Effect of Empty-Hole on Blasting-Induced Damage Evolution and Dynamic Response of Rock
-
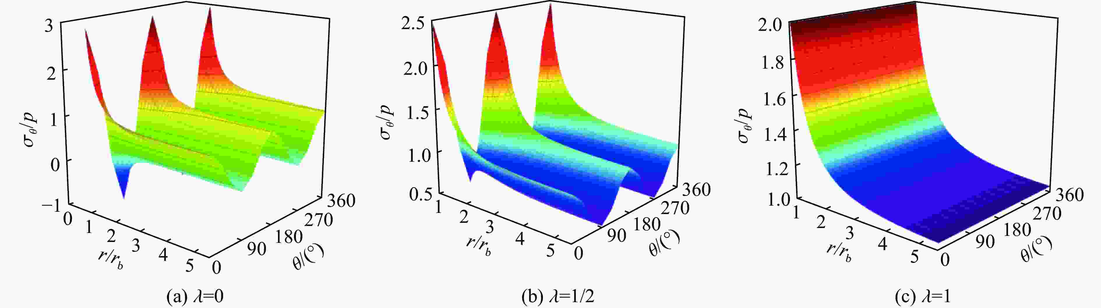
摘要: 针对传统周边爆破易诱发随机裂纹损伤围岩问题,结合弹性力学理论与基于ANSYS/LS-DYNA的数值模拟方法,对空孔定向爆破中的损伤演化规律与动力响应特性进行了深入分析。首先,基于弹性力学理论,阐释了空孔在爆炸荷载下通过应力波反射产生拉应力集中从而实现对定向裂纹扩展的控制机制;接着,通过建立平面双孔不耦合装药数值模型,系统研究了炮孔间距和地应力场对损伤演化的影响;最后,分析了空孔附近峰值应力和质点峰值振速的动态变化规律。结果表明:空孔能够显著改变爆炸能量分布,将其引导至集中于炮孔连线方向,从而有效抑制非预期裂纹的萌生和扩展;空孔的定向效果受地应力场的调控,高地应力条件会削弱空孔水平方向的拉应力集中程度,进而抑制炮孔间裂纹扩展,故炮孔宜平行于岩体最大主应力方向布置,使定向效果最大化,并减弱地应力的抑制作用;当炮孔间距为11~14倍炮孔直径时,可促进主裂纹的稳定定向扩展,抑制非预期裂纹的发育,显著改善围岩损伤的控制效果。在高地应力工况下,建议将炮孔间距参考值适当缩小至8~11倍炮孔直径。Abstract: Aiming at the issue that traditional perimeter blasting easily induces random crack damage in surrounding rocks, this study conducts an in-depth analysis of the damage evolution laws and dynamic response characteristics in empty-hole directional blasting by integrating elastic mechanics theory with numerical simulation methods based on ANSYS/LS-DYNA. Firstly, drawing on the theory of elastic mechanics, the mechanical mechanism was elucidated whereby empty holes generate tensile stress concentration through stress wave reflection under explosive loading, thereby controlling the propagation of directional cracks. Subsequently, by establishing a numerical model of planar double-hole decoupled charge blasting, the effects of blasthole spacing and in-situ stress field on damage evolution were systematically investigated. Finally, the dynamic variation patterns of peak stress and peak particle vibration velocity near the empty hole were analyzed. The results indicate that empty holes can significantly alter the distribution of explosion energy, guiding it to concentrate along the line connecting the blastholes, thereby effectively suppressing the initiation and propagation of unintended cracks. The directional effect of empty holes is modulated by the in-situ stress field; high in-situ stress conditions reduce the degree of tensile stress concentration in the horizontal direction of the empty hole, thus inhibiting crack propagation between blastholes. Therefore, blastholes should be arranged parallel to the maximum principal stress direction of the rock mass to maximize the directional effect and mitigate the inhibitory influence of in-situ stress. When the blasthole spacing is 11−14 times the blasthole diameter, stable directional propagation of main cracks is promoted, the development of unintended cracks is suppressed, and the control of surrounding rock damage is significantly improved. Under high in-situ stress conditions, it is recommended to appropriately reduce the reference hole spacing to 8−11 times the blasthole diameter.
-
Key words:
- rock /
- empty hole effect /
- damage evolution /
- dynamic response /
- geostress /
- crack
-
ρ0/(kg·m−3) G/GPa fc/MPa βt B0 B1 T1/GPa T2/GPa pcomp/GPa 2606 19.8 64.1 0.024 1.6 1.6 19.5 19.5 6.0 ft* fs* A1/GPa A2/GPa A3/GPa Q0 B ${\dot \varepsilon _{{\text{c}}0}}$/s−1 ${\dot \varepsilon _{{\text{t}}0}}$/s−1 0.012 0.15 19.5 31.2 17 0.685 1.6 3.0×10–5 3.0×10–6 pcrush/MPa $g_{\mathrm{c}}^* $ $g_{\mathrm{t}}^* $ D1 D2 βc A N n 42.7 0.8 0.9 0.036 1 0.019 2.27 0.98 4 ρ0/(kg·m−3) D/(m·s−1) pJ/GPa EJ/GPa AJ/GPa BJ/GPa R1 R2 ω 1180 5122 9.53 3.87 276.2 8.44 5.2 2.1 0.5 表 3 地应力加载条件
Table 3. In-situ stress loading conditions
λ Case px/MPa py/MPa λ Case px/MPa py/MPa 0 S1 0 10 1 S7 10 10 S2 0 15 S8 15 15 S3 0 20 S9 20 20 1/2 S4 5 10 2 S10 10 5 S5 10 20 S11 20 10 S6 15 30 S12 30 15 -
[1] 单仁亮, 赵岩, 王海龙, 等. 下穿铁路隧道爆破振动衰减规律研究 [J]. 爆炸与冲击, 2022, 42(8): 085201. doi: 10.11883/bzycj-2021-0324SHAN R L, ZHAO Y, WANG H L, et al. Attenuation of blasting vibration in a railway tunnel [J]. Explosion and Shock Waves, 2022, 42(8): 085201. doi: 10.11883/bzycj-2021-0324 [2] 蒲传金, 杨鑫, 肖定军, 等. 爆炸载荷下双孔裂纹扩展的数值模拟研究 [J]. 振动与冲击, 2022, 41(15): 300–311. doi: 10.13465/j.cnki.jvs.2022.15.037PU C J, YANG X, XIAO D J, et al. Numerical simulation of double-hole crack propagation under explosion load [J]. Journal of Vibration and Shock, 2022, 41(15): 300–311. doi: 10.13465/j.cnki.jvs.2022.15.037 [3] ISAKOV A L. Directed fracture of rocks by blasting [J]. Soviet Mining, 1983, 19(6): 479–488. doi: 10.1007/BF02497175 [4] 余绍山, 王薇, 李姚伟奇. 周边眼偏位空孔爆破设计优化研究与应用 [J]. 铁道科学与工程学报, 2024, 21(4): 1509–1520. doi: 10.19713/j.cnki.43-1423/u.T20230931YU S S, WANG W, LI Y W Q. Research and application of offset hole for peripheral blasting design and optimization [J]. Journal of Railway Science and Engineering, 2024, 21(4): 1509–1520. doi: 10.19713/j.cnki.43-1423/u.T20230931 [5] LANGEFORS U, KIHLSTRÖM B. The modern technique of rock blasting [M]. New York: John Wiley & Sons Inc., 1978. [6] 张召冉, 陈华义, 矫伟刚, 等. 含空孔直眼掏槽空孔效应及爆破参数研究 [J]. 煤炭学报, 2020, 45(Suppl 2): 791–800. doi: 10.13225/j.cnki.jccs.2019.1591ZHANG Z R, CHEN H Y, JIAO W G, et al. Rock breaking mechanism and blasting parameters of straight-hole cutting with empty-hole [J]. Journal of China Coal Society, 2020, 45(Suppl 2): 791–800. doi: 10.13225/j.cnki.jccs.2019.1591 [7] 田国宾. 周边空孔对爆破断裂与损伤控制的机理研究 [D]. 西安: 西安科技大学, 2022.TIAN G B. Research on directional fracture and damage control mechanism of empty hole in perimeter blasting [D]. Xi’an: Xi’an University of Science and Technology, 2022. [8] MOHANTY B. Explosion generated fractures in rock and rock-like materials [J]. Engineering Fracture Mechanics, 1990, 35(4/5): 889–898. doi: 10.1016/0013-7944(90)90173-E [9] 陈秋宇, 李海波, 夏祥, 等. 爆炸荷载下空孔效应的研究与应用 [J]. 煤炭学报, 2016, 41(11): 2749–2755. doi: 10.13225/j.cnki.jccs.2016.0462CHEN Q Y, LI H B, XIA X, et al. Research and application of empty hole effect under blasting loading [J]. Journal of China Coal Society, 2016, 41(11): 2749–2755. doi: 10.13225/j.cnki.jccs.2016.0462 [10] WANG Y B, YANG R S, ZHAO G F. Influence of empty hole on crack running in PMMA plate under dynamic loading [J]. Polymer Testing, 2017, 58: 70–85. doi: 10.1016/j.polymertesting.2016.11.020 [11] 杨仁树, 陈程, 王煦, 等. 不同直径空孔对爆生裂纹扩展行为影响规律的实验研究 [J]. 煤炭学报, 2017, 42(10): 2498–2503. doi: 10.13225/j.cnki.jccs.2017.0240YANG R S, CHEN C, WANG X, et al. Experimental investigation on the influence of different diameter empty holes on the crack growth behavior of blasting [J]. Journal of China Coal Society, 2017, 42(10): 2498–2503. doi: 10.13225/j.cnki.jccs.2017.0240 [12] ZHAI J J, WANG Z L, WANG J G, et al. Numerical study on blast dynamic response of jointed rock mass under high geostress field [J]. International Journal of Geomechanics, 2025, 25(3): 04025005. doi: 10.1061/IJGNAI.GMENG-10125 [13] WANG Z L, NI Y, WANG J G, et al. Improvement and performance analysis of constitutive model for rock blasting damage simulation [J]. Simulation Modelling Practice and Theory, 2025, 138: 103043. doi: 10.1016/j.simpat.2024.103043 [14] 汪海波, 宗琦, 赵要才. 立井大直径中空孔直眼掏槽爆炸应力场数值模拟分析与应用 [J]. 岩石力学与工程学报, 2015, 34(Suppl 1): 3223–3229. doi: 10.13722/j.cnki.jrme.2014.0296WANG H B, ZONG Q, ZHAO Y C. Numerical analysis and application of large diameter cavity parallel cut blasting stress field in vertical shaft [J]. Chinese Journal of Rock Mechanics and Engineering, 2015, 34(Suppl 1): 3223–3229. doi: 10.13722/j.cnki.jrme.2014.0296 [15] QIN H F, ZHAO Y, WANG H L, et al. Damage prediction and improvement method based on cutting mode of circular empty hole [J]. Scientific Reports, 2024, 14(1): 11322. doi: 10.1038/S41598-024-61599-X [16] MENG N K, BAI J B, SHEN W L, et al. Study on the influences of empty hole and in-situ stress on blasting-induced rock damage [J]. Geofluids, 2021: 6643042. [17] 陶子豪, 李祥龙, 胡启文, 等. 掏槽爆破成腔空孔效应数值模拟研究与分析 [J]. 兵工学报, 2024, 45(12): 4246–4258. doi: 10.12382/bgxb.2024.0250TAO Z H, LI X L, HU Q W, et al. Study and analysis on numerical simulation of empty hole effect induced by cutting blasting [J]. Acta Armamentarii, 2024, 45(12): 4246–4258. doi: 10.12382/bgxb.2024.0250 [18] 李洪伟, 雷战, 江向阳, 等. 不同炮孔间距对岩石爆炸裂纹扩展影响的数值分析 [J]. 高压物理学报, 2019, 33(4): 044103. doi: 10.11858/gywlxb.20180683LI H W, LEI Z, JIANG X Y, et al. Numerical analysis of impact of shot hole spacing on crack growth in rock [J]. Chinese Journal of High Pressure Physics, 2019, 33(4): 044103. doi: 10.11858/gywlxb.20180683 [19] NI Y, WANG Z L, LI S Y, et al. Numerical study on the dynamic fragmentation of rock under cyclic blasting and different in-situ stresses [J]. Computers and Geotechnics, 2024, 172: 106404. doi: 10.1016/j.compgeo.2024.106404 [20] 戴俊. 岩石动力学特性与爆破理论 [M]. 北京: 冶金工业出版社, 2013.DAI J. Dynamic behaviors and blasting theory of rock [M]. Beijing: Metallurgical Industry Press, 2013. [21] FENG C C, WANG Z L, WANG J G, et al. A thermo-mechanical damage constitutive model for deep rock considering brittleness-ductility transition characteristics [J]. Journal of Central South University, 2024, 31(7): 2379–2392. doi: 10.1007/S11771-024-5700-X [22] WANG Z L, WANG H C, WANG J G, et al. Finite element analyses of constitutive models performance in the simulation of blast-induced rock cracks [J]. Computers and Geotechnics, 2021, 135: 104172. doi: 10.1016/j.compgeo.2021.104172 [23] 凌天龙. 长城站开挖围岩爆破损伤与累积效应研究 [D]. 北京: 中国矿业大学(北京), 2019.LING T L. Study on blasting damage and cumulative effect of surrounding rock in excavation of great wall station [D]. Beijing: China University of Mining & Technology, 2019. [24] YI C P, JOHANSSON D, GREBERG J. Effects of in-situ stresses on the fracturing of rock by blasting [J]. Computers and Geotechnics, 2018, 104: 321–330. doi: 10.1016/j.compgeo.2017.12.004 [25] BANADAKI M M D. Stress-wave induced fracture in rock due to explosive action [D]. Toronto: University of Toronto, 2010. [26] 岳中文, 田世颖, 陈志远. 炮孔间距对切缝药包爆生裂纹扩展规律的影响 [J]. 岩石力学与工程学报, 2018, 37(11): 2460–2467. doi: 10.13722/j.cnki.jrme.2018.0625YUE Z W, TIAN S Y, CHEN Z Y. Influence of the interval between holes on crack propagation in slit charge blasting [J]. Chinese Journal of Rock Mechanics and Engineering, 2018, 37(11): 2460–2467. doi: 10.13722/j.cnki.jrme.2018.0625 -

下载: