碳化硼陶瓷动态力学行为与延展性增强机制的深度势能分子动力学研究进展

李君 宋佳和 季伟 刘立胜

李君, 宋佳和, 季伟, 刘立胜. 碳化硼陶瓷动态力学行为与延展性增强机制的深度势能分子动力学研究进展[J]. 高压物理学报, 2025, 39(11): 110102. doi: 10.11858/gywlxb.20251129
引用本文: 李君, 宋佳和, 季伟, 刘立胜. 碳化硼陶瓷动态力学行为与延展性增强机制的深度势能分子动力学研究进展[J]. 高压物理学报, 2025, 39(11): 110102. doi: 10.11858/gywlxb.20251129
LI Jun, SONG Jiahe, JI Wei, LIU Lisheng. Dynamical Mechanical Behaviors and Enhanced Ductility Mechanisms of Boron Carbide Based on Deep Potential Molecular Dynamics Simulations[J]. Chinese Journal of High Pressure Physics, 2025, 39(11): 110102. doi: 10.11858/gywlxb.20251129
Citation: LI Jun, SONG Jiahe, JI Wei, LIU Lisheng. Dynamical Mechanical Behaviors and Enhanced Ductility Mechanisms of Boron Carbide Based on Deep Potential Molecular Dynamics Simulations[J]. Chinese Journal of High Pressure Physics, 2025, 39(11): 110102. doi: 10.11858/gywlxb.20251129

碳化硼陶瓷动态力学行为与延展性增强机制的深度势能分子动力学研究进展

doi: 10.11858/gywlxb.20251129
基金项目: 国家自然科学基金(U2441215,52494933);湖北省自然科学基金(2024AFB220);中央高校基本科研业务费专项资金(104972025KFYjc0084)
详细信息
    作者简介:

    李 君(1992-),女,博士,教授,主要从事先进材料变形行为与机理的多尺度研究. E-mail:jun_li@whut.edu.cn

  • 中图分类号: O521.2; O347; O469

Dynamical Mechanical Behaviors and Enhanced Ductility Mechanisms of Boron Carbide Based on Deep Potential Molecular Dynamics Simulations

  • 摘要: 碳化硼作为典型的轻质高强陶瓷材料,在国防军事和航空航天等领域具有广阔的应用前景。然而,在强冲击载荷下,碳化硼中极易出现由二十面体破坏引起的纳米级局部非晶带,造成灾难性剪切失效。由于碳化硼局部非晶带的形成显著依赖于其微观结构,分子动力学模拟成为揭示其微观结构演化过程和机理的关键手段。然而,受限于传统作用势精度不足、开发难度高等问题,传统分子动力学在模拟碳化硼等复杂材料体系上面临着巨大的挑战。近年来,机器学习方法的发展为作用势开发提供了新的研究范式。在众多机器学习势中,基于深度神经网络的深度势能(deep potential,DP)模型应用尤为广泛。该模型既能保持与第一性原理计算相当的精度,又具备与传统分子动力学相媲美的效率,因此,成为研究复杂材料体系的有效方法。为此,系统阐述了DP方法在碳化硼陶瓷研究中的应用。首先,概述了DP模型的理论框架、开发流程以及碳化硼DP模型的构建和验证;随后,通过深度势能分子动力学模拟揭示了碳化硼陶瓷的力学响应及局部非晶化机理,并进一步阐明了微合金化、化学计量比调控、晶界工程以及缺陷调控等策略对碳化硼延展性的增强机制;最后,展望了DP模型在碳化硼等复杂材料体系研究中的应用前景。

     

  • 图  (a) B4C晶体结构,(b)~(d) 强冲击载荷下B4C的局部剪切非晶带[9]

    Figure  1.  (a) Crystal structure of B4C; (b)–(d) formation of localized amorphous shear band in B4C under impact[9]

    图  DP模型开发和应用的基本流程

    Figure  2.  Training and application processes of the DP model

    图  基于DPMD模拟得到的B4C在($01 \overline 1 $$ \overline 1 $)/($ \overline 1 101$)滑移系下的剪切变形过程[87]

    Figure  3.  Structures of B4C at different strains shearing along ($01 \overline 1 $$ \overline 1 $)/($ \overline 1 101$) slip system based on DPMD simulation[87]

    图  (a) 基于DPMD模拟得到的B4C的冲击Hugoniot曲线[81];(b) 基于DPMD模拟得到的不同冲击速度下B4C的微观结构演化过程(采用原子应变进行着色)[81]

    Figure  4.  (a) Shock Hugoniot curves of B4C based on DPMD simulation[81]; (b) microstructural evolution of B4C under different shock velocities based on DPMD simulation (The atoms were color-coded by the atomic strain)[81]

    图  基于DPMD模拟得到的B12P2在(111)/[$11 \overline 2 $]滑移系下的剪切变形行为[52]

    Figure  5.  Shear deformation behaviors of B12P2 along the (111)/[$11 \overline 2 $] slip system based on DPMD simulation[52]

    图  基于DPMD模拟得到的B12P2在(011)/[$2 \overline 1 $$ \overline 1 $]滑移系下的剪切变形行为[52]

    Figure  6.  Shear deformation behaviors of B12P2 along the (011)/[$2 \overline 1 $$ \overline 1 $] slip system based on DPMD simulation[52]

    图  (a) B12-CAlC的晶体结构和电子局域函数(ELF),(b) 基于DPMD模拟得到的B12-CAlC和B4C在不同滑移系下的应力-应变曲线[80]

    Figure  7.  (a) Crystal structure and the isosurface of electron localization function (ELF) of B12-CAlC; (b) shear stress-strain relationships of B12-CAlC and B4C under various slip systems based on DPMD simulation[80]

    图  在(011)/[$2 \overline 1 $$ \overline 1 $]剪切载荷下基于DPMD模拟得到的B12-CAlC的应力-应变曲线及微观结构演化过程[80]

    Figure  8.  Shear stress-strain relationship and the microstructural evolution of B12-CAlC along the (011)/[$2 \overline 1 $$ \overline 1 $] slip system based on DPMD simulations[80]

    图  实验表征得到的B12-CAlC表面附近位错形核及滑移(g表示位错滑移面,b为位错的伯格斯矢量)[91]

    Figure  9.  Dislocation nucleation and slip of B12-CAlC near surface based on experimental observation ( g represents the slip plane of the dislocation, b represents the Burgers vector of the dislocation.)[91]

    图  10  基于DPMD模拟得到的B12-CAlC纳米柱在拉伸载荷下的应力-应变曲线和微观结构演化过程[80]

    Figure  10.  Tensile stress-strain relationship and microstructural evolution of B12-CAlC nanopillar based on DPMD simulation[80]

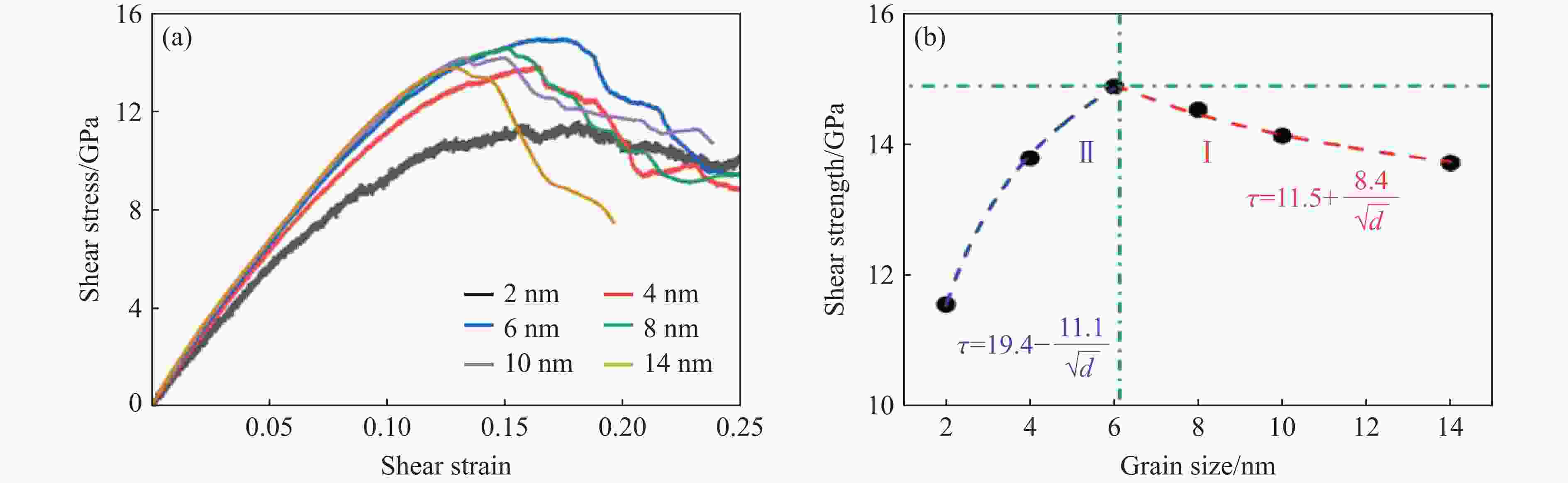
    图  11  (a) 基于DPMD模拟得到的晶粒尺寸介于2~14 nm之间的纳米晶B12-CAlC在剪切载荷下的应力-应变曲线[53],(b) 基于DPMD模拟得到的纳米晶B12-CAlC的晶粒尺寸与剪切强度的关系[53]

    Figure  11.  (a) Shear stress-strain relationships of nanocrystalline B12-CAlC with the grain size ranging from 2 to 14 nm based on DPMD simulation[53]; (b) relationship between grain size and shear strength of nanocrystalline B12-CAlC based on DPMD simulation[53]

    图  12  基于DPMD模拟得到的晶粒尺寸为10 nm的纳米晶B12-CAlC在剪切载荷下的微观结构演化过程(采用原子应变进行着色子)[53]

    Figure  12.  Microstructural evolution of nanocrystalline B12-CAlC with the grain size of 10 nm under shear loading based on DPMD simulation (The atoms were color-coded by the atomic strain)[53]

    图  13  基于DPMD模拟得到的纳米晶B12-CAlC体系中晶粒A和B的微观结构演化[53]

    Figure  13.  Microstructural evolution of grains A and B of nanocrystalline B12-CAlC under shear loading based on DPMD simulation[53]

    图  14  基于DPMD模拟得到的纳米孪晶B4C在剪切载荷下的应力-应变曲线与微观结构演化[79]

    Figure  14.  Shear stress-strain relationship and microstructural evolution of nanotwinned B4C under shear loading based on DPMD simulation[79]

    图  15  B4C微纳米试样在拉伸载荷下的塑性变形[31]

    Figure  15.  Plastic deformation of microfabricated B4C specimens under tensile loading[31]

    图  16  基于DPMD模拟得到的含空位B4C在剪切载荷下的应力-应变曲线与微观结构演化[31]

    Figure  16.  Shear stress-strain relationship and microstructural evolution of B4C with chain vacancy based on DPMD simulations[31]

  • [1] DOMNICH V, REYNAUD S, HABER R A, et al. Boron carbide: structure, properties, and stability under stress [J]. Journal of the American Ceramic Society, 2011, 94(11): 3605–3628. doi: 10.1111/j.1551-2916.2011.04865.x
    [2] THÉVENOT F. Boron carbide—a comprehensive review [J]. Journal of the European Ceramic Society, 1990, 6(4): 205–225. doi: 10.1016/0955-2219(90)90048-K
    [3] AN Q, GODDARD III W A, CHENG T. Atomistic explanation of shear-induced amorphous band formation in boron carbide [J]. Physical Review Letters, 2014, 113(9): 095501. doi: 10.1103/PhysRevLett.113.095501
    [4] AN Q, GODDARD III W A. Atomistic origin of brittle failure of boron carbide from large-scale reactive dynamics simulations: suggestions toward improved ductility [J]. Physical Review Letters, 2015, 115(10): 105501. doi: 10.1103/PhysRevLett.115.105501
    [5] MAURI F, VAST N, PICKARD C J. Atomic structure of icosahedral B4C boron carbide from a first principles analysis of NMR spectra [J]. Physical Review Letters, 2001, 87(8): 085506. doi: 10.1103/PhysRevLett.87.085506
    [6] LAZZARI R, VAST N, BESSON J M, et al. Atomic structure and vibrational properties of icosahedral B4C boron carbide [J]. Physical Review Letters, 1999, 83(16): 3230–3233. doi: 10.1103/PhysRevLett.83.3230
    [7] ZHANG Y, MASHIMO T, UEMURA Y, et al. Shock compression behaviors of boron carbide (B4C) [J]. Journal of Applied Physics, 2006, 100(11): 113536. doi: 10.1063/1.2399334
    [8] VOGLER T J, REINHART W D, CHHABILDAS L C. Dynamic behavior of boron carbide [J]. Journal of Applied Physics, 2004, 95(8): 4173–4183. doi: 10.1063/1.1686902
    [9] CHEN M W, MCCAULEY J W, HEMKER K J. Shock-induced localized amorphization in boron carbide [J]. Science, 2003, 299(5612): 1563–1566. doi: 10.1126/science.1080819
    [10] GHOSH D, SUBHASH G, SUDARSHAN T S, et al. Dynamic indentation response of fine-grained boron carbide [J]. Journal of the American Ceramic Society, 2007, 90(6): 1850–1857. doi: 10.1111/j.1551-2916.2007.01652.x
    [11] GE D, DOMNICH V, JULIANO T, et al. Structural damage in boron carbide under contact loading [J]. Acta Materialia, 2004, 52(13): 3921–3927. doi: 10.1016/j.actamat.2004.05.007
    [12] CHEN M W, MCCAULEY J W. Mechanical scratching induced phase transitions and reactions of boron carbide [J]. Journal of Applied Physics, 2006, 100(12): 123517. doi: 10.1063/1.2405742
    [13] ZHAO S T, KAD B, REMINGTON B A, et al. Directional amorphization of boron carbide subjected to laser shock compression [J]. Proceedings of the National Academy of Sciences of the United States of America, 2016, 113(43): 12088–12093. doi: 10.1073/pnas.1604613113
    [14] AN Q, GODDARD III W A, XIE K Y, et al. Superstrength through nanotwinning [J]. Nano Letters, 2016, 16(12): 7573–7579. doi: 10.1021/acs.nanolett.6b03414
    [15] AN Q, GODDARD III W A. Nanotwins soften boron-rich boron carbide (B13C2) [J]. Applied Physics Letters, 2017, 110(11): 111902. doi: 10.1063/1.4978644
    [16] AN Q, GODDARD III W A. Microalloying boron carbide with silicon to achieve dramatically improved ductility [J]. The Journal of Physical Chemistry Letters, 2014, 5(23): 4169–4174. doi: 10.1021/jz5022697
    [17] XIANG S S, MA L N, YANG B, et al. Tuning the deformation mechanisms of boron carbide via silicon doping [J]. Science Advances, 2019, 5(10): eaay0352. doi: 10.1126/sciadv.aay0352
    [18] NIKZAD L, ORRÙ R, LICHERI R, et al. Fabrication and formation mechanism of B4C-TiB2 composite by reactive spark plasma sintering using unmilled and mechanically activated reactants [J]. Journal of the American Ceramic Society, 2012, 95(11): 3463–3471. doi: 10.1111/j.1551-2916.2012.05416.x
    [19] ITOH H, MAEKAWA I, IWAHARA H. Microstructure and mechanical properties of B6O-B4C sintered composites prepared under high pressure [J]. Journal of Materials Science, 2000, 35(3): 693–698. doi: 10.1023/A:1004753116816
    [20] TANG B, HE Y, GODDARD III W A, et al. First principles predicting enhanced ductility of boride carbide through magnesium microalloying [J]. Journal of the American Ceramic Society, 2019, 102(9): 5514–5523. doi: 10.1111/jace.16383
    [21] XU H Y, JI W, JIANG J W, et al. Contribution of boundary non-stoichiometry to the lower-temperature plasticity in high-pressure sintered boron carbide [J]. Nature Communications, 2023, 14(1): 4889. doi: 10.1038/s41467-023-40581-7
    [22] CHENG C, REDDY K M, HIRATA A, et al. Structure and mechanical properties of boron-rich boron carbides [J]. Journal of the European Ceramic Society, 2017, 37(15): 4514–4523. doi: 10.1016/j.jeurceramsoc.2017.06.017
    [23] CHAUHAN A, SCHAEFER M C, HABER R A, et al. Experimental observations of amorphization in stoichiometric and boron-rich boron carbide [J]. Acta Materialia, 2019, 181: 207–215. doi: 10.1016/j.actamat.2019.09.052
    [24] XIE K Y, DOMNICH V, FARBANIEC L, et al. Microstructural characterization of boron-rich boron carbide [J]. Acta Materialia, 2017, 136: 202–214. doi: 10.1016/j.actamat.2017.06.063
    [25] LI J, AN Q, LIU L S. Local amorphization in boron carbide at finite temperature: strategies toward improved ductility [J]. Physical Review B, 2021, 104(13): 134105. doi: 10.1103/PhysRevB.104.134105
    [26] MATOVIĆ B, MALETAŠKIĆ J, PRIKHNA T, et al. Characterization of B4C-SiC ceramic composites prepared by ultra-high pressure sintering [J]. Journal of the European Ceramic Society, 2021, 41(9): 4755–4760. doi: 10.1016/j.jeurceramsoc.2021.03.047
    [27] GUO W M, ZHANG Z L, LI J X, et al. Improvement of densification and mechanical properties of Al2O3-B4C ceramics [J]. Ceramics International, 2016, 42(9): 11486–11489. doi: 10.1016/j.ceramint.2016.04.025
    [28] WANG B, CAI D L, WANG H Y, et al. Microstructures and mechanical properties of B4C-SiC and B4C-SiC-TiB2 ceramic composites fabricated by hot pressing [J]. Journal of the American Ceramic Society, 2023, 106(8): 5046–5066. doi: 10.1111/jace.19136
    [29] MARVEL C J, BEHLER K D, LASALVIA J C, et al. Grain boundary segregation in Si-doped B-based ceramics and its effect on grain boundary cohesion [J]. Acta Materialia, 2022, 227: 117684. doi: 10.1016/j.actamat.2022.117684
    [30] SHEN Y D, YANG M Y, GODDARD III W A, et al. Strengthening boron carbide by doping Si into grain boundaries [J]. Journal of the American Ceramic Society, 2022, 105(5): 2978–2989. doi: 10.1111/jace.18028
    [31] LI P H, LI J, FENG Q L, et al. Unveiling high ductility in boron carbide crystal at room temperature [J]. Science Advances, 2025, 11(15): eadr4648. doi: 10.1126/sciadv.adr4648
    [32] 蒋招绣, 高光发. 碳化硼陶瓷的力学特性和破坏行为研究进展 [J]. 材料导报, 2020, 34(12): 23064–23073. doi: 10.11896/cldb.19090221

    JIANG Z X, GAO G F. Research progress on mechanical properties and failure behavior of boron carbide ceramics [J]. Materials Reports, 2020, 34(12): 23064–23073. doi: 10.11896/cldb.19090221
    [33] TIAN X, CUI J Z, YANG M, et al. Molecular dynamics simulations on shock response and spalling behaviors of semi-coherent {111} Cu-Al multilayers [J]. International Journal of Mechanical Sciences, 2020, 172: 105414. doi: 10.1016/j.ijmecsci.2019.105414
    [34] LI W H, HAHN E N, YAO X H, et al. On the grain size dependence of shock responses in nanocrystalline SiC ceramics at high strain rates [J]. Acta Materialia, 2020, 200: 632–651. doi: 10.1016/j.actamat.2020.09.044
    [35] SHAO J L, WANG C, WANG P, et al. Atomistic simulations and modeling analysis on the spall damage in lead induced by decaying shock [J]. Mechanics of Materials, 2019, 131: 78–83. doi: 10.1016/j.mechmat.2019.01.012
    [36] 蔡洋, 李超, 卢磊. 冲击载荷下金属材料的微结构-加载特性-层裂响应关系概述 [J]. 高压物理学报, 2021, 35(4): 040104. doi: 10.11858/gywlxb.20200648

    CAI Y, LI C, LU L. Effects of microstructure and loading characteristics on spallation of metallic materials under shock loading [J]. Chinese Journal of High Pressure Physics, 2021, 35(4): 040104. doi: 10.11858/gywlxb.20200648
    [37] 李旺辉, 奉兰西, 张晓晴, 等. 极端条件下碳化硅的变形、损伤与破坏研究进展 [J]. 高压物理学报, 2021, 35(4): 040103. doi: 10.11858/gywlxb.20210783

    LI W H, FENG L X, ZHANG X Q, et al. Brief review of research progress on the deformation, damage and failure of silicon carbide under extreme conditions [J]. Chinese Journal of High Pressure Physics, 2021, 35(4): 040103. doi: 10.11858/gywlxb.20210783
    [38] 王嘉楠, 伍鲍, 何安民, 等. 强冲击下金属材料动态损伤与破坏的分子动力学模拟研究进展 [J]. 高压物理学报, 2021, 35(4): 040101. doi: 10.11858/gywlxb.20210747

    WANG J N, WU B, HE A M, et al. Research progress on dynamic damage and failure of metal materials under shock loading with molecular dynamics simulation [J]. Chinese Journal of High Pressure Physics, 2021, 35(4): 040101. doi: 10.11858/gywlxb.20210747
    [39] CHEENADY A A, AWASTHI A, DEVRIES M, et al. Shock response of single-crystal boron carbide along orientations with the highest and lowest elastic moduli [J]. Physical Review B, 2021, 104(18): 184110. doi: 10.1103/PhysRevB.104.184110
    [40] BLANK T B, BROWN S D, CALHOUN A W, et al. Neural network models of potential energy surfaces [J]. The Journal of Chemical Physics, 1995, 103(10): 4129–4137. doi: 10.1063/1.469597
    [41] BUTLER K T, DAVIES D W, CARTWRIGHT H, et al. Machine learning for molecular and materials science [J]. Nature, 2018, 559(7715): 547–555. doi: 10.1038/s41586-018-0337-2
    [42] HANSEN K, BIEGLER F, RAMAKRISHNAN R, et al. Machine learning predictions of molecular properties: accurate many-body potentials and nonlocality in chemical space [J]. The Journal of Physical Chemistry Letters, 2015, 6(12): 2326–2331. doi: 10.1021/acs.jpclett.5b00831
    [43] DRAGONI D, DAFF T D, CSÁNYI G, et al. Achieving DFT accuracy with a machine-learning interatomic potential: thermomechanics and defects in bcc ferromagnetic iron [J]. Physical Review Materials, 2018, 2(1): 013808. doi: 10.1103/PhysRevMaterials.2.013808
    [44] BEHLER J, PARRINELLO M. Generalized neural-network representation of high-dimensional potential-energy surfaces [J]. Physical Review Letters, 2007, 98(14): 146401. doi: 10.1103/PhysRevLett.98.146401
    [45] ZHANG L F, HAN J Q, WANG H, et al. Deep potential molecular dynamics: a scalable model with the accuracy of quantum mechanics [J]. Physical Review Letters, 2018, 120(14): 143001. doi: 10.1103/PhysRevLett.120.143001
    [46] HAN J Q, ZHANG L F, CAR R, et al. Deep potential: a general representation of a many-body potential energy surface [J]. Communications in Computational Physics, 2018, 23(3): 629–639. doi: 10.4208/cicp.OA-2017-0213
    [47] WANG H, ZHANG L F, HAN J Q, et al. DeePMD-kit: a deep learning package for many-body potential energy representation and molecular dynamics [J]. Computer Physics Communications, 2018, 228: 178–184. doi: 10.1016/j.cpc.2018.03.016
    [48] SCHÜTT K T, SAUCEDA H E, KINDERMANS P J, et al. SchNet—a deep learning architecture for molecules and materials [J]. The Journal of Chemical Physics, 2018, 148(24): 241722. doi: 10.1063/1.5019779
    [49] SCHÜTT K T, KESSEL P, GASTEGGER M, et al. SchNetPack: a deep learning toolbox for atomistic systems [J]. Journal of Chemical Theory and Computation, 2019, 15(1): 448–455. doi: 10.1021/acs.jctc.8b00908
    [50] BARTÓK A P, PAYNE M C, KONDOR R, et al. Gaussian approximation potentials: the accuracy of quantum mechanics, without the electrons [J]. Physical Review Letters, 2010, 104(13): 136403. doi: 10.1103/PhysRevLett.104.136403
    [51] CHMIELA S, TKATCHENKO A, SAUCEDA H E, et al. Machine learning of accurate energy-conserving molecular force fields [J]. Science Advances, 2017, 3(5): e1603015. doi: 10.1126/sciadv.1603015
    [52] LI J, AN Q. Shear-induced amorphization in boron subphosphide (B12P2): direct transition versus stacking fault mediation [J]. Journal of the American Ceramic Society, 2022, 105(11): 6826–6838. doi: 10.1111/jace.18629
    [53] LI J, LUO K, AN Q. Mobile dislocation mediated Hall-Petch and inverse Hall-Petch behaviors in nanocrystalline Al-doped boron carbide [J]. Journal of the European Ceramic Society, 2024, 44(2): 659–667. doi: 10.1016/j.jeurceramsoc.2023.09.079
    [54] LI J, LUO K, AN Q. Atomic structure, stability, and dissociation of dislocations in cadmium telluride [J]. International Journal of Plasticity, 2023, 163: 103552. doi: 10.1016/j.ijplas.2023.103552
    [55] LI J, LUO K, AN Q. Temperature-dependent competition between dislocation motion and phase transition in CdTe [J]. Journal of Materials Science & Technology, 2025, 226: 109–121. doi: 10.1016/j.jmst.2024.11.046
    [56] LI J, LUO K, AN Q. Unraveling the Hall-Petch to inverse Hall-Petch transition in nanocrystalline CdTe [J]. International Journal of Mechanical Sciences, 2025, 286: 109852. doi: 10.1016/j.ijmecsci.2024.109852
    [57] YUAN J F, LIU J Z, ZHANG L Q, et al. Combustion and agglomeration characteristics of boron particles in boron-containing fuel-rich propellant [J]. Combustion and Flame, 2021, 232: 111551. doi: 10.1016/j.combustflame.2021.111551
    [58] DANIELS C L, LIU D J, ADAMSON M A S, et al. Azo (xy) vs. aniline selectivity in catalytic nitroarene reduction by intermetallics: experiments and simulations [J]. The Journal of Physical Chemistry C, 2021, 125(44): 24440–24450. doi: 10.1021/acs.jpcc.1c08569
    [59] HAN Y Q, WANG Z L, CHEN A, et al. An inductive transfer learning force field (ITLFF) protocol builds protein force fields in seconds [J]. Briefings in Bioinformatics, 2022, 23(2): bbab590. doi: 10.1093/bib/bbab590
    [60] WANG Z L, HAN Y Q, LI J J, et al. Combining the fragmentation approach and neural network potential energy surfaces of fragments for accurate calculation of protein energy [J]. The Journal of Physical Chemistry B, 2020, 124(15): 3027–3035. doi: 10.1021/acs.jpcb.0c01370
    [61] JIANG J, YU Y, MEI Z, et al. Thermal decomposition and shock response mechanism of DNTF: deep potential molecular dynamics simulations [J]. Energy, 2024, 313: 133799. doi: 10.1016/j.energy.2024.133799
    [62] ZHANG J D, GUO W, YAO Y G. Deep potential molecular dynamics study of Chapman-Jouguet detonation events of energetic materials [J]. The Journal of Physical Chemistry Letters, 2023, 14(32): 7141–7148. doi: 10.1021/acs.jpclett.3c01392
    [63] WANG C M, ZHANG J D, GUO W, et al. Detonation performance and shock sensitivity of energetic material NTO with embedded small molecules: a deep neural network potential accelerated molecular dynamics study [J]. Physical Chemistry Chemical Physics, 2024, 26(39): 25543–25556. doi: 10.1039/D4CP02399D
    [64] MONDAL A, KUSSAINOVA D, YUE S W, et al. Modeling chemical reactions in alkali carbonate-hydroxide electrolytes with deep learning potentials [J]. Journal of Chemical Theory and Computation, 2023, 19(14): 4584–4595. doi: 10.1021/acs.jctc.2c00816
    [65] LE J B, YANG X H, ZHUANG Y B, et al. Recent progress toward ab initio modeling of electrocatalysis [J]. The Journal of Physical Chemistry Letters, 2021, 12(37): 8924–8931. doi: 10.1021/acs.jpclett.1c02086
    [66] LU D H, WANG H, CHEN M H, et al. 86 PFLOPS deep potential molecular dynamics simulation of 100 million atoms with ab initio accuracy [J]. Computer Physics Communications, 2021, 259: 107624. doi: 10.1016/j.cpc.2020.107624
    [67] ZHANG Y Z, WANG H D, CHEN W J, et al. DP-GEN : a concurrent learning platform for the generation of reliable deep learning based potential energy models [J]. Computer Physics Communications, 2020, 253: 107206. doi: 10.1016/j.cpc.2020.107206
    [68] BLÖCHL P E. Projector augmented-wave method [J]. Physical Review B, 1994, 50(24): 17953–17979. doi: 10.1103/PhysRevB.50.17953
    [69] KRESSE G, JOUBERT D. From ultrasoft pseudopotentials to the projector augmented-wave method [J]. Physical Review B, 1999, 59(3): 1758–1775. doi: 10.1103/PhysRevB.59.1758
    [70] KRESSE G, FURTHMÜLLER J. Efficient iterative schemes for ab initio total-energy calculations using a plane-wave basis set [J]. Physical Review B, 1996, 54(16): 11169–11186. doi: 10.1103/PhysRevB.54.11169
    [71] GIANNOZZI P, BARONI S, BONINI N, et al. QUANTUM ESPRESSO: a modular and open-source software project for quantum simulations of materials [J]. Journal of Physics: Condensed Matter, 2009, 21(39): 395502. doi: 10.1088/0953-8984/21/39/395502
    [72] VANDEVONDELE J, KRACK M, MOHAMED F, et al. QUICKSTEP: fast and accurate density functional calculations using a mixed Gaussian and plane waves approach [J]. Computer Physics Communications, 2005, 167(2): 103–128. doi: 10.1016/j.cpc.2004.12.014
    [73] PERDEW J P, SCHMIDT K. Jacob’s ladder of density functional approximations for the exchange-correlation energy [J]. AIP Conference Proceedings, 2001, 577(1): 1–20. doi: 10.1063/1.1390175
    [74] DISTASIO JR R A, SANTRA B, LI Z F, et al. The individual and collective effects of exact exchange and dispersion interactions on the ab initio structure of liquid water [J]. The Journal of Chemical Physics, 2014, 141(8): 084502. doi: 10.1063/1.4893377
    [75] THOMPSON A P, AKTULGA H M, BERGER R, et al. LAMMPS—a flexible simulation tool for particle-based materials modeling at the atomic, meso, and continuum scales [J]. Computer Physics Communications, 2022, 271: 108171. doi: 10.1016/j.cpc.2021.108171
    [76] HJORTH LARSEN A, JØRGEN MORTENSEN J, BLOMQVIST J, et al. The atomic simulation environment—a Python library for working with atoms [J]. Journal of Physics: Condensed Matter, 2017, 29(27): 273002. doi: 10.1088/1361-648X/aa680e
    [77] CERIOTTI M, MORE J, MANOLOPOULOS D E. i-PI: a Python interface for ab initio path integral molecular dynamics simulations [J]. Computer Physics Communications, 2014, 185(3): 1019–1026. doi: 10.1016/j.cpc.2013.10.027
    [78] ABRAHAM M J, MURTOLA T, SCHULZ R, et al. GROMACS: high performance molecular simulations through multi-level parallelism from laptops to supercomputers [J]. SoftwareX, 2015, 1/2: 19−25.
    [79] LI J, AN Q. Nanotwinning-induced pseudoplastic deformation in boron carbide under low temperature [J]. International Journal of Mechanical Sciences, 2023, 242: 107998. doi: 10.1016/j.ijmecsci.2022.107998
    [80] LI J, LUO K, AN Q. Activating mobile dislocation in boron carbide at room temperature via Al doping [J]. Physical Review Letters, 2023, 130(11): 116104. doi: 10.1103/PhysRevLett.130.116104
    [81] LI J, AN Q. Quasiplastic deformation in shocked nanocrystalline boron carbide: grain boundary sliding and local amorphization [J]. Journal of the European Ceramic Society, 2023, 43(2): 208–216. doi: 10.1016/j.jeurceramsoc.2022.10.014
    [82] GUO D Z, AN Q. Transgranular amorphous shear band formation in polycrystalline boron carbide [J]. International Journal of Plasticity, 2019, 121: 218–226. doi: 10.1016/j.ijplas.2019.06.004
    [83] AWASTHI A, SUBHASH G. Deformation behavior and amorphization in icosahedral boron-rich ceramics [J]. Progress in Materials Science, 2020, 112: 100664. doi: 10.1016/j.pmatsci.2020.100664
    [84] YAN X Q, LI W J, GOTO T, et al. Raman spectroscopy of pressure-induced amorphous boron carbide [J]. Applied Physics Letters, 2006, 88(13): 131905. doi: 10.1063/1.2189826
    [85] REDDY K M, LIU P, HIRATA A, et al. Atomic structure of amorphous shear bands in boron carbide [J]. Nature Communications, 2013, 4: 2483. doi: 10.1038/ncomms3483
    [86] XIE K Y, AN Q, SATO T, et al. Breaking the icosahedra in boron carbide [J]. Proceedings of the National Academy of Sciences of the United States of America, 2016, 113(43): 12012–12016. doi: 10.1073/pnas.1607980113
    [87] AN Q. Mitigating amorphization in superhard boron carbide by microalloying-induced stacking fault formation [J]. Physical Review Materials, 2021, 5(10): 103602. doi: 10.1103/PhysRevMaterials.5.103602
    [88] SHEN Y Q, FULLER J, AN Q. Mitigating the formation of amorphous shear band in boron carbide [J]. Journal of Applied Physics, 2021, 129(14): 140902. doi: 10.1063/5.0044526
    [89] AN Q, GODDARD III W A. Boron suboxide and boron subphosphide crystals: hard ceramics that shear without brittle failure [J]. Chemistry of Materials, 2015, 27(8): 2855–2860. doi: 10.1021/cm5046918
    [90] AN Q, GODDARD III W A. Ductility in crystalline boron subphosphide (B12P2) for large strain indentation [J]. The Journal of Physical Chemistry C, 2017, 121(30): 16644–16649. doi: 10.1021/acs.jpcc.7b05429
    [91] YANG Q D, MARVEL C J, SHEN Y D, et al. Activating dislocation mediated plasticity in boron carbide through Al-doping [J]. Acta Materialia, 2022, 241: 118412. doi: 10.1016/j.actamat.2022.118412
    [92] ADASCH V, SCHROEDER M, KOTZOTT D, et al. Synthesis, crystal structure, and properties of MgxB50C8 or Mgx(B12)4(CBC)2(C2)2 (x = 2.4−4) [J]. Journal of the American Chemical Society, 2010, 132(39): 13723–13732. doi: 10.1021/ja102659d
    [93] VOJTEER N, HILLEBRECHT H. Li2B12C2 und LiB13C2: farblose borreiche Boridcarbide des Lithiums [J]. Angewandte Chemie, 2006, 118(1): 172–175. doi: 10.1002/ange.200502325
    [94] YUAN Z K, HU W T, YU D L. High-pressure synthesis, crystal structure, and physical properties of NaB13C2 single crystals [J]. Journal of Alloys and Compounds, 2022, 893: 162320. doi: 10.1016/j.jallcom.2021.162320
    [95] CHEN M W, MCCAULEY J W, LASALVIA J C, et al. Microstructural characterization of commercial hot-pressed boron carbide ceramics [J]. Journal of the American Ceramic Society, 2005, 88(7): 1935–1942. doi: 10.1111/j.1551-2916.2005.00346.x
    [96] YANG X K, COLEMAN S P, LASALVIA J C, et al. Shear-induced brittle failure along grain boundaries in boron carbide [J]. ACS Applied Materials & Interfaces, 2018, 10(5): 5072–5080. doi: 10.1021/acsami.7b16782
    [97] WOLLMERSHAUSER J A, FEIGELSON B N, GORZKOWSKI E P, et al. An extended hardness limit in bulk nanoceramics [J]. Acta Materialia, 2014, 69: 9–16. doi: 10.1016/j.actamat.2014.01.030
    [98] LIAO F, GIRSHICK S L, MOOK W M, et al. Superhard nanocrystalline silicon carbide films [J]. Applied Physics Letters, 2005, 86(17): 171913. doi: 10.1063/1.1920434
    [99] GUO D Z, SONG S X, LUO R C, et al. Grain boundary sliding and amorphization are responsible for the reverse Hall-Petch relation in superhard nanocrystalline boron carbide [J]. Physical Review Letters, 2018, 121(14): 145504. doi: 10.1103/PhysRevLett.121.145504
    [100] MASHHADI M, TAHERI-NASSAJ E, SGLAVO V M. Pressureless sintering of boron carbide [J]. Ceramics International, 2010, 36(1): 151–159. doi: 10.1016/j.ceramint.2009.07.034
    [101] MANOHAR G, PANDEY K M, RANJAN MAITY S. Effect of compaction pressure on mechanical properties of AA7075/B4C/graphite hybrid composite fabricated by powder metallurgy techniques [J]. Materials Today: Proceedings, 2021, 38: 2157–2161. doi: 10.1016/j.matpr.2020.05.194
    [102] LI B, SUN H, CHEN C F. Extreme mechanics of probing the ultimate strength of nanotwinned diamond [J]. Physical Review Letters, 2016, 117(11): 116103. doi: 10.1103/PhysRevLett.117.116103
    [103] TIAN Y J, XU B, YU D L, et al. Ultrahard nanotwinned cubic boron nitride [J]. Nature, 2013, 493(7432): 385–388. doi: 10.1038/nature11728
    [104] HUANG Q, YU D L, XU B, et al. Nanotwinned diamond with unprecedented hardness and stability [J]. Nature, 2014, 510(7504): 250–253. doi: 10.1038/nature13381
    [105] LI B, SUN H, CHEN C F. Large indentation strain-stiffening in nanotwinned cubic boron nitride [J]. Nature Communications, 2014, 5: 4965. doi: 10.1038/ncomms5965
    [106] LI P H, BU Y Q, WANG L Y, et al. In situ observation of fracture along twin boundaries in boron carbide [J]. Advanced Materials, 2023, 35(50): 2204375. doi: 10.1002/adma.202204375
  • 加载中
图(16)
计量
  • 文章访问数:  655
  • HTML全文浏览量:  314
  • PDF下载量:  52
出版历程
  • 收稿日期:  2025-07-14
  • 修回日期:  2025-08-15
  • 网络出版日期:  2025-08-21
  • 刊出日期:  2025-11-05

目录

    /

    返回文章
    返回