Characterization of Damage to Adjacent Backfill by Blasting of Slit Packets
-
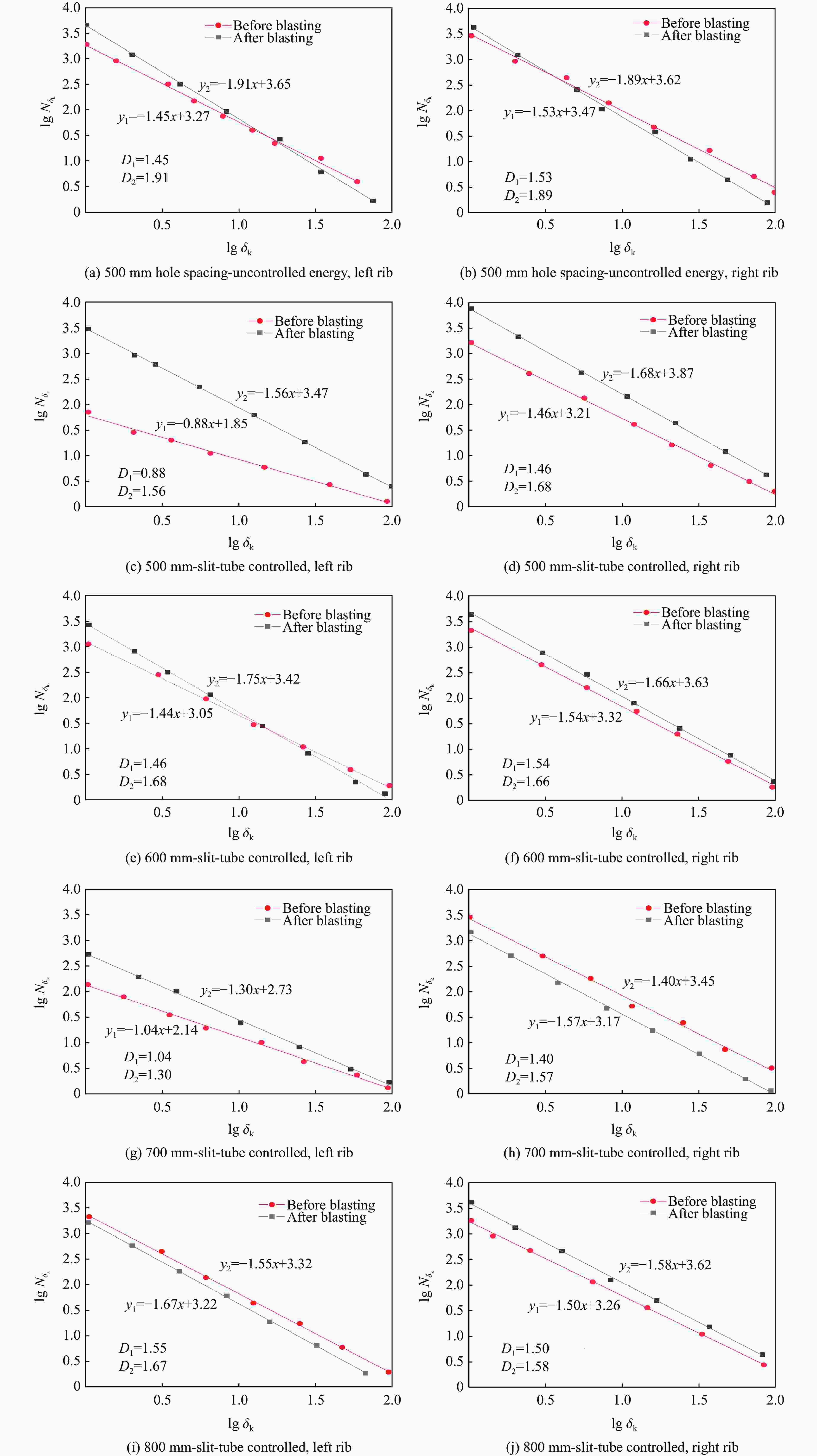
摘要: 为精准调控深部矿山切缝药包爆破对采场充填体的损伤效应,聚焦周边孔间距(500、600、700、800 mm)的控损机制,依据弹性波动理论及岩质介质中冲击波的动态传播特性,建立了切缝药包爆破时约束方位应力波在多介质作用下的扩散机制;结合混凝土类脆性材料与充填体损伤演化的强相关性,建立了Riedel-Hiermaier-Thoma(RHT)本构模型的跨介质等效标定框架;基于数值模拟软件ANSYS/LS-DYNA,构建了充填体-矿体-切缝药包多介质动态耦合数值模型;通过在充填体-矿体交界处布置观测点,对观测点处的峰值应力变化、爆破振动速度变化以及充填体损伤演化进行了分析。基于金川三矿区邻近充填体的进路回采阶段爆破试验,进行了常规药包、切缝药包以及不同周边孔间距的爆破试验。试验结果表明:切缝药包爆破在未约束方位触发气相射流与应变能汇聚效应,同步抑制约束方位应力和爆破振动速度,实现了对邻近充填体爆破荷载的定向衰减;相较于常规装药,切缝药包使充填体损伤度显著降低36%以上;爆破损伤度与周边孔间距呈负相关,间距增大时,损伤抑制效率提升。Abstract: In order to accurately regulate the damage effect of slit pack blasting on the backfill of the quarry in deep mines, this study focuses on the damage control mechanism of the peripheral hole spacing (500, 600, 700, 800 mm). Based on the theory of elastic fluctuation and the dynamic propagation characteristics of shock waves in rocky media, the diffusion mechanism of the stress wave under the action of multi-media in the constrained orientation during slit packet blasting is established. Combined with the strong correlation between brittle concrete materials and the damage evolution of the backfill, the cross-media equivalence calibration framework of the Riedel-Hiermaier-Thoma (RHT) intrinsic model is established. Based on the numerical simulation software ANSYS/LS-DYNA, we constructed a multi-media dynamic coupling numerical model of “filling body-mineral body-cutting slit package”, arranged observation points at the junction of filling body-mineral body, and conducted a combined analysis of the peak stress change, the change of the blast vibration velocity, and the damage evolution of the filling body at the observation points. Then, based on the blasting test of the approach and return stage of the neighboring filling body in Jinchuan Three Mining Area, the blasting test of conventional packs, slit packs and different peripheral hole spacing was conducted. The test shows that: slit pack blasting triggers gas-phase jet and strain-energy convergence effects in the unconfined direction, synchronously suppresses the stress and vibration peaks in the confined direction, and achieves directional attenuation of the blasting load on the neighboring filling body; the field test shows that, compared with the conventional charge, the slit pack significantly reduces the degree of damage of the backfill by more than 36%; the degree of blasting damage and the peripheral hole spacing show a negative correlation, and the damage suppression efficiency is improved with the increase of the spacing. The damage suppression efficiency is improved when the spacing increases.
-
Key words:
- constitutive model /
- slit pill packs /
- filling body damage /
- constrained orientation /
- fractal dimension
-
表 1 不同围压下充填体的力学特性参数
Table 1. Mechanical property parameters of backfill under different confining stress
δ2/MPa δ3/MPa δ1/MPa $ p_{0}^{*} $ $ \delta _{\mathrm{f}}^{*} $ 0 0 1.998 0.330 1.000 2 2 11.996 2.678 5.145 4 4 17.991 4.342 7.223 6 6 23.046 5.881 8.345 8 8 27.651 7.367 9.789 表 2 充填体的RHT本构模型参数
Table 2. Constitutive model parameters of RHT for backfill
$ {f}_{\rm{c}} $/MPa $ f_{\rm{t}}^{\ast } $ $ f_{\rm{s}}^{\ast } $ G/MPa α0 pel/MPa $ {\rho }_{0} $/(g·cm−3) 1.987 0.102 0.18 237.86 1.0 1.33 1.572 A1/GPa A2/GPa A3/GPa A N βc βt 4.12 5.03 1.06 2.716 0.655 0.15 0.091 D1 D2 $ \dot{\varepsilon }_{0}^{\mathrm{c}} $/s−1 $ \dot{\varepsilon }_{0}^{\mathrm{t}} $/s−1 B0 T1 T2 0.04 1.00 3.0×10−5 3.0×10−6 1.22 0.041 2 0 表 3 2号岩体专用乳化炸药特性
Table 3. Specifications of No.2 rock-suitable emulsion explosives
Density/(g·cm−3) Detonation velocity/(m·s−1) pC-J/GPa Ae/GPa Be/GPa R1 R2 ω E0/GPa 1.24 3 800 7.40 214.4 0.182 4.20 0.90 0.15 4.192 表 4 切缝装药管结构参数
Table 4. Structural specifications of the slit-tube charge
Density/(g·cm−3) Tensile strength/MPa Impact strength/(kJ·m) External diameter/mm Internal diameter/mm 1.38 60 7 36 32 表 5 矿岩材料物理属性
Table 5. Physical properties of ore-rock materials
Density/(g·cm−3) G/GPa Compressive strength/
GPaTensile strength/
MPaShear strength/
MPaStatic modulus of
elasticity/MPa3.06 3.3 0.144 7.18 9.23 15.48 表 6 空气介质特性参数
Table 6. Characteristic parameters of air medium
Density/(g·cm−3) Temperature/K γ C4 C5 E/Pa V 1.225×10−3 288.20 1.40 0.4 0.4 0.25 1.0 表 7 环向炮孔500 mm爆破参数(无塞套管)泄流控制清单
Table 7. Flow control checklist for 500 mm circumferential blast holes with unstemmed casing
Blasthole Borehole number Number of holes Rolls of blast holes Subtotal/kg Blasthole depth/mm Ignition order Trench hole 1–10 10 10 20.0 3.5 Ⅰ Auxiliary hole 9–28 18 6 21.6 3.1 Ⅱ Peripheral hole 29–47 19 4 15.2 3.1 Ⅲ Bottom hole 48–56 9 10 18.0 3.1 Ⅳ Total 56 -
[1] 路增祥, 李角群, 马强英. 我国空场嗣后充填采矿法研究进展与展望 [J/OL]. 金属矿山, [2025-06-17]. https://link.cnki.net/urlid/34.1055.TD.20250319.1040.002.LU Z X, LI J Q, MA Q Y. Research progress and prospects of open stope mining with subsequent filling method in China [J/OL]. Metal Mine, [2025-06-17]. https://link.cnki.net/urlid/34.1055.TD.20250319.1040.002. [2] 何文, 秦政, 王成, 等. 爆破荷载下新型胶凝原料胶结分级尾砂充填采场的动态响应分析 [J]. 高压物理学报, 2017, 31(6): 803–812. doi: 10.11858/gywlxb.2017.06.016HE W, QIN Z, WANG C, et al. Dynamic response of new cementitious material pasted backfill under explosion loading [J]. Chinese Journal of High Pressure Physics, 2017, 31(6): 803–812. doi: 10.11858/gywlxb.2017.06.016 [3] 邱泓杰, 邱贤阳, 张舒, 等. 爆破动载下锯齿状岩-充界面胶结充填体损伤规律研究 [J]. 煤炭学报, 2025, 50(5): 2036–2049. doi: 10.13225/j.cnki.jccs.2023.1635QIU H J, QIU X Y, ZHANG S, et al. Study on the damage pattern of the cemented backfill at the jagged rock-fill interface under dynamic loading of blasting [J]. Journal of China Coal Society, 2025, 50(5): 2036–2049. doi: 10.13225/j.cnki.jccs.2023.1635 [4] 梅佳伟. 爆破动载作用下充填体损伤力学特性及控制技术 [D]. 西安: 西安建筑科技大学, 2024.MEI J W. Damage mechanical properties and control technology of filling body under blasting dynamic load [D]. Xi’an: Xi’an University of Architecture and Technology, 2024. [5] 罗勇, 沈兆武. 切缝药包岩石定向断裂爆破的研究 [J]. 振动与冲击, 2006, 25(4): 155–158. doi: 10.3969/j.issn.1000-3835.2006.04.042LUO Y, SHEN Z W. Study on the directional fracture controlled blasting with slit-charge in rock [J]. Journal of Vibration and Shock, 2006, 25(4): 155–158. doi: 10.3969/j.issn.1000-3835.2006.04.042 [6] 王汉军, 黄风雷, 张庆明. 岩石定向断裂爆破的力学分析及参数研究 [J]. 煤炭学报, 2003, 28(4): 399–402. doi: 10.3321/j.issn:0253-9993.2003.04.014WANG H J, HUANG F L, ZHANG Q M. Mechanics effect analysis and parameters study on borehole directional fracture blasting [J]. Journal of China Coal Society, 2003, 28(4): 399–402. doi: 10.3321/j.issn:0253-9993.2003.04.014 [7] 杨仁树, 左进京, 杨国梁. 切缝药包定向控制爆破的试验研究 [J]. 振动与冲击, 2018, 37(24): 24–29. doi: 10.13465/j.cnki.jvs.2018.24.005YANG R S, ZUO J J, YANG G L. An experimental study on slotted cartridge directional controlled blasting [J]. Journal of Vibration and Shock, 2018, 37(24): 24–29. doi: 10.13465/j.cnki.jvs.2018.24.005 [8] 肖正学, 张志呈, 郭学彬. 断裂控制爆破裂纹发展规律的研究 [J]. 岩石力学与工程学报, 2002, 21(4): 546–549. doi: 10.3321/j.issn:1000-6915.2002.04.019XIAO Z X, ZHANG Z C, GUO X B. Research on crack developing law of rock fracture controlled blasting [J]. Chinese Journal of Rock Mechanics and Engineering, 2002, 21(4): 546–549. doi: 10.3321/j.issn:1000-6915.2002.04.019 [9] WANG Y B. Study of the dynamic fracture effect using slotted cartridge decoupling charge blasting [J]. International Journal of Rock Mechanics and Mining Sciences, 2017, 96: 34–46. doi: 10.1016/j.ijrmms.2017.04.015 [10] 魏晨慧, 朱万成, 白羽, 等. 不同地应力条件下切缝药包爆破的数值模拟 [J]. 爆炸与冲击, 2016, 36(2): 161–169. doi: 10.11883/1001-1455(2016)02-0161-09WEI C H, ZHU W C, BAI Y, et al. Numerical simulation on cutting seam cartridge blasting under different in-situ stress conditions [J]. Explosion and Shock Waves, 2016, 36(2): 161–169. doi: 10.11883/1001-1455(2016)02-0161-09 [11] WANG W, ZHANG J Q, LIU A. Study on eccentric uncoupled blasting effect of cutting seam pipe [J]. Coatings, 2021, 11(1): 104. doi: 10.3390/coatings11010104 [12] 程兵, 汪海波, 宗琦. 基于SPH-FEM耦合法切缝药包爆破机理数值模拟 [J]. 含能材料, 2020, 28(4): 300–307. doi: 10.11943/CJEM2018363CHENG B, WANG H B, ZONG Q. Numerical simulation on blasting mechanism of slotted cartridge based on coupled SPH-FEM algorithm [J]. Chinese Journal of Energetic Materials, 2020, 28(4): 300–307. doi: 10.11943/CJEM2018363 [13] 申涛, 罗宁, 戚福州, 等. 切缝药包岩石巷道光面爆破数值模拟与优化研究 [J]. 采矿与安全工程学报, 2020, 37(4): 674–680. doi: 10.13545/j.cnki.jmse.2020.04.004SHEN T, LUO N, QI F Z, et al. Numerical simulation and optimization of smooth blasting in rock roadway with split-tube charge holder [J]. Journal of Mining and Safety Engineering, 2020, 37(4): 674–680. doi: 10.13545/j.cnki.jmse.2020.04.004 [14] 纪哲, 岳文豪, 苏洪, 等. 不同割缝宽度爆生裂纹扩展行为研究 [J]. 高压物理学报, 2024, 38(6): 064107. doi: 10.11858/gywlxb.20240733JI Z, YUE W H, SU H, et al. Study on the behavior of blasting crack propagation under different crack widths [J]. Chinese Journal of High Pressure Physics, 2024, 38(6): 064107. doi: 10.11858/gywlxb.20240733 [15] 郭东明, 李杨, 宋耀, 等. 水耦合介质定向断裂爆破裂纹动态扩展机理研究 [J]. 采矿与安全工程学报, 2024, 41(1): 134–141. doi: 10.13545/j.cnki.jmse.2023.0473GUO D M, LI Y, SONG Y, et al. Dynamic crack propagation mechanisms of water-coupling charge under directional fracture blasting [J]. Journal of Mining and Safety Engineering, 2024, 41(1): 134–141. doi: 10.13545/j.cnki.jmse.2023.0473 [16] 杨仁树, 左进京, 李永亮, 等. 不同切缝管材质下切缝药包爆炸冲击波传播特性研究 [J]. 中国矿业大学学报, 2019, 48(2): 229–235. doi: 10.13247/j.cnki.jcumt.000977YANG R S, ZUO J J, LI Y L, et al. Experimental study of slotted cartridge explosion shock wave propagation characteristic with different cutting seam pipe material [J]. Journal of China University of Mining & Technology, 2019, 48(2): 229–235. doi: 10.13247/j.cnki.jcumt.000977 [17] 宁建国, 王成, 马天宝. 爆炸与冲击动力学 [M]. 北京: 国防工业出版社, 2010.NING J G, WANG C, MA T B. Explosion and shock dynamics [M]. Beijing: National Defense Industry Press, 2010. [18] 王雁冰, 李书萱, 耿延杰, 等. 切缝药包爆破定向断裂机理及围岩损伤特性分析 [J]. 工程科学学报, 2023, 45(4): 521–532. doi: 10.13374/j.issn2095-9389.2022.04.20.002WANG Y B, LI S X, GENG Y J, et al. Directional fracture mechanism and surrounding rock damage characteristics of slotted cartridge blasting [J]. Chinese Journal of Engineering, 2023, 45(4): 521–532. doi: 10.13374/j.issn2095-9389.2022.04.20.002 [19] 朱鹏瑞, 宋卫东, 曹帅, 等. 爆破动载下胶结充填体的张拉力学响应机制 [J]. 采矿与安全工程学报, 2018, 35(3): 605–611. doi: 10.13545/j.cnki.jmse.2018.03.022ZHU P R, SONG W D, CAO S. Tensile mechanical response mechanism of cemented backfills under blasting load [J]. Journal of Mining and Safety Engineering, 2018, 35(3): 605–611. doi: 10.13545/j.cnki.jmse.2018.03.022 [20] 赵明阶, 徐蓉. 岩石损伤特性与强度的超声波速研究 [J]. 岩土工程学报, 2000, 22(6): 720–722. doi: 10.3321/j.issn:1000-4548.2000.06.018ZHAO M J, XU R. The rock damage and strength study based on ultrasonic velocity [J]. Chinese Journal of Geotechnical Engineering, 2000, 22(6): 720–722. doi: 10.3321/j.issn:1000-4548.2000.06.018 [21] JOHNSON G R, HOLMQUISTT J. An improved computational constitutive model forbrittle materials [J]. American Institute of Physics, 1994, 309(1): 981. [22] 李洪超, 刘殿书, 赵磊, 等. 大理岩RHT模型参数确定研究 [J]. 北京理工大学学报, 2017, 37(8): 801–806. doi: 10.15918/j.tbit1001-0645.2017.08.006LI H C, LIU D S, ZHAO L, et al. Study on parameters determination of marble RHT model [J]. Transactions of Beijing Institute of Technology, 2017, 37(8): 801–806. doi: 10.15918/j.tbit1001-0645.2017.08.006 [23] 钟靖涛. 花岗岩动力学特性及循环爆破下损伤累积效应研究 [D]. 合肥: 合肥工业大学, 2019.ZHONG J T. Experimental study on dynamic characteristics of granite and cumulative effect of damage under repeated blasting [D]. Hefei: Hefei University of Technology, 2019. [24] 祝文化, 明锋, 宋成梓. 爆破荷载作用下岩体损伤破坏的分形研究 [J]. 岩土力学, 2011, 32(10): 3131–3135. doi: 10.3969/j.issn.1000-7598.2011.10.040ZHU W H, MING F, SONG C Z. Fractal study of rock damage under blasting loading [J]. Rock and Soil Mechanics, 2011, 32(10): 3131–3135. doi: 10.3969/j.issn.1000-7598.2011.10.040 [25] WANG H J, CUI Z D, XU C, et al. Study on the damage mechanism of sandstone under different water content states [J]. Remote Sensing, 2023, 15(12): 3127. doi: 10.3390/rs15123127 [26] 杨仁树, 许鹏. 爆炸作用下介质损伤破坏的分形研究 [J]. 煤炭学报, 2017, 42(12): 3065–3070.YANG R S, XU P. Fractal study of media damage under blasting loading [J]. Journal of China Coal Society, 2017, 42(12): 3065–3071. [27] 王洪建, 张金然, 刘冬桥, 等. 花岗岩滞后应变型岩爆模拟试验中破坏特征分析 [J]. 岩石力学与工程学报, 2025, 44(6): 1481–1499. doi: 10.3724/1000-6915.jrme.2024.0601WANG H J, ZHANG J R, LIU D Q, et al. Analysis of failure characteristics in delayed strain-type rock burst simulation test on granite [J]. Chinese Journal of Rock Mechanics and Engineering, 2025, 44(6): 1481–1499. doi: 10.3724/1000-6915.jrme.2024.0601 [28] 赵菲, 孟世卓, 刘冬桥, 等. 基于声发射信号特征的花岗岩岩爆破坏前兆信息研究 [J]. 岩石力学与工程学报, 2024, 43(11): 2669–2686. doi: 10.13722/j.cnki.jrme.2023.1054ZHAO F, MENG S Z, LIU D Q, et al. Failure precursor of granite rockburst based on acoustic emission signal characteristics [J]. Chinese Journal of Rock Mechanics and Engineering, 2024, 43(11): 2669–2686. doi: 10.13722/j.cnki.jrme.2023.1054 -

下载: