Crystal Structure and Transport Properties of LaZn1–δSb2 under Pressure
-
摘要: 在新超导材料的探索中,某些特定的结构单元被认为对超导的产生至关重要,如铜氧和铁基高温超导体中的CuO2面和Fe-As层等。为此,研究了具有Zn-Sb层的锌基112型LaZn1–δSb2在常压和高压下的结构和输运性质。研究发现:LaZn1–δSb2在常压下具有四方结构,并存在一定的Zn空位;其低温物理性质表现出顺磁金属行为,具有一定的各向异性和正磁阻现象;同时,空穴型霍尔系数随温度变化明显,表明该材料的输运行为由多带效应主导。在高压下,LaZn1–δSb2依然维持四方结构,但是体积被压缩超过25%;与此同时,高压下的绝对电阻值以及剩余电阻比均随压力的升高先减小后增大。进一步拟合发现,压力下LaZn1–δSb2的输运行为依然由电子-声子散射主导,且几乎不随压力变化。在所测试的最高达50.9 GPa的压力下,没有观测到2 K以上的超导现象;LaZn1–δSb2中超导电性的缺失可能与Zn空位导致的晶格缺陷有关。该研究结果可为探索同类结构化合物中的新型超导电性提供有意义的参考。
-
关键词:
- 高压 /
- 超导电性 /
- LaZn1–δSb2 /
- 高压同步辐射 /
- 费米液体行为
Abstract: In the search of new superconducting materials, some specific structural units are recognized as essential factors for the emergence of superconductivity, such as the CuO2 planes in cuprates and the Fe-As layers in iron-based superconductors. In this study, we investigate the structural and transport properties of the zinc-based 112-type compound LaZn1–δSb2 with Zn-Sb layers at both ambient and high pressures. The LaZn1–δSb2 crystallizes in a tetragonal structure with a certain amount of Zn vacancies at ambient pressure. The low-temperature physical properties exhibit paramagnetic metallic behavior, with resistivity showing anisotropy behavior, and the magnetoresistance is positive at low temperatures. Meanwhile, the hole-type Hall coefficient shows significant temperature dependence, indicating that the transport behavior is dominated by multiband effects. Under high pressures, LaZn1–δSb2 retains its tetragonal phase while undergoing a volume compression exceeding 25%. As pressure increases, the absolute value of resistance and residual resistance ratio initially decrease and then increase. Further fitting reveals that the transport behavior under pressure remains dominated by electron-phonon scattering and shows almost no pressure dependence. Notably, no superconductivity above 2 K is observed up to the highest pressure of 50.9 GPa in this study. The absence of superconductivity in LaZn1–δSb2 may be related to lattice defects induced by Zn vacancies. These results can provide useful insights for the search for new superconductivity in compounds with similar structures. -
图 3 (a) LaZn1–δSb2的典型EDS(插图表格为各元素的原子分数);(b) 单晶样品的 XRD谱(最大自然解离晶面为 ab 面);(c) 外加磁场为 1 T时测得的χ-T曲线(红色实线为居里-外斯拟合曲线)
Figure 3. (a) Typical EDS of LaZn1–δSb2 (Inset shows the atomic concentration of different elements.); (b) XRD pattern of the single crystal, showing that the largest natural face is ab-plane; (c) temperature dependence of magnetic susceptibility (χ-T) curve measured with an external field of 1 T (The solid red line is the Curie-Weiss fitting line.)
图 4 (a) 电流沿不同方向时LaZn1–δSb2在2~300 K温度范围内的归一化电阻率-温度依赖关系(ρ/ρ300 K-T),(b) 不同温度下磁阻的磁场依赖关系曲线(在 9 T 磁场和 2 K 温度下观察到较大(38%)的正磁电阻效应),(c) 不同温度下的霍尔电阻率与磁场的关系曲线,(d) 常压下霍尔系数的温度依赖关系(RH-T)
Figure 4. (a) Temperature dependence of normalized resistance (ρ/ρ300 K-T) of LaZn1–δSb2 from 2 K to 300 K with current along different directions; (b) magnetic field-dependent magnetoresistance (MR) at different temperatures, and a large positive magnetoresistance effect (38%) is observed at 9 T and 2 K; (c) the Hall resistivity versus magnetic field at selected temperatures; (d) temperature dependence of Hall coefficient (RH-T) at ambient pressure
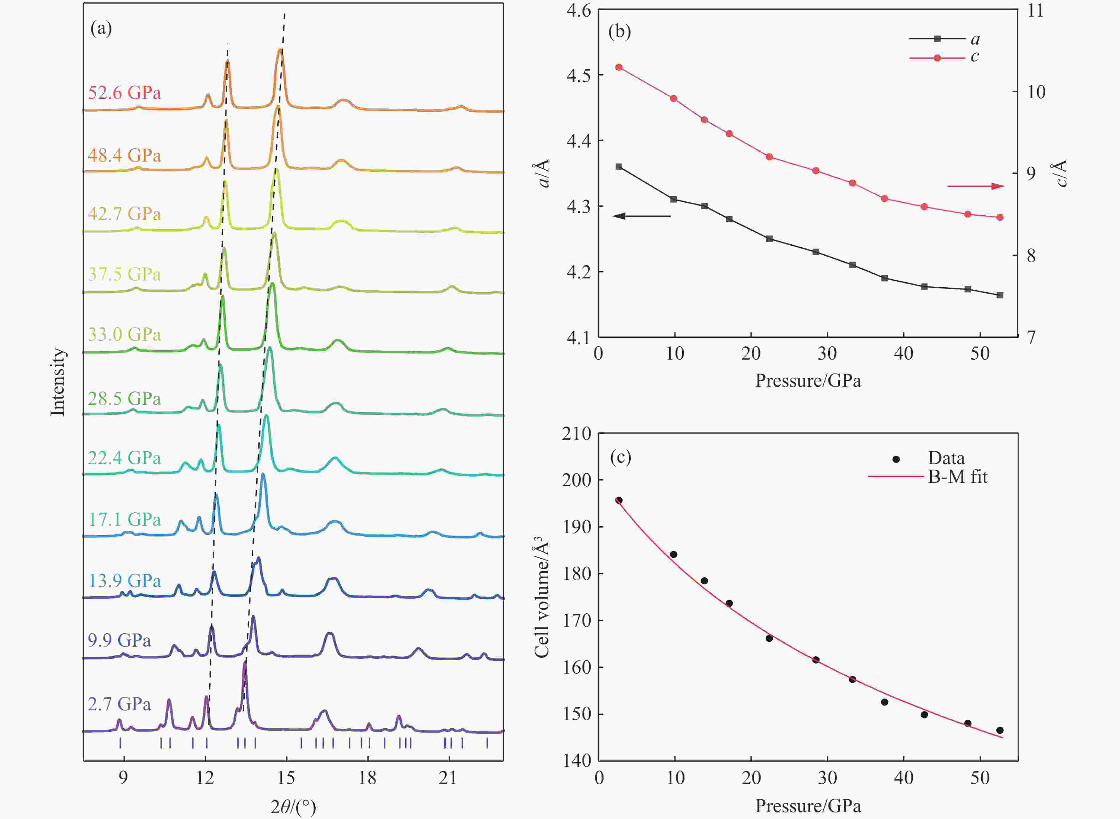
图 5 (a) 最高至52.6 GPa时不同压力下LaZn1–δSb2的同步辐射XRD谱,(b) 晶格常数的压力依赖关系,(c) 计算得到的LaZn1–δSb2晶胞体积与压力的关系曲线(红色实线为三阶 B-M 拟合曲线)
Figure 5. (a) XRD patterns of LaZn1–δSb2 collected at different pressures up to 52.6 GPa; (b) pressure dependence of lattice constants; (c) the derived cell volume as a function of pressure for LaZn1–δSb2 (The solid red line is the third-order B-M fitting curve.)
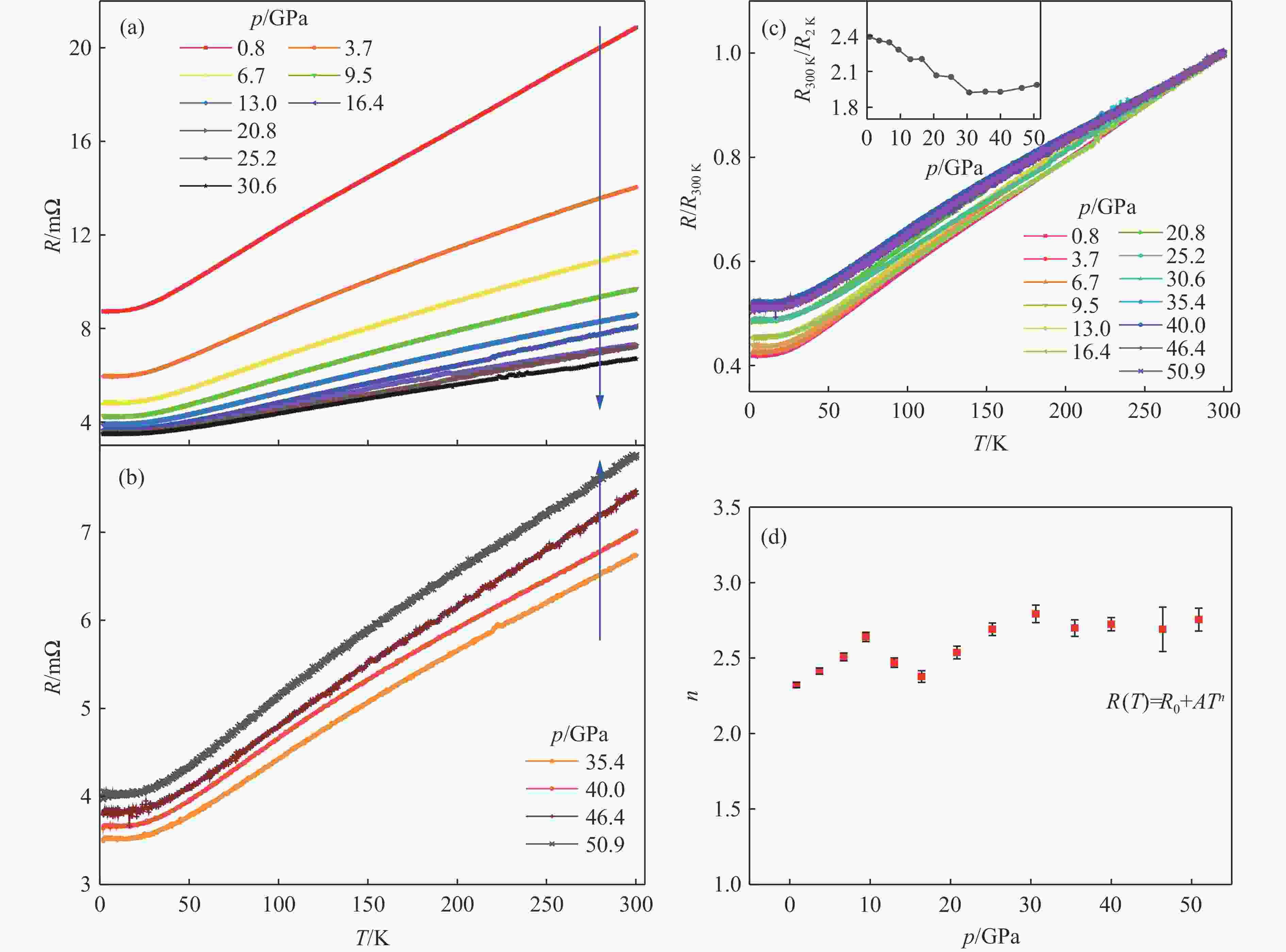
图 7 (a)~(b) 最高至50.9 GPa时不同压力下LaZn1–δSb2的电阻-温度(R-T)依赖关系曲线,(c) 不同压力下 LaZn1–δSb2的归一化电阻-温度(R/R300 K-T)曲线(插图为 LaZn1–δSb2的R300 K/R2 K随压力的变化曲线),(d) 温度项的幂指数n随压力的演变规律(采用$ R \left(T\right)={R }_{0}+A{T}^{n} $对 2~50 K 温度区间内不同压力下的R-T 曲线进行拟合的结果)
Figure 7. (a)–(b) Temperature dependence of resistance (R-T) curves for LaZn1–δSb2 under various pressures up to 50.9 GPa; (c) normalized R-T curves of LaZn1–δSb2 at selected pressures (Inset shows the pressure dependent R300 K/R2 K of LaZn1–δSb2.); (d) the evolution of the n value with pressure (The formula $ R\left(T\right)={R }_{0}+A{T}^{n} $ was used to fitting the R-T curves at various pressures in the temperature region from 2 to 50 K.)
-
[1] KAMIHARA Y, WATANABE T, HIRANO M, et al. Iron-based layered superconductor La[O1–xFx]FeAs (x=0.05−0.12) with Tc=26 K [J]. Journal of the American Chemical Society, 2008, 130(11): 3296–3297. doi: 10.1021/ja800073m [2] KATAYAMA N, KUDO K, ONARI S, et al. Superconductivity in Ca1–xLaxFeAs2: a novel 112-type iron pnictide with arsenic zigzag bonds [J]. Journal of the Physical Society of Japan, 2013, 82(12): 123702. doi: 10.7566/JPSJ.82.123702 [3] YAKITA H, OGINO H, OKADA T, et al. A new layered iron arsenide superconductor: (Ca,Pr)FeAs2 [J]. Journal of the American Chemical Society, 2014, 136(3): 846–849. doi: 10.1021/ja410845b [4] YU J, LIU T, PAN B J, et al. Discovery of a novel 112-type iron-pnictide and La-doping induced superconductivity in Eu1−xLaxFeAs2 (x=0–0.15) [J]. Science Bulletin, 2017, 62(3): 218–221. doi: 10.1016/j.scib.2016.12.015 [5] LIU Y B, LIU Y, JIAO W H, et al. Magnetism and superconductivity in Eu(Fe1−xNix)As2 (x=0, 0.04) [J]. Science China Physics, Mechanics & Astronomy, 2018, 61(12): 127405. [6] ALBEDAH M A, STADNIK Z M, FEDORYK O, et al. Magnetic properties of EuFeAs2 and the 14 K superconductor EuFe0.97Ni0.03As2 [J]. Journal of Magnetism and Magnetic Materials, 2020, 503: 166603. doi: 10.1016/j.jmmm.2020.166603 [7] ZHAN X H, YI X L, XING X Z, et al. Effects of 4d transition metal Pd doping on the magnetic and superconducting properties of 112-type iron pnictide EuFeAs2 [J]. Superconductor Science and Technology, 2022, 35(2): 025005. doi: 10.1088/1361-6668/ac3e56 [8] IDCZAK R, BABIJ M, SOBOTA P, et al. Coexistence of magnetism and superconductivity in 112-type iron pnictides EuFeAs2 doped with Co [J]. Journal of Magnetism and Magnetic Materials, 2022, 560: 169676. doi: 10.1016/j.jmmm.2022.169676 [9] TANG M H, DONG C H, XU Z T, et al. Transition of vortex pinning behaviour induced by an artificial microstructure design in Ba(Fe0.94Co0.06)2As2 pnictide superconductor [J]. Materials Today Physics, 2022, 27: 100783. doi: 10.1016/j.mtphys.2022.100783 [10] YU J, LIU T, RUAN B B, et al. Co-doping effects on magnetism and superconductivity in the 112-type EuFeAs2 system [J]. Science China Physics, Mechanics & Astronomy, 2021, 64(6): 267411. [11] BOTANA A S, NORMAN M R. Similarities and differences between LaNiO2 and CaCuO2 and implications for superconductivity [J]. Physical Review X, 2020, 10(1): 011024. doi: 10.1103/PhysRevX.10.011024 [12] ZHANG P H, LOUIE S G, COHEN M L. Electron-phonon renormalization in cuprate superconductors [J]. Physical Review Letters, 2007, 98(6): 067005. doi: 10.1103/PhysRevLett.98.067005 [13] GU Q Q, WEN H H. Superconductivity in nickel-based 112 systems [J]. The Innovation, 2022, 3(1): 100202. doi: 10.1016/j.xinn.2021.100202 [14] MYERS K D, BUD’KO S L, FISHER I R, et al. Systematic study of anisotropic transport and magnetic properties of RAgSb2 (R=Y, La–Nd, Sm, Gd–Tm) [J]. Journal of Magnetism and Magnetic Materials, 1999, 205(1): 27–52. doi: 10.1016/S0304-8853(99)00472-2 [15] SONG C, PARK J, KOO J, et al. Charge-density-wave orderings in LaAgSb2: an X-ray scattering study [J]. Physical Review B, 2003, 68(3): 035113. doi: 10.1103/PhysRevB.68.035113 [16] KUO C N, SHEN D, LI B S, et al. Characterization of the charge density wave transition and observation of the amplitude mode in LaAuSb2 [J]. Physical Review B, 2019, 99(23): 235121. doi: 10.1103/PhysRevB.99.235121 [17] MURO Y, TAKEDA N, ISHIKAWA M. Magnetic and transport properties of dense Kondo systems, CeTSb2 (T=Ni, Cu, Pd and Ag) [J]. Journal of Alloys and Compounds, 1997, 257(1/2): 23–29. doi: 10.1016/S0925-8388(96)03128-3 [18] DU F, SU H, LUO S S, et al. Interplay between charge density wave order and superconductivity in LaAuSb2 under pressure [J]. Physical Review B, 2020, 102(14): 144510. doi: 10.1103/PhysRevB.102.144510 [19] AKIBA K, UMESHITA N, KOBAYASHI T C. Observation of superconductivity and its enhancement at the charge density wave critical point in LaAgSb2 [J]. Physical Review B, 2022, 106(16): L161113. doi: 10.1103/PhysRevB.106.L161113 [20] AKIBA K, NISHIMORI H, UMESHITA N, et al. Successive destruction of charge density wave states by pressure in LaAgSb2 [J]. Physical Review B, 2021, 103(8): 085134. doi: 10.1103/PhysRevB.103.085134 [21] SOLOGUB O, HIEBL K, ROGL P, et al. Ternary compounds REMSb2, RE≡La, Ce, Pr, Nd, Sm, Gd; M≡Mn, Zn, Cd; compound formation, crystal structure and magnetism [J]. Journal of Alloys and Compounds, 1995, 227(1): 40–43. doi: 10.1016/0925-8388(95)01619-8 [22] SALAMAKHA L P, MUDRYI S I. Crystal structure of the RZn1−xSb2 compounds (R=La, Ce) [J]. Journal of Alloys and Compounds, 2003, 359(1/2): 139–142. doi: 10.1016/S0925-8388(03)00189-0 [23] ZELINSKA O Y, MAR A. Structure and physical properties of rare-earth zinc antimonides REZn1–xSb2 (RE=La, Ce, Pr, Nd, Sm, Gd, Tb) [J]. Journal of Solid State Chemistry, 2006, 179(12): 3776–3783. doi: 10.1016/j.jssc.2006.08.011 [24] MOMMA K, IZUMI F. VESTA: a three-dimensional visualization system for electronic and structural analysis [J]. Journal of Applied Crystallography, 2008, 41(3): 653–658. doi: 10.1107/s0021889808012016 [25] XIANG Y, LI Q, LI Y K, et al. Twofold symmetry of c-axis resistivity in topological Kagome superconductor CsV3Sb5 with in-plane rotating magnetic field [J]. Nature Communications, 2021, 12(1): 6727. doi: 10.1038/s41467-021-27084-z [26] MAO H K, XU J, BELL P M. Calibration of the ruby pressure gauge to 800 kbar under quasi-hydrostatic conditions [J]. Journal of Geophysical Research: Solid Earth, 1986, 91(B5): 4673–4676. doi: 10.1029/JB091iB05p04673 [27] RIETVELD H M. A profile refinement method for nuclear and magnetic structures [J]. Journal of Applied Crystallography, 1969, 2(2): 65–71. doi: 10.1107/S0021889869006558 [28] PAVLOSIUK O, KACZOROWSKI D. Galvanomagnetic properties of the putative type-Ⅱ Dirac semimetal PtTe2 [J]. Scientific Reports, 2018, 8(1): 11297. doi: 10.1038/s41598-018-29545-w [29] BIRCH F. Finite strain isotherm and velocities for single-crystal and polycrystalline NaCl at high pressures and 300 °K [J]. Journal of Geophysical Research: Solid Earth, 1978, 83(B3): 1257–1268. doi: 10.1029/JB083iB03p01257 [30] LI M T, ZHANG D J, HAN J, et al. Pressure-tuning structural and electronic transitions in semimetal CoSb [J]. Physical Review B, 2021, 104(5): 054511. doi: 10.1103/PhysRevB.104.054511 [31] LI Q, SI J, DUAN T F, et al. Synthesis, structure, and physical properties of bilayer molybdate Sr3Mo2O7 with flat-band [J]. Philosophical Magazine, 2020, 100(18): 2402–2415. doi: 10.1080/14786435.2020.1766709 -

下载: