Synthesis and Superconductivity of the Ternary Hydrides (Th,Y)H10
-
摘要: 近年来,氢基超导体在高压下实现的近室温超导引起了广泛关注,然而,大多数具有高超导转变温度(Tc)的氢化物需要在极高的压力下才能稳定,极大地限制了其应用潜力。为此,提出了在三元Th-Y-H体系中探索中等压力下获得高Tc超导体的可能性。利用金刚石对顶砧,结合原位激光加热技术,以钍(Th)、氢化钇(YH3)和氨硼烷(NH3BH3)为前驱体,在高温高压条件下合成了Th-Y-H三元氢化物。结合同步辐射X射线衍射测量与理论研究结果,确定其主要产物为立方相的(Th,Y)H10,其中Y的占比为10%~15%。电输运测量结果显示,相近压力下其Tc较ThH10提升约10%,在144 GPa下样品的Tc最高可达184 K,且在降压至100 GPa时仍可达170 K,接近该压力下已知氢化物的最高Tc纪录。外加磁场下的测试进一步证实了超导的存在,并基于WHH模型和GL模型估算其上临界场分别为52和39 T。研究结果表明,Th-Y-H是具有优异超导性的三元超导材料体系,通过在二元体系中合理引入新的元素,可有效调控晶体稳定性和电子性质,为在中等压力甚至低压下探索高Tc超导氢化物提供了新的思路与实验依据。Abstract: Recent achieved superconductivity near room temperature, especially in hydrogen-based superconductors under high pressure, have attracted broad interest. However, most systems with high superconducting critical temperature (Tc) are only stable under extremely high pressures, which limits their practical applicability. This study proposes the possibility of obtaining high-Tc superconductors at moderate pressures within the ternary Th-Y-H system. The synthesis was carried out using Th, YH3, and NH3BH3 as precursors under high pressure and high temperature, applied by diamond anvil cells combined with in-situ laser heating technology. Combining with the synchrotron X-ray diffraction (XRD) measurements and theoretical studies, the main product was identified as Fm$ \overline{3} $m (Th,Y)H10, with Y accounting for approximately 10%−15%. Electrical transport measurements reveal that its Tc increases by approximately 10%, compared to ThH10 under similar pressure. At 144 GPa, the sample has a maximum Tc of 184 K, which remains at 170 K when decompressed to 100 GPa—approaching the highest level known for hydrides at this pressure. Measurements under an applied magnetic field further verify the superconductivity, with upper critical fields estimated at 52 and 39 T based on the WHH and GL models, respectively. These results indicate that the ternary Th-Y-H superconducting system is an outstanding candidate for high-Tc superconductors, and the crystal stability and electronic properties can be effectively controlled by reasonably introducing new element into the binary system. This work provides new insights and experimental evidences for exploring high-Tc superconducting hydrides under moderate or even low pressures.
-
图 2 样品体积随压力的变化趋势(实心符号代表本工作的合成样品,空心符号代表文献[20]中的实验结果,虚线为理论计算的不同相的体积-压力曲线)
Figure 2. Pressure-dependence of volume per f. u. of samples (The solid symbols represent the samples synthesized in this work, the hollow symbols represent the experimental results from the Ref. [20], and the dashed lines are the volume-pressure curves of different phases calculated theoretically.)
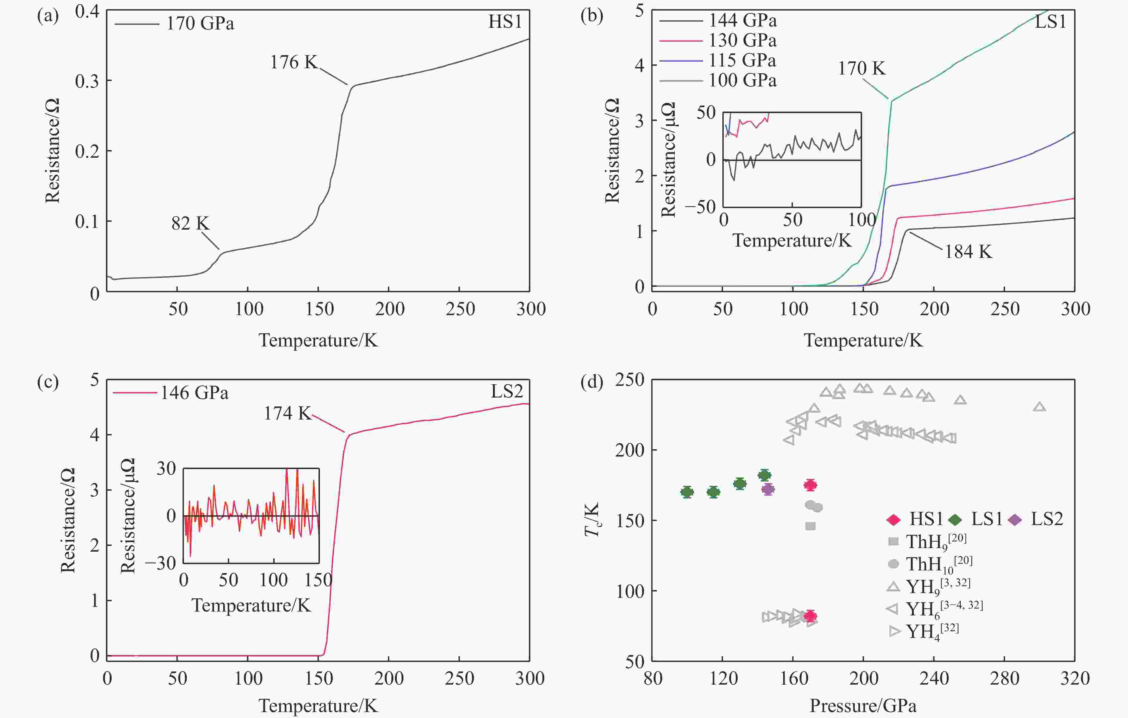
图 3 不同样品的电输运测量结果(a)~(c)以及样品在不同压力下的Tc变化趋势及其与二元体系的对比(d)( (b)、(c)中的插图为样品在低于Tc温度下的电输运测量结果,(d)中的彩色符号为本实验测量结果,灰色符号为其他工作中二元体系的实验测量结果[3–4, 20, 32])
Figure 3. Electrical transport measurements for different samples (a)−(c), and the trend of the extracted Tc with pressure and comparison with binary systems (d) (The insets in (b) and (c) show electrical transport measurements of the samples below Tc. The colored symbols in (d) represent results measured in this experiment, and the gray symbols represent the results measured in other studies on binary systems[3–4, 20, 32].)
-
[1] DROZDOV A P, KONG P P, MINKOV V S, et al. Superconductivity at 250 K in lanthanum hydride under high pressures [J]. Nature, 2019, 569(7757): 528–531. doi: 10.1038/s41586-019-1201-8 [2] SOMAYAZULU M, AHART M, MISHRA A K, et al. Evidence for superconductivity above 260 K in lanthanum superhydride at megabar pressures [J]. Physical Review Letters, 2019, 122(2): 027001. doi: 10.1103/PhysRevLett.122.027001 [3] KONG P P, MINKOV V S, KUZOVNIKOV M A, et al. Superconductivity up to 243 K in the yttrium-hydrogen system under high pressure [J]. Nature Communications, 2021, 12(1): 5075. doi: 10.1038/s41467-021-25372-2 [4] TROYAN I A, SEMENOK D V, KVASHNIN A G, et al. Anomalous high-temperature superconductivity in YH6 [J]. Advanced Materials, 2021, 33(15): 2006832. doi: 10.1002/adma.202006832 [5] MA L, WANG K, XIE Y, et al. High-temperature superconducting phase in clathrate calcium hydride CaH6 up to 215 K at a pressure of 172 GPa [J]. Physical Review Letters, 2022, 128(16): 167001. doi: 10.1103/PhysRevLett.128.167001 [6] LI Z W, HE X, ZHANG C L, et al. Superconductivity above 200 K discovered in superhydrides of calcium [J]. Nature Communications, 2022, 13(1): 2863. doi: 10.1038/s41467-022-30454-w [7] CHEN W H, SEMENOK D V, HUANG X L, et al. High-temperature superconducting phases in cerium superhydride with a Tc up to 115 K below a pressure of 1 megabar [J]. Physical Review Letters, 2021, 127(11): 117001. doi: 10.1103/PhysRevLett.127.117001 [8] SEMENOK D V, TROYAN I A, IVANOVA A G, et al. Superconductivity at 253 K in lanthanum-yttrium ternary hydrides [J]. Materials Today, 2021, 48: 18–28. doi: 10.1016/j.mattod.2021.03.025 [9] BI J, NAKAMOTO Y, ZHANG P, et al. Stabilization of superconductive La-Y alloy superhydride with Tc above 90 K at megabar pressure [J]. Materials Today Physics, 2022, 28: 100840. doi: 10.1016/J.MTPHYS.2022.100840 [10] SEMENOK D V, TROYAN I A, SADAKOV A V, et al. Effect of magnetic impurities on superconductivity in LaH10 [J]. Advanced Materials, 2022, 34(42): 2204038. doi: 10.1002/adma.202204038 [11] CHEN W H, HUANG X L, SEMENOK D V, et al. Enhancement of superconducting properties in the La-Ce-H system at moderate pressures [J]. Nature Communications, 2023, 14(1): 2660. doi: 10.1038/s41467-023-38254-6 [12] SONG Y G, BI J K, NAKAMOTO Y, et al. Stoichiometric ternary superhydride LaBeH8 as a new template for high-temperature superconductivity at 110 K under 80 GPa [J]. Physical Review Letters, 2023, 130(26): 266001. doi: 10.1103/PhysRevLett.130.266001 [13] CHEN S, GUO J N, WANG Y L, et al. Synthesis and superconductivity in (La,Ca)H10 under high pressure [J]. Physical Review B, 2024, 109(22): 224510. doi: 10.1103/PhysRevB.109.224510 [14] CHEN S, QIAN Y C, HUANG X L, et al. High-temperature superconductivity up to 223 K in the Al stabilized metastable hexagonal lanthanum superhydride [J]. National Science Review, 2024, 11(1): nwad107. doi: 10.1093/nsr/nwad107 [15] SONG X X, HAO X K, WEI X D, et al. Superconductivity above 105 K in nonclathrate ternary lanthanum borohydride below megabar pressure [J]. Journal of the American Chemical Society, 2024, 146(20): 13797–13804. doi: 10.1021/jacs.3c14205 [16] SEMENOK D V, TROYAN I A, ZHOU D, et al. Ternary superhydrides under pressure of anderson’s theorem: near-record superconductivity in (La,Sc)H12 [J]. Advanced Functional Materials, 2025, 35(42): 2504748. doi: 10.1002/adfm.202504748 [17] BI J K, NAKAMOTO Y, ZHANG P Y, et al. Giant enhancement of superconducting critical temperature in substitutional alloy (La,Ce)H9 [J]. Nature Communications, 2022, 13(1): 5952. doi: 10.1038/s41467-022-33743-6 [18] ZHANG K X, CHEN W H, ZHANG Y C, et al. High-pressure synthesis of a ternary yttrium-sulfur hydride superconductor with a high Tc of approximately 235 K [J]. Science China Physics, Mechanics & Astronomy, 2024, 67(3): 238211. [19] ZHANG K X, GUO J N, WANG Y L, et al. Robust superconducting stability of ternary hydride Im $ {\overline{3}} $m (Y,Ca)H6 upon decompression [J]. Chinese Physics Letters, 2025, 42(11): 110704. doi: 10.1088/0256-307X/42/11/110704 [20] SEMENOK D V, KVASHNIN A G, IVANOVA A G, et al. Superconductivity at 161 K in thorium hydride ThH10: synthesis and properties [J]. Materials Today, 2020, 33: 36–44. doi: 10.1016/j.mattod.2019.10.005 [21] KVASHNIN A G, SEMENOK D V, KRUGLOV I A, et al. High-temperature superconductivity in a Th-H system under pressure conditions [J]. ACS Applied Materials & Interfaces, 2018, 10(50): 43809–43816. doi: 10.1021/acsami.8b17100 [22] GHAFFAR A, SONG P, MAEZONO R, et al. Theoretical insights into high-Tc superconductivity of structurally ordered YThH18: a first-principles study [J]. ACS Omega, 2024, 9(50): 49470–49479. doi: 10.1021/acsomega.4c07199 [23] WANG X Y, ZHANG C Q, WANG Z Y, et al. Discovery of high-temperature superconducting ternary hydrides via deep learning [PP/OL]. arXiv (2025-02-23)[2025-11-26]. https://arxiv.org/abs/2502.16558. [24] JIANG B W, LUO X S, SUN Y, et al. Data-driven search for high-temperature superconductors in ternary hydrides under pressure [J]. Physical Review B, 2025, 111(5): 054505. doi: 10.1103/PhysRevB.111.054505 [25] AKAHAMA Y, KAWAMURA H. Pressure calibration of diamond anvil raman gauge to 310 GPa [J]. Journal of Applied Physics, 2006, 100(4): 043516. doi: 10.1063/1.2335683 [26] BAER B J, CHANG M E, EVANS W J. Raman shift of stressed diamond anvils: pressure calibration and culet geometry dependence [J]. Journal of Applied Physics, 2008, 104(3): 034504. doi: 10.1063/1.2963360 [27] PRESCHER C, PRAKAPENKA V B. DIOPTAS: a program for reduction of two-dimensional X-ray diffraction data and data exploration [J]. High Pressure Research, 2015, 35(3): 223–230. doi: 10.1080/08957959.2015.1059835 [28] TOBY B H. EXPGUI, a graphical user interface for GSAS [J]. Journal of Applied Crystallography, 2001, 34(2): 210–213. doi: 10.1107/S0021889801002242 [29] PERDEW J P, CHEVARY J A, VOSKO S H, et al. Atoms, molecules, solids, and surfaces: applications of the generalized gradient approximation for exchange and correlation [J]. Physical Review B, 1992, 46(11): 6671–6687. doi: 10.1103/PhysRevB.46.6671 [30] KRESSE G, FURTHMÜLLER J. Efficient iterative schemes for ab initio total-energy calculations using a plane-wave basis set [J]. Physical Review B, 1996, 54(16): 11169–11186. doi: 10.1103/PhysRevB.54.11169 [31] BLÖCHL P E. Projector augmented-wave method [J]. Physical Review B, 1994, 50(24): 17953–17979. doi: 10.1103/PhysRevB.50.17953 [32] WANG Y Y, WANG K, SUN Y, et al. Synthesis and superconductivity in yttrium superhydrides under high pressure [J]. Chinese Physics B, 2022, 31(10): 106201. doi: 10.1088/1674-1056/ac872e [33] HELFAND E, WERTHAMER N R. Temperature and purity dependence of the superconducting critical field, Hc2 Ⅱ [J]. Physical Review, 1966, 147(1): 288–294. doi: 10.1103/physrev.147.288 [34] GINZBURG V L, LANDAU L D. On the theory of superconductivity [J]. Zhurnal Eksperimental'noi i Teroreticheskoi Fiziki, 1950, 20: 1064–1082. doi: 10.1142/9789814261616_0001 [35] MARQUEÑO T, OSMOND I, KUZOVNIKOV M A, et al. Synthesis of Na3WH9 and Na3ReH8 ternary hydrides at high pressures [J]. Inorganic Chemistry, 2024, 63(45): 21734–21741. doi: 10.1021/acs.inorgchem.4c02691 -

下载: