Viscosity of Iron-Sulfur Alloy under the Conditions of the Earth Inner Core Calculated Based on the Neural Network Potential
-
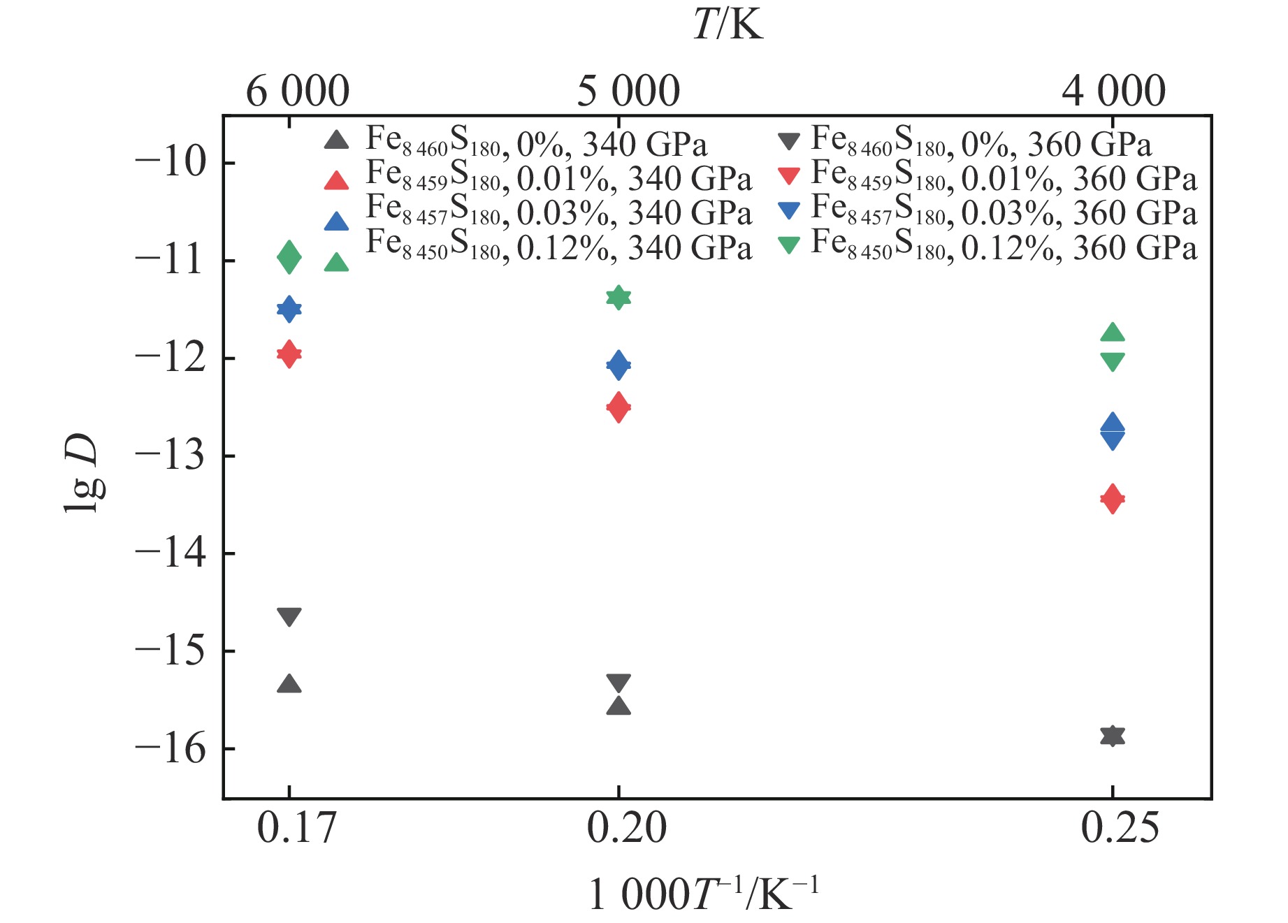
摘要: 地球内核的密度较纯铁低,表明其中存在轻元素。碳、氢、氧、硫、硅被认为是最可能存在于内核的轻元素。黏度是反映地球内核动力学和演化历史的关键物理量,对于地球内核波速各向异性的成因具有重要影响。前人已对内核条件下纯铁的六方密堆积(hexagonal close-packed, HCP)相和体心立方(body-centered cubic, BCC)相的黏度进行了模拟计算。然而,目前仍然缺乏针对地球内核中轻元素对地球内核黏度影响的系统性研究。为此,构建了内核条件下铁-硫合金的神经网络势函数,利用该方法实现了对铁-硫体系的大规模分子动力学模拟,研究了空位浓度低至0.01%时对该合金离子输运性质的影响。利用晶格中铁的自扩散系数研究了内核铁-硫合金的蠕变机制和黏度,将地球内核条件下铁-硫合金的黏度限定为1×1014~2×1016 Pa·s,与自由核章动以及地震波观测结果一致。Abstract: The density of the Earth’s inner core is lower than that of pure iron, indicating the presence of light elements. Among the candidate elements, carbon, hydrogen, oxygen, sulfur, and silicon are considered the most likely. Viscosity is a key physical property controlling the dynamics and evolutionary history of the inner core, and it has significant implications for the origin of seismic anisotropy. Previous studies have investigated the viscosity of pure iron in its hexagonal close-packed (HCP) and body-centered cubic (BCC) phases under inner-core conditions through computational simulations. However, the influence of light elements on the viscosity of the inner core remains insufficiently constrained. In this study, we constructed a neural network potential (NNP) for Fe-S alloy under inner-core conditions and employed it to perform large-scale molecular dynamics simulations. We systematically examined the impact of vacancy concentrations as low as 0.01% on the ionic transport properties of Fe-S alloy. Based on the self-diffusion coefficients of Fe in the lattice, we further explored the creep mechanisms and viscosity of Fe-S alloy under core conditions. Our results indicate that dislocation creep dominates the rheological behavior, yielding viscosities of 1×1014–2×1016 Pa·s, consistent with constraints from free-core nutation and seismic observations.
-
图 10 340和 360 GPa条件下不同蠕变模型预测的黏度结果(粉色区域表示自由核章动对地球内核黏度的约束[85],绿色区域表示核幔引力耦合对地球内核黏度的约束[84])
Figure 10. Viscosities predicted by different creap models at 340 and 360 GPa (The pink region represents the constraint on inner-core viscosity from free-core nutation[85], while the green region denotes the constraint from core-mantle gravitational coupling[84].)
表 1 不同训练模型的参数
Table 1. Parameters of different training model
Model Descriptor Rcut_smth/Å Rcut/Å Neuron Learning rate type Start_lr DP-GEN se_e2_a 1.5 6.0 [240, 240, 240] Exp. 0.001 DeePMD-kit se_e2_a 1.5 6.0 [240, 240, 240] Exp. 0.001 Model Stop_lr Start_pref_e Limit_pref_e Start_pref_f Limit_pref_f Stop_batch DP-GEN 3.54×10–7 0.02 1 1000 1 8×105 DeePMD-kit 3.54×10–7 0.02 1 1000 1 1×107 -
[1] ROSENBLATT F. The perceptron: a probabilistic model for information storage and organization in the brain [J]. Psychological Review, 1958, 65(6): 386–408. doi: 10.1037/h0042519 [2] RUMELHART D E, HINTON G E, WILLIAMS R J. Learning representations by back-propagating errors [J]. Nature, 1986, 323(6088): 533–536. doi: 10.1038/323533a0 [3] HINTON G E, SALAKHUTDINOV R R. Reducing the dimensionality of data with neural networks [J]. Science, 2006, 313(5786): 504–507. doi: 10.1126/science.1127647 [4] 朱玉富, 赵春风, 周志航. 基于机器学习的钢筋混凝土板在爆炸作用下的最大位移预测模型 [J]. 高压物理学报, 2023, 37(2): 024205. doi: 10.11858/gywlxb.20220667ZHU Y F, ZHAO C F, ZHOU Z H. Prediction model of maximum displacement for RC slabs under blast load based on machine learning [J]. Chinese Journal of High Pressure Physics, 2023, 37(2): 024205. doi: 10.11858/gywlxb.20220667 [5] 姬广富. 极端条件下含能材料的模拟研究思考 [J]. 高压物理学报, 2025, 39(1): 010102. doi: 10.11858/gywlxb.20240911JI G F. Some viewpoints on the simulation research of energetic materials under extreme conditions [J]. Chinese Journal of High Pressure Physics, 2025, 39(1): 010102. doi: 10.11858/gywlxb.20240911 [6] 邓溥, 侯瑞, 赵英亮, 等. 消失的石英-柯石英路径: 基于机器学习模拟的二氧化硅相变机理探究 [J]. 高压物理学报, 2026, 40(1): 010104. doi: 10.11858/gywlxb.20251122DENG P, HOU R, ZHAO Y L, et al. The disappearing quartz-coesite path: the phase transition mechanism of silicon dioxide from machine learning simulations [J]. Chinese Journal of High Pressure Physics, 2026, 40(1): 010104. doi: 10.11858/gywlxb.20251122 [7] 李君, 宋佳和, 季伟, 等. 碳化硼陶瓷动态力学行为与延展性增强机制的深度势能分子动力学研究进展 [J]. 高压物理学报, 2025, 39(11): 110102. doi: 10.11858/gywlxb.20251129LI J, SONG J H, JI W, et al. Dynamical mechanical behaviors and enhanced ductility mechanisms of boron carbide based on deep potential molecular dynamics simulations [J]. Chinese Journal of High Pressure Physics, 2025, 39(11): 110102. doi: 10.11858/gywlxb.20251129 [8] 何宇, 孙士川, 李和平. 地球内核超离子态铁合金及其效应 [J]. 高压物理学报, 2024, 38(3): 030202. doi: 10.11858/gywlxb.20240707HE Y, SUN S C, LI H P. Superionic iron alloys in Earth’s inner core and their effects [J]. Chinese Journal of High Pressure Physics, 2024, 38(3): 030202. doi: 10.11858/gywlxb.20240707 [9] ZHANG Y J, WANG Y, HUANG Y Q, et al. Collective motion in hcp-Fe at Earth’s inner core conditions [J]. Proceedings of the National Academy of Sciences of the United States of America, 2023, 120(41): e2309952120. doi: 10.1073/pnas.2309952120 [10] 曾启昱, 陈博, 康冬冬, 等. 大规模、量子精度的分子动力学模拟: 以极端条件液态铁为例 [J]. 物理学报, 2023, 72(18): 187102. doi: 10.7498/aps.72.20231258ZENG Q Y, CHEN B, KANG D D, et al. Large scale and quantum accurate molecular dynamics simulation: liquid iron under extreme condition [J]. Acta Physica Sinica, 2023, 72(18): 187102. doi: 10.7498/aps.72.20231258 [11] UNKE O T, CHMIELA S, GASTEGGER M, et al. SpookyNet: learning force fields with electronic degrees of freedom and nonlocal effects [J]. Nature Communications, 2021, 12(1): 7273. doi: 10.1038/s41467-021-27504-0 [12] BATATIA I, KOVÁCS D P, SIMM G N C, et al. MACE: higher order equivariant message passing neural networks for fast and accurate force fields [C]//Proceedings of the 36th International Conference on Neural Information Processing Systems. New Orleans: Curran Associates Inc., 2022: 830. [13] SMITH J S, ISAYEV O, ROITBERG A E. ANI-1: an extensible neural network potential with DFT accuracy at force field computational cost [J]. Chemical Science, 2017, 8(4): 3192–3203. doi: 10.1039/C6SC05720A [14] MUELLER T, HERNANDEZ A, WANG C H. Machine learning for interatomic potential models [J]. The Journal of Chemical Physics, 2020, 152(5): 050902. doi: 10.1063/1.5126336 [15] SCHÜTT K T, SAUCEDA H E, KINDERMANS P J, et al. SchNet—a deep learning architecture for molecules and materials [J]. The Journal of Chemical Physics, 2018, 148(24): 241722. doi: 10.1063/1.5019779 [16] BATZNER S, MUSAELIAN A, SUN L X, et al. E(3)-equivariant graph neural networks for data-efficient and accurate interatomic potentials [J]. Nature Communications, 2022, 13(1): 2453. doi: 10.1038/s41467-022-29939-5 [17] ZHANG L F, HAN J Q, WANG H, et al. Deep potential molecular dynamics: a scalable model with the accuracy of quantum mechanics [J]. Physical Review Letters, 2018, 120(14): 143001. doi: 10.1103/PhysRevLett.120.143001 [18] WU F L, WU S Q, WANG C Z, et al. Melting temperature of iron under the Earth’s inner core condition from deep machine learning [J]. Geoscience Frontiers, 2024, 15(6): 101925. doi: 10.1016/j.gsf.2024.101925 [19] WU F L, SUN Y, WAN T Q, et al. Deep-learning-based prediction of the tetragonal → cubic transition in davemaoite [J]. Geophysical Research Letters, 2024, 51(12): e2023GL108012. doi: 10.1029/2023GL108012 [20] PENG Y H, DENG J. Thermal conductivity of MgSiO3-H2O system determined by machine learning potentials [J]. Geophysical Research Letters, 2024, 51(5): e2023GL107245. doi: 10.1029/2023GL107245 [21] WAN T Q, LUO C X, SUN Y, et al. Thermoelastic properties of bridgmanite using deep-potential molecular dynamics [J]. Physical Review B, 2024, 109(9): 094101. doi: 10.1103/PhysRevB.109.094101 [22] DENG J. Large-scale atomistic simulations of magnesium oxide exsolution driven by machine learning potentials: implications for the early geodynamo [J]. Geophysical Research Letters, 2024, 51(16): e2024GL109793. doi: 10.1029/2024GL109793 [23] YUAN L, STEINLE-NEUMANN G. Hydrogen distribution between the Earth’s inner and outer core [J]. Earth and Planetary Science Letters, 2023, 609: 118084. doi: 10.1016/j.jpgl.2023.118084 [24] SUN S C, HE Y, YANG J Y, et al. Superionic effect and anisotropic texture in Earth’s inner core driven by geomagnetic field [J]. Nature Communications, 2023, 14(1): 1656. doi: 10.1038/s41467-023-37376-1 [25] DENG J, NIU H Y, HU J W, et al. Melting of MgSiO3 determined by machine learning potentials [J]. Physical Review B, 2023, 107: 064103. doi: 10.1103/PhysRevB.107.064103 [26] LI Z, SCANDOLO S. Elasticity and viscosity of hcp iron at Earth’s inner core conditions from machine learning-based large-scale atomistic simulations [J]. Geophysical Research Letters, 2022, 49(24): e2022GL101161. doi: 10.1029/2022GL101161 [27] YANG F H, ZENG Q Y, CHEN B, et al. Lattice thermal conductivity of MgSiO3 perovskite and post-perovskite under lower mantle conditions calculated by deep potential molecular dynamics [J]. Chinese Physics Letters, 2022, 39(11): 116301. doi: 10.1088/0256-307X/39/11/116301 [28] DENG J, STIXRUDE L. Thermal conductivity of silicate liquid determined by machine learning potentials [J]. Geophysical Research Letters, 2021, 48(17): e2021GL093806. doi: 10.1029/2021GL093806 [29] LUO H Y, KARKI B B, GHOSH D B, et al. Anomalous behavior of viscosity and electrical conductivity of MgSiO3 melt at mantle conditions [J]. Geophysical Research Letters, 2021, 48(13): e2021GL093573. doi: 10.1029/2021GL093573 [30] FU J, CAO L Z, DUAN X M, et al. Density and sound velocity of liquid Fe-S alloys at Earth’s outer core p-T conditions [J]. American Mineralogist, 2020, 105(9): 1349–1354. doi: 10.2138/am-2020-7349 [31] THOMPSON S, KOMABAYASHI T, BRETON H, et al. Compression experiments to 126 GPa and 2 500 K and thermal equation of state of Fe3S: implications for sulphur in the Earth’s core [J]. Earth and Planetary Science Letters, 2020, 534: 116080. doi: 10.1016/j.jpgl.2020.116080 [32] KAMADA S, OHTANI E, FUKUI H, et al. The sound velocity measurements of Fe3S [J]. American Mineralogist, 2014, 99(1): 98–251. doi: 10.2138/am.2014.4463 [33] HUANG H J, WU S J, HU X J, et al. Shock compression of Fe-FeS mixture up to 204 GPa [J]. Geophysical Research Letters, 2013, 40(4): 687–691. doi: 10.1002/grl.50180 [34] SEAGLE C T, CAMPBELL A J, HEINZ D L, et al. Thermal equation of state of Fe3S and implications for sulfur in Earth’s core [J]. Journal of Geophysical Research: Solid Earth, 2006, 111(B6): B06209. doi: 10.1029/2005JB004091 [35] DEUSS A. Heterogeneity and anisotropy of Earth’s inner core [J]. Annual Review of Earth and Planetary Sciences, 2014, 42(1): 103–126. doi: 10.1146/annurev-earth-060313-054658 [36] LI Y G, VOČADLO L, BRODHOLT J P. The elastic properties of hcp-Fe alloys under the conditions of the Earth’s inner core [J]. Earth and Planetary Science Letters, 2018, 493: 118–127. doi: 10.1016/j.jpgl.2018.04.013 [37] BERENDSEN H J C, VAN DER SPOEL D, VAN DRUNEN R. GROMACS: a message-passing parallel molecular dynamics implementation [J]. Computer Physics Communications, 1995, 91(1/2/3): 43–56. doi: 10.1016/0010-4655(95)00042-E [38] THOMPSON A P, AKTULGA H M, BERGER R, et al. LAMMPS—a flexible simulation tool for particle-based materials modeling at the atomic, meso, and continuum scales [J]. Computer Physics Communications, 2022, 271: 108171. doi: 10.1016/j.cpc.2021.108171 [39] LABROSSE S, MACOUIN M. The inner core and the geodynamo La graine et la géodynamo [J]. Comptes Rendus Geoscience, 2003, 335(1): 37–50. doi: 10.1016/S1631-0713(03)00013-0 [40] FIQUET G, GUYOT F, BADRO J. The Earth’s lower mantle and core [J]. Elements, 2008, 4(3): 177–182. doi: 10.2113/GSELEMENTS.4.3.177 [41] BELONOSHKO A B, SKORODUMOVA N V, ROSENGREN A, et al. Elastic anisotropy of Earth’s inner core [J]. Science, 2008, 319(5864): 797–800. doi: 10.1126/science.1150302 [42] TANAKA S. Depth extent of hemispherical inner core from PKP(DF) and PKP(Cdiff) for equatorial paths [J]. Physics of the Earth and Planetary Interiors, 2012, 210/211: 50–62. doi: 10.1016/j.pepi.2012.08.001 [43] FROST D A, LASBLEIS M, CHANDLER B, et al. Dynamic history of the inner core constrained by seismic anisotropy [J]. Nature Geoscience, 2021, 14(7): 531–535. doi: 10.1038/s41561-021-00761-w [44] MONNEREAU M, CALVET M, MARGERIN L, et al. Lopsided growth of Earth’s inner core [J]. Science, 2010, 328(5981): 1014–1017. doi: 10.1126/science.1186212 [45] MORELLI A, DZIEWOŃSKI A M, WOODHOUSE J H. Anisotropy of the inner core inferred from PKIKP travel times [J]. Geophysical Research Letters, 1986, 13(13): 1545–1548. doi: 10.1029/GL013i013p01545 [46] SU W J, DZIEWOŃSKI A M. Inner core anisotropy in three dimensions [J]. Journal of Geophysical Research: Solid Earth, 1995, 100(B6): 9831–9852. doi: 10.1029/95JB00746 [47] ISHII M, DZIEWOŃSKI A M. The innermost inner core of the Earth: evidence for a change in anisotropic behavior at the radius of about 300 km [J]. Proceedings of the National Academy of Sciences of the United States of America, 2002, 99(22): 14026–14030. doi: 10.1073/pnas.172508499 [48] SUN X L, SONG X D. The inner inner core of the Earth: texturing of iron crystals from three-dimensional seismic anisotropy [J]. Earth and Planetary Science Letters, 2008, 269(1/2): 56–65. doi: 10.1016/j.jpgl.2008.01.049 [49] PHẠM T S, TKALČIĆ H. Up-to-fivefold reverberating waves through the Earth’s center and distinctly anisotropic innermost inner core [J]. Nature Communications, 2023, 14(1): 754. doi: 10.1038/s41467-023-36074-2 [50] NIU F L, WEN L X. Hemispherical variations in seismic velocity at the top of the Earth’s inner core [J]. Nature, 2001, 410(6832): 1081–1084. doi: 10.1038/35074073 [51] IRVING J C E, DEUSS A. Hemispherical structure in inner core velocity anisotropy [J]. Journal of Geophysical Research, 2011, 116(B4): B04307. doi: 10.1029/2010JB007942 [52] WASZEK L, DEUSS A. Distinct layering in the hemispherical seismic velocity structure of Earth’s upper inner core [J]. Journal of Geophysical Research, 2011, 116(B12): B12313. doi: 10.1029/2011JB008650 [53] BRETT H, DEUSS A. Inner core anisotropy measured using new ultra-polar PKIKP paths [J]. Geophysical Journal International, 2020, 223(2): 1230–1246. doi: 10.1093/gji/ggaa348 [54] WEN L X, NIU F L. Seismic velocity and attenuation structures in the top of the Earth’s inner core [J]. Journal of Geophysical Research: Solid Earth, 2002, 107(B11): 2273. doi: 10.1029/2001JB000170 [55] TANAKA S, HAMAGUCHI H. Degree one heterogeneity and hemispherical variation of anisotropy in the inner core from PKP(BC)–PKP(DF) times [J]. Journal of Geophysical Research: Solid Earth, 1997, 102(B2): 2925–2938. doi: 10.1029/96JB03187 [56] CREAGER K C. Large-scale variations in inner core anisotropy [J]. Journal of Geophysical Research: Solid Earth, 1999, 104(B10): 23127–23139. doi: 10.1029/1999JB900162 [57] LYTHGOE K H, DEUSS A, RUDGE J F, et al. Earthʼs inner core: innermost inner core or hemispherical variations? [J]. Earth and Planetary Science Letters, 2014, 385: 181–189. doi: 10.1016/j.jpgl.2013.10.049 [58] GARCIA R, SOURIAU A. Inner core anisotropy and heterogeneity level [J]. Geophysical Research Letters, 2000, 27(19): 3121–3124. doi: 10.1029/2000GL008520 [59] YU W C, WEN L X. Seismic velocity and attenuation structures in the top 400 km of the Earth’s inner core along equatorial paths [J]. Journal of Geophysical Research: Solid Earth, 2006, 111(B7): B07308. doi: 10.1029/2005JB003995 [60] ORESHIN S I, VINNIK L P. Heterogeneity and anisotropy of seismic attenuation in the inner core [J]. Geophysical Research Letters, 2004, 31(2): L02613. doi: 10.1029/2003GL018591 [61] JACKSON I, GERALD J D F, KOKKONEN H. High-temperature viscoelastic relaxation in iron and its implications for the shear modulus and attenuation of the Earth’s inner core [J]. Journal of Geophysical Research: Solid Earth, 2000, 105(B10): 23605–23634. doi: 10.1029/2000JB900131 [62] GLEASON A E, MAO W L. Strength of iron at core pressures and evidence for a weak Earth’s inner core [J]. Nature Geoscience, 2013, 6(7): 571–574. doi: 10.1038/ngeo1808 [63] NISHIHARA Y, DOI S, TSUJINO N, et al. Rheology of hexagonal close-packed (hcp) iron [J]. Journal of Geophysical Research: Solid Earth, 2023, 128(6): e2022JB026165. doi: 10.1029/2022JB026165 [64] VAN ORMAN J A. On the viscosity and creep mechanism of Earth’s inner core [J]. Geophysical Research Letters, 2004, 31(20): L20606. doi: 10.1029/2004GL021209 [65] REAMAN D M, COLIJN H O, YANG F Y, et al. Interdiffusion of Earth’s core materials to 65 GPa and 2 200 K [J]. Earth and Planetary Science Letters, 2012, 349/350: 8–14. doi: 10.1016/j.jpgl.2012.06.053 [66] RITTERBEX S, TSUCHIYA T. Viscosity of hcp iron at Earth’s inner core conditions from density functional theory [J]. Scientific Reports, 2020, 10(1): 6311. doi: 10.1038/s41598-020-63166-6 [67] BELONOSHKO A B, FU J, BRYK T, et al. Low viscosity of the Earth’s inner core [J]. Nature Communications, 2019, 10(1): 2483. doi: 10.1038/s41467-019-10346-2 [68] SUN Y, ZHANG F, MENDELEV M I, et al. Two-step nucleation of the Earth’s inner core [J]. Proceedings of the National Academy of Sciences of the United States of America, 2022, 119(2): e2113059119. doi: 10.1073/pnas.2113059119 [69] BOUJIBAR A, ANDRAULT D, BOUHIFD M A, et al. Metal-silicate partitioning of sulphur, new experimental and thermodynamic constraints on planetary accretion [J]. Earth and Planetary Science Letters, 2014, 391: 42–54. doi: 10.1016/j.jpgl.2014.01.021 [70] ZHANG Z G, CSÁNYI G, ALFÈ D. Partitioning of sulfur between solid and liquid iron under Earth’s core conditions: constraints from atomistic simulations with machine learning potentials [J]. Geochimica et Cosmochimica Acta, 2020, 291: 5–18. doi: 10.1016/j.gca.2020.03.028 [71] ZURKOWSKI C C, LAVINA B, BRAUSER N M, et al. Pressure-induced C23–C37 transition and compression behavior of orthorhombic Fe2S to Earth’s core pressures and high temperatures [J]. American Mineralogist, 2022, 107(10): 1878–1885. doi: 10.2138/am-2022-8187 [72] THOMPSON S, SUGIMURA-KOMABAYASHI E, KOMABAYASHI T, et al. High-pressure melting experiments of Fe3S and a thermodynamic model of the Fe-S liquids for the Earth’s core [J]. Journal of Physics: Condensed Matter, 2022, 34(39): 394003. doi: 10.1088/1361-648X/ac8263 [73] ZURKOWSKI C C, LAVINA B, CASE A, et al. Fe5S2 identified as a host of sulfur in Earth and planetary cores [J]. Earth and Planetary Science Letters, 2022, 593: 117650. doi: 10.1016/j.jpgl.2022.117650 [74] OKA K, TATENO S, KUWAYAMA Y, et al. A cotunnite-type new high-pressure phase of Fe2S [J]. American Mineralogist, 2022, 107(7): 1249–1253. doi: 10.2138/am-2022-7959 [75] ZHANG Y Z, WANG H D, CHEN W J, et al. DP-GEN: a concurrent learning platform for the generation of reliable deep learning based potential energy models [J]. Computer Physics Communications, 2020, 253: 107206. doi: 10.1016/j.cpc.2020.107206 [76] XU Y F, HE Y, SUN S C, et al. Viscosities of hcp iron alloys under Earth’s inner core conditions [J]. Geoscience Frontiers, 2025, 16(1): 101935. doi: 10.1016/j.gsf.2024.101935 [77] HIREL P. Atomsk: a tool for manipulating and converting atomic data files [J]. Computer Physics Communications, 2015, 197: 212–219. doi: 10.1016/j.cpc.2015.07.012 [78] VIDALE J E, WANG W, WANG R Y, et al. Annual-scale variability in both the rotation rate and near surface of Earth’s inner core [J]. Nature Geoscience, 2025, 18(3): 267–272. doi: 10.1038/s41561-025-01642-2 [79] BERGMAN M I. Estimates of the Earth’s inner core grain size [J]. Geophysical Research Letters, 1998, 25(10): 1593–1596. doi: 10.1029/98GL01239 [80] KARATO S I. Seismic anisotropy of the Earth’s inner core resulting from flow induced by Maxwell stresses [J]. Nature, 1999, 402(6764): 871–873. doi: 10.1038/47235 [81] YAMAZAKI D, TSUJINO N, YONEDA A, et al. Grain growth of ε-iron: implications to grain size and its evolution in the Earth’s inner core [J]. Earth and Planetary Science Letters, 2017, 459: 238–243. doi: 10.1016/j.jpgl.2016.11.049 [82] REAMAN D M, DAEHN G S, PANERO W R. Predictive mechanism for anisotropy development in the Earth’s inner core [J]. Earth and Planetary Science Letters, 2011, 312(3/4): 437–442. doi: 10.1016/j.jpgl.2011.10.038 [83] BLUM W, MAIER W. Harper-Dorn creep—a myth? [J]. Physica Status Solidi (A), 1999, 171(2): 467–474. doi: 10.1002/(SICI)1521-396X(199902)171:2<467::AID-PSSA467>3.0.CO;2-8 [84] DUMBERRY M, BLOXHAM J. Inner core tilt and polar motion [J]. Geophysical Journal International, 2002, 151(2): 377–392. doi: 10.1046/j.1365-246X.2002.01756.x [85] KOOT L, DUMBERRY M. Viscosity of the Earth’s inner core: constraints from nutation observations [J]. Earth and Planetary Science Letters, 2011, 308(3/4): 343–349. doi: 10.1016/j.jpgl.2011.06.004 [86] GLATZMAIERS G A, ROBERTS P H. A three-dimensional self-consistent computer simulation of a geomagnetic field reversal [J]. Nature, 1995, 377(6546): 203–209. doi: 10.1038/377203a0 [87] SONG X D, RICHARDS P G. Seismological evidence for differential rotation of the Earth’s inner core [J]. Nature, 1996, 382(6588): 221–224. doi: 10.1038/382221a0 [88] BUFFETT B A. Geodynamic estimates of the viscosity of the Earth’s inner core [J]. Nature, 1997, 388(6642): 571–573. doi: 10.1038/41534 [89] JEANLOZ R, WENK H R. Convection and anisotropy of the inner core [J]. Geophysical Research Letters, 1988, 15(1): 72–75. doi: 10.1029/GL015i001p00072 [90] ALBOUSSIÈRE T, DEGUEN R, MELZANI M. Melting-induced stratification above the Earth’s inner core due to convective translation [J]. Nature, 2010, 466(7307): 744–747. doi: 10.1038/nature09257 [91] GOMI H, HIROSE K. Impurity resistivity of the Earth’s inner core [J]. Journal of Geophysical Research: Solid Earth, 2023, 128(11): e2023JB027097. doi: 10.1029/2023JB027097 -

下载: