与一维平面应力波推导的频率呈相反的变化趋势。

接触爆炸下POZD涂覆钢筋混凝土梁的抗爆性能
薛建锋, 章琪月, 许红浩, 汪维, 刘涛, 夏韬
2025, 39(5): 054203. doi: 10.11858/gywlxb.20240881
摘要:

为得到接触爆炸下聚脲(polyisocyanate-oxazodone,POZD)涂覆钢筋混凝土梁的抗爆性能,对同一尺寸的钢筋混凝土梁开展了数值模拟研究。采用HyperMesh和LS-DYNA软件建立POZD涂覆钢筋混凝土梁模型,开展了接触爆炸下POZD涂覆钢筋混凝土梁的破坏模式和毁伤效应分析。对普通钢筋混凝土梁在接触爆炸下的破坏模式进行了模拟验证试验,研究了钢筋混凝土梁结构在不同POZD涂层位置和不同装药量条件下的破坏模式和毁伤情况,并对不同POZD涂覆位置的防护效果进行了评估,最后,将接触爆炸下POZD涂覆钢筋混凝土梁划分为3个局部毁伤等级。

高压科学应用
双重异性障碍物下掺氢甲烷的燃爆压升效应
徐阳, 李冕, 李元兵, 龙凤英
2025, 39(5): 055201. doi: 10.11858/gywlxb.20240944
摘要:

气体燃爆灾害特性是国内外研究的热点和重点,研究复杂约束条件下的燃爆特性极具意义。针对刚性障碍物和柔性障碍物,通过实验探究了长直形管道中双重异性障碍物下掺氢甲烷气体的燃爆过程。结果表明:较无障碍物环境,双重障碍物对火焰速度、爆炸压力以及爆炸强度指数的影响表现为随柔性障碍物阻塞率的提高和掺氢的置入而提升,并且爆炸压力和爆炸强度指数的增幅高于火焰速度的增幅。在掺氢和双重障碍物的共同作用下,火焰接触速度增幅可达176.51%,最大速度增幅达316.40%。双重障碍物导致上游区域出现压力先升后降现象,下游区域的压力振荡明显;掺氢后,与无障碍环境相比,管内最大爆炸压力增幅可达1280.9%,最大爆炸强度指数提升至167.65倍。在约束设施布局工程项目中,应首选较小阻塞率的柔性障碍物,以有效减轻爆炸危害。

露井联采台阶爆破对井下巷道振动的影响
徐杰, 李祥龙, 王建国, 胡涛, 张彪, 刘金保
2025, 39(5): 055301. doi: 10.11858/gywlxb.20240942
摘要:

在露井联采过程中,为了控制露天台阶爆破振动对井下邻近既有巷道衬砌的破坏,以拉拉铜矿露天转井下过渡开采阶段为背景,采用现场振动监测、理论计算、数值模拟方法,研究既有邻近巷道的动力响应规律。通过对监测数据进行回归分析,得出井下振动衰减规律,并对振动主频及瞬时能量进行了分析。采用LS-DYNA数值模拟软件,对露天台阶和井下巷道建立6种不同相对空间位置的模型,进而建立双孔延期爆炸模型,研究了爆破荷载作用下邻近井下既有巷道的动态响应规律。结果表明:露天台阶爆破过程中,爆源下方邻近既有巷道产生的最大振速主要出现在拱部和迎爆侧的边墙部;巷道与爆源的相对空间位置不同,峰值振速所在的方向和位置也不同;在巷道拱顶与炮孔底部竖直方向距离固定为10 m的情况下,巷道边墙与炮孔水平距离在15 m以内时,炸药起爆后巷道结构竖直方向振速较大,超过15 m后,巷道结构水平径向振速较大。通过拟合应力与振速之间的关系,利用巷道极限动态抗拉强度推导出振速阈值为19 cm/s。基于安全阈值调整爆破参数后,可以保证邻近既有巷道的安全。

基于BKA-CNN-SVM模型的岩爆烈度预测
慕慧文, 周宗红, 郑发萍, 刘剑, 曾顺洪, 段勇
2025, 39(5): 055302. doi: 10.11858/gywlxb.20240880
摘要:

为实现准确高效的岩爆烈度预测,做好地下工程灾害防治,提出了一种基于黑翅鸢优化算法-卷积神经网络-支持向量机(BKA-CNN-SVM)的岩爆烈度预测模型。首先,根据岩爆烈度的影响因素,确立6个主要岩爆预测指标,搜集国内外284组岩爆案例,建立岩爆数据库;然后,引入拉依达准则与1.5倍四分位差对数据进行异常值剔除及替换;接着,采用核主成分分析,对数据进行降维及特征提取,并将所提取的特征作为模型输入;最后,通过引入混淆矩阵,结合准确率、精确率、F1值、召回率对模型性能进行评估,并与卷积神经网络(CNN)模型、极限学习机(ELM)模型、卷积神经网络与支持向量机(CNN-SVM)集成模型的性能进行对比。结果表明:BKA-CNN-SVM模型的准确率、精确率、F1值、召回率分别达到95.35%、0.89、0.92、0.94,在预测精度和泛化程度上均明显优于其他模型。采用该模型预测锦屏二级水电站岩爆烈度,结果显示,预测结果与现场情况有较高的一致性。研究结果可为岩爆等级预测提供新方法。