Research Progress in Multi-Boron-Carbon-Based High-Temperature Superconductors under High Pressures
-
摘要: 超导材料在超导临界温度以下呈现出零电阻和完全抗磁性(迈斯纳效应)等独特的量子特性,这使其在能源输运和交通运输等多个领域具有革命性应用潜力。因此,突破液氮温区(77 K)的高温超导体探索始终是凝聚态物理领域的研究焦点。近年来,基于Bardeen-Cooper-Schrieffer(BCS)理论框架,人们发现,除了富氢超导体外,具有强共价键特征的轻质元素化合物(如硼碳基材料)也可以诱导产生强电子-声子耦合,从而实现超过液氮温区的超导电性,且在吉帕压强下表现出优异的结构稳定性。硼碳基超导体的相关研究,如MgB2及其衍生的层状硼碳基超导体、基于方钠石笼型结构的硼碳基超导体以及其他具有特殊结构的硼碳基超导体等,已经成为该领域的新兴研究热点。为此,聚焦近年来硼碳基超导体的研究进展,系统地介绍硼碳基超导体的超导机制,并展望未来在硼碳基化合物中探索高温超导体面临的挑战。Abstract: Superconductors would exhibit unique quantum properties below the critical transition temperatures, including zero-resistance and complete diamagnetism (the Meissner effect) and have potential revolutionary application in fields of energy transmission and transportation. Therefore, the exploration of high-temperature superconductors with transition temperature exceeding the liquid nitrogen boiling point (77 K) has remained a central issue in condensed matter physics. Based on the Bardeen-Cooper-Schrieffer (BCS) theoretical framework, more studies reveal that the light-element compounds with strong covalent bonds (like boron-carbon-based systems) can also exhibit strong electron-phonon coupling, which is similar to the hydrogen rich superconductors. Moreover, it can show high superconducting transition temperatures and can display excellent structural stability under sub-megabar pressures. For example, the MgB2 and its derivatives, such as layered boron-carbon superconductors, sodalite-like cage-structured boron-carbon systems, and other boron-carbon-based superconductors, have received more attention in the field of boron-carbon-based superconductors. In this paper, we reviewed the recent progresses in boron-carbon-based superconductors, systematically analyzed the mechanism of its superconductivity, and discuss future challenges in discovering more high-temperature superconductors within this material family.
-
图 2 压缩应变 ε=−4%下C2CaC2的声子谱(其权重为电声耦合强度)(a)以及不同压缩应变(ε=0, −2%, −4%)下的声子谱(b)、总投影态密度(c)、Eliashberg谱函数α2F(ω)和电声耦合函数 λ(ω) (d)[25]
Figure 2. Phonon spectra of C2CaC2 at compressive strain ε=−4%, and its weight is the magnitude of EPC (a), and phonon spectra (b), the total projected density of states (PhDOS)(c), Eliashberg spectral function α2F(ω), and EPC function λ(ω) (d) for the pristine and with compressive strain ε=0, −2%, −4%, respectively[25]
图 4 通过机械点接触光谱测得的TaC (a)和NbC (b)的电导曲线随温度的变化(插图表示零偏压电导G随温度T的变化[20])以及在磁场H=20 Oe的条件下测得的Ti0.2Zr0.2Nb0.2Mo0.2Ta0.2C (c)和Ti0.2Zr0.2Nb0.2Mo0.2Ta0.2C0.8 (d)的零场冷却体积磁化率随温度的变化[32] (GN为归一化电导率,V为偏压,χ为磁化率,N为退磁因子)
Figure 4. Temperature-dependent conductance curves for mechanical point-contact spectroscopy (MPCS) on TaC (a) and NbC (b), where the insets show the zero-bias conductance (G) as a function of temperature[20]; temperature dependence of the zero-field-cooled (ZFC) magnetic susceptibility measured in a magnetic field (H) of 20 Oe for Ti0.2Zr0.2Nb0.2Mo0.2Ta0.2C (c) and Ti0.2Zr0.2Nb0.2Mo0.2Ta0.2C0.8 (d)[32] (GN, V, χ, N represents normalized conductance, bias voltage, magnetic susceptibility and demagnetization factor, respectively.)
图 10 MgB3C3的能带结构和DOS (a)、声子谱(b)以及沿G-Α方向(20.3 THz)的双重简并E′声子模式振动与电子之间的强耦合(c)[16]
Figure 10. Band structure and DOS (a), phonon spectra (b), and the strong coupling between the vibration of two fold phonons for double degenerate E′ mode along the G-Α direction (20.3 THz) and electrons (c) of MgB3C3[16]
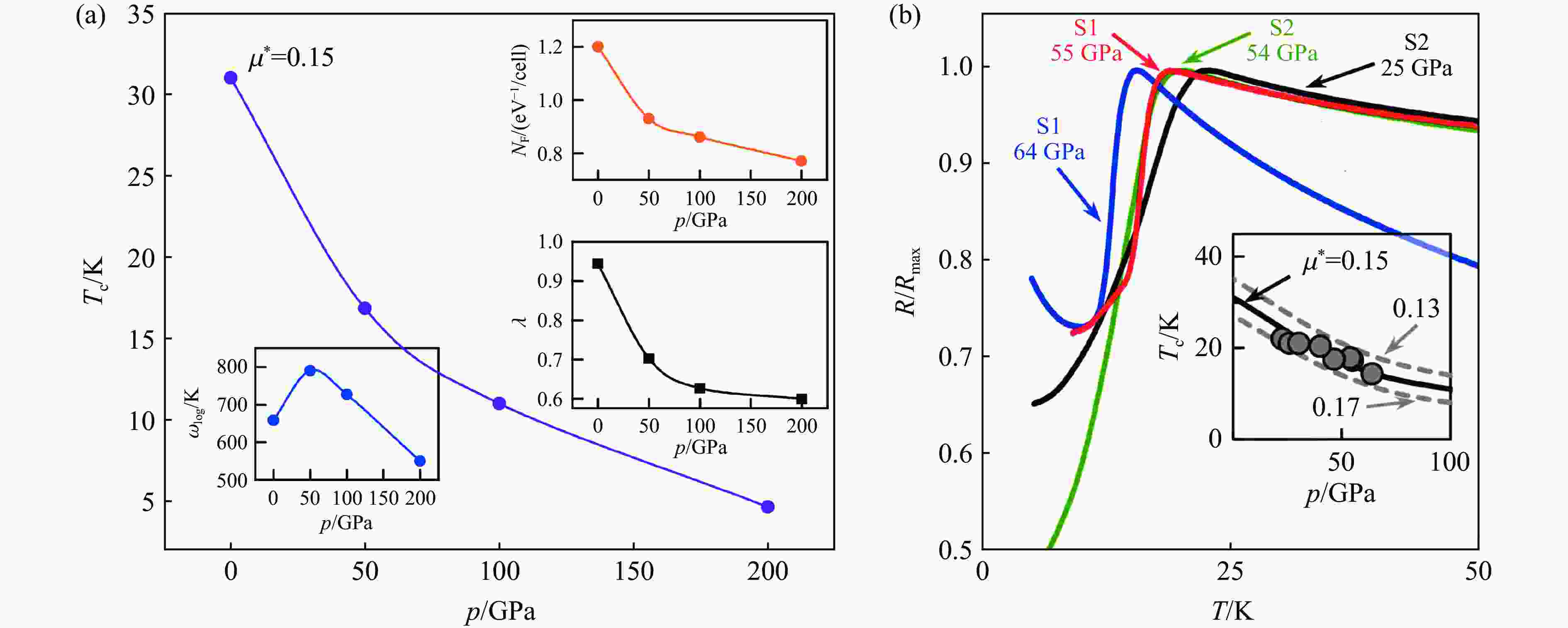
图 11 (a) Tc随压强p变化的函数关系(插图展示了对数平均声子频率ωlog、费米面处电子态密度NF以及λ随压强变化的关系),(b)样品在不同压强下的多次冷却实验中归一化电阻(R/Rmax)变化曲线(插图展示了SrB3C3的Tc的实验结果)[18]
Figure 11. (a) Tc as a function of pressure (The pressure dependencies of the logarithmic mean phonon frequency ωlog, DOS at the Fermi surface NF, and λ are shown in insets.); (b) normalized resistance curves for several cooling runs at different pressures for samples (The inset shows the experimental Tc for SrB3C3)[18]
-
[1] WIGNER E, HUNTINGTON H B. On the possibility of a metallic modification of hydrogen [J]. The Journal of Chemical Physics, 1935, 3(12): 764–770. doi: 10.1063/1.1749590 [2] ASHCROFT N W. Metallic hydrogen: a high-temperature superconductor? [J]. Physical Review Letters, 1968, 21(26): 1748–1749. doi: 10.1103/PhysRevLett.21.1748 [3] JOHNSON K A, ASHCROFT N W. Structure and bandgap closure in dense hydrogen [J]. Nature, 2000, 403(6770): 632–635. doi: 10.1038/35001024 [4] STÄDELE M, MARTIN R M. Metallization of molecular hydrogen: predictions from exact-exchange calculations [J]. Physical Review Letters, 2000, 84(26): 6070–6073. doi: 10.1103/PhysRevLett.84.6070 [5] ASHCROFT N W. Hydrogen dominant metallic alloys: high temperature superconductors? [J]. Physical Review Letters, 2004, 92(18): 187002. doi: 10.1103/PhysRevLett.92.187002 [6] DUAN D F, LIU Y X, TIAN F B, et al. Pressure-induced metallization of dense (H2S)2H2 with high-Tc superconductivity [J]. Scientific Reports, 2014, 4: 6968. doi: 10.1038/srep06968 [7] WANG H, TSE J S, TANAKA K, et al. Superconductive sodalite-like clathrate calcium hydride at high pressures [J]. Proceedings of the National Academy of Sciences of the United States of America, 2012, 109(17): 6463–6466. doi: 10.1073/pnas.1118168109 [8] MA L, WANG K, XIE Y, et al. High-temperature superconducting phase in clathrate calcium hydride CaH6 up to 215 K at a pressure of 172 GPa [J]. Physical Review Letters, 2022, 128(16): 167001. doi: 10.1103/PhysRevLett.128.167001 [9] KONG P P, MINKOV V S, KUZOVNIKOV M A, et al. Superconductivity up to 243 K in the yttrium-hydrogen system under high pressure [J]. Nature Communications, 2021, 12(1): 5075. doi: 10.1038/s41467-021-25372-2 [10] LIU H Y, NAUMOV I I, HOFFMANN R, et al. Potential high-Tc superconducting lanthanum and yttrium hydrides at high pressure [J]. Proceedings of the National Academy of Sciences of the United States of America, 2017, 114(27): 6990–6995. doi: 10.1073/pnas.1704505114 [11] SOMAYAZULU M, AHART M, MISHRA A K, et al. Evidence for superconductivity above 260 K in lanthanum superhydride at megabar pressures [J]. Physical Review Letters, 2019, 122(2): 027001. doi: 10.1103/PhysRevLett.122.027001 [12] HONG F, YANG L X, SHAN P F, et al. Superconductivity of lanthanum superhydride investigated using the standard four-probe configuration under high pressures [J]. Chinese Physics Letters, 2020, 37(10): 107401. doi: 10.1088/0256-307X/37/10/107401 [13] NAGAMATSU J, NAKAGAWA N, MURANAKA T, et al. Superconductivity at 39 K in magnesium diboride [J]. Nature, 2001, 410(6824): 63–64. doi: 10.1038/35065039 [14] AN J M, PICKETT W E. Superconductivity of MgB2: covalent bonds driven metallic [J]. Physical Review Letters, 2001, 86(19): 4366–4369. doi: 10.1103/PhysRevLett.86.4366 [15] BOERI L, KORTUS J, ANDERSEN O K. Three-dimensional MgB2-type superconductivity in hole-doped diamond [J]. Physical Review Letters, 2004, 93(23): 237002. doi: 10.1103/PhysRevLett.93.237002 [16] PHAM T T, NGUYEN D L. First-principles prediction of superconductivity in MgB3C3 [J]. Physical Review B, 2023, 107(13): 134502. doi: 10.1103/PhysRevB.107.134502 [17] LI Y P, YANG L, LIU H D, et al. Superconductivity in alkali metal-deposited monolayer BC: MBC (M=Na, K) [J]. Journal of Low Temperature Physics, 2024, 217(5): 735–748. doi: 10.1007/s10909-024-03227-6 [18] ZHU L, LIU H Y, SOMAYAZULU M, et al. Superconductivity in SrB3C3 clathrate [J]. Physical Review Research, 2023, 5(1): 013012. doi: 10.1103/PhysRevResearch.5.013012 [19] ZHU L, BORSTAD G M, LIU H Y, et al. Carbon-boron clathrates as a new class of sp3-bonded framework materials [J]. Science Advances, 2020, 6(2): eaay8361. doi: 10.1126/sciadv.aay8361 [20] ZHANG D T, CHEN C F, YAN D Y, et al. Fully-gapped superconductivity in single crystalline NbC and TaC probed by point-contact spectroscopy [J]. Superconductor Science and Technology, 2022, 35(12): 125004. doi: 10.1088/1361-6668/ac9dc4 [21] YANG X, ZHAO W B, MA L, et al. Prediction of fully metallic σ-bonded boron framework induced high superconductivity above 100 K in thermodynamically stable Sr2B5 at 40 GPa [EB/OL]. (2023-10-21)[2025-04-14]. https://doi.org/10.48550/arXiv.2310.13945. [22] LARANJEIRA J, ERREA I, DANGIĆ Đ, et al. Superconductivity in the doped polymerized fullerite clathrate from first principles [J]. Physica Status Solidi, 2024, 18(1): 2300249. doi: 10.1002/pssr.202300249 [23] WANG X T, LIU N N, WU Y F, et al. Strong coupling superconductivity in Ca-intercalated bilayer graphene on SiC [J]. Nano Letters, 2022, 22(18): 7651–7658. doi: 10.1021/acs.nanolett.2c02804 [24] HUEMPFNER T, OTTO F, FORKER R, et al. Superconductivity of K-intercalated epitaxial bilayer graphene [J]. Advanced Materials Interfaces, 2023, 10(11): 2300014. doi: 10.1002/admi.202300014 [25] TAN J H, WANG H, CHEN Y J, et al. Superconductivity in Ca-intercalated bilayer graphene: C2CaC2 [J]. Physical Chemistry Chemical Physics, 2024, 26(15): 11429–11435. doi: 10.1039/d3cp06245g [26] YANG L, LIU P F, LIU H D, et al. Strong-coupling superconductivity with Tc above 70 K in Be-decorated monolayer T-graphene [J]. Science China Physics, Mechanics & Astronomy, 2024, 67(1): 217412. [27] HAI Y L, JIANG M J, TIAN H L, et al. Superconductivity above 100 K predicted in carbon-cage network [J]. Advanced Science, 2023, 10(33): e2303639. doi: 10.1002/advs.202303639 [28] JIN S Y, KUANG X Y, DOU X L, et al. Sodalite-like carbon based superconductors with Tc about 77 K at ambient pressure [J]. Journal of Materials Chemistry C, 2024, 12(4): 1516–1522. doi: 10.1039/D3TC04096H [29] TSUPPAYAKORN-AEK P, EKTARAWONG A, SUKMAS W, et al. Thermodynamic stability and superconductivity of tantalum carbides from first-principles cluster expansion and isotropic Eliashberg theory [J]. Computational Materials Science, 2022, 202: 111004. doi: 10.1016/j.commatsci.2021.111004 [30] MEENA P K , JANGID S, KUSHWAHA R K, et al. Stabilization of ambient pressure rocksalt crystal structure and high critical field superconductivity in ReC via Mo and W substitution [J]. Superconductor Science and Technology, 2025, 38(3): 035027. [31] ZENG L Y, WANG Z Q, SONG J, et al. Discovery of the high-entropy carbide ceramic topological superconductor candidate (Ti0.2Zr0.2Nb0.2Hf0.2Ta0.2)C [J]. Advanced Functional Materials, 2023, 33(40): 2301929. doi: 10.1002/adfm.202301929 [32] ZENG L Y, HU X W, ZHOU Y Z, et al. Superconductivity in the high-entropy ceramics Ti0.2Zr0.2Nb0.2Mo0.2Ta0.2Cx with possible nontrivial band topology [J]. Advanced Science, 2024, 11(5): 2305054. doi: 10.1002/advs.202305054 [33] HAO C M, LI X, OGANOV A R, et al. Superconductivity in compounds of sodium-intercalated graphite [J]. Physical Review B, 2023, 108(21): 214507. doi: 10.1103/PhysRevB.108.214507 [34] MISHRA S B, MARCIAL E T, DEBATA S, et al. Stability-superconductivity map for compressed Na-intercalated graphite [J]. Physical Review B, 2024, 110(17): 174508. doi: 10.1103/PhysRevB.110.174508 [35] HAO C M, DING S C, XU B, et al. Predicting a metallic carbon allotrope: pop-graphite via Na-C compounds [J]. Applied Physics Letters, 2025, 126(12): 121903. doi: 10.1063/5.0254662 [36] DING S C, ZHU L, ZHANG X H, et al. Superconductivity in diamond-like BC15 [J]. Inorganic Chemistry, 2024, 63(40): 18781–18787. doi: 10.1021/acs.inorgchem.4c02791 [37] ENYASHIN A N, IVANOVSKII A L. Graphene allotropes [J]. Physica Status Solidi B, 2011, 248(8): 1879–1883. doi: 10.1002/pssb.201046583 [38] LIU Y, WANG G, HUANG Q S, et al. Structural and electronic properties of T-graphene: a two-dimensional carbon allotrope with tetrarings [J]. Physical Review Letters, 2012, 108(22): 225505. doi: 10.1103/PhysRevLett.108.225505 [39] HANNAY N B, GEBALLE T H, MATTHIAS B T, et al. Superconductivity in graphitic compounds [J]. Physical Review Letters, 1965, 14(7): 225–226. doi: 10.1103/PhysRevLett.14.225 [40] EMERY N, HÉROLD C, D’ASTUTO M, et al. Superconductivity of bulk CaC6 [J]. Physical Review Letters, 2005, 95(8): 087003. doi: 10.1103/PhysRevLett.95.087003 [41] WELLER T E, ELLERBY M, SAXENA S S, et al. Superconductivity in the intercalated graphite compounds C6Yb and C6Ca [J]. Nature Physics, 2005, 1(1): 39–41. doi: 10.1038/nphys0010 [42] CHEN W J. Superconductivity at 28 K in CaB3C3 predicted from first-principles [J]. Journal of Applied Physics, 2013, 114(17): 173906. doi: 10.1063/1.4829458 [43] PROFETA G, CALANDRA M, MAURI F. Phonon-mediated superconductivity in graphene by lithium deposition [J]. Nature Physics, 2012, 8(2): 131–134. doi: 10.1038/nphys2181 [44] PEŠIĆ J, GAJIĆ R, HINGERL K, et al. Strain-enhanced superconductivity in Li-doped graphene [J]. Europhysics Letters, 2014, 108(6): 67005. doi: 10.1209/0295-5075/108/67005 [45] DAMASCELLI A, HUSSAIN Z, SHEN Z X. Angle-resolved photoemission studies of the cuprate superconductors [J]. Reviews of Modern Physics, 2003, 75(2): 473–541. doi: 10.1103/RevModPhys.75.47 [46] GU Q Y, XING D Y, SUN J. Superconducting single-layer T-graphene and novel synthesis routes [J]. Chinese Physics Letters, 2019, 36(9): 097401. doi: 10.1088/0256-307X/36/9/097401 [47] KANG Y T, LU C, YANG F, et al. Single-orbital realization of high-temperature superconductivity in the square-octagon lattice [J]. Physical Review B, 2019, 99(18): 184506. doi: 10.1103/PhysRevB.99.184506 [48] QIAO S X, SUI C H, YANG L, et al. The effect of doping and strain on superconductivity of T-graphene [J]. Physical Chemistry Chemical Physics, 2022, 24(42): 25767–25772. doi: 10.1039/D2CP03155H [49] IWASA Y, TAKENOBU T. Superconductivity, Mott-Hubbard states, and molecular orbital order inintercalated fullerides [J]. Journal of Physics: Condensed Matter, 2003, 15(13): R495–R519. doi: 10.1088/0953-8984/15/13/202 [50] PALSTRA T T M, ZHOU O, IWASA Y, et al. Superconductivity at 40 K in cesium doped C60 [J]. Solid State Communications, 1995, 93(4): 327–330. doi: 10.1016/0038-1098(94)00787-X [51] GUNNARSSON O. Superconductivity in fullerides [J]. Reviews of Modern Physics, 1997, 69(2): 575–606. doi: 10.1103/RevModPhys.69.575 [52] SPAGNOLATTI I, BERNASCONI M, BENEDEK G. Electron-phonon interaction in carbon clathrate hex-C40 [J]. The European Physical Journal B: Condensed Matter and Complex Systems, 2003, 34(1): 63–67. doi: 10.1140/epjb/e2003-00197-0 [53] BERNASCONI M, GAITO S, BENEDEK G. Clathrates as effective p-type and n-type tetrahedral carbon semiconductors [J]. Physical Review B, 2000, 61(19): 12689–12692. doi: 10.1103/PhysRevB.61.12689 [54] ZIPOLI F, BERNASCONI M, BENEDEK G. Electron-phonon coupling in halogen-doped carbon clathrates from first principles [J]. Physical Review B, 2006, 74(20): 205408. doi: 10.1103/PhysRevB.74.205408 [55] LU S Y, LIU H Y, NAUMOV I I, et al. Superconductivity in dense carbon-based materials [J]. Physical Review B, 2016, 93(10): 104509. doi: 10.1103/PhysRevB.93.104509 [56] ALLRED A L, ROCHOW E G. A scale of electronegativity based on electrostatic force [J]. Journal of Inorganic and Nuclear Chemistry, 1958, 5(4): 264–268. doi: 10.1016/0022-1902(58)80003-2 [57] ZHANG M, LIU H Y, LI Q, et al. Superhard BC3 in cubic diamond structure [J]. Physical Review Letters, 2015, 114(1): 015502. doi: 10.1103/PhysRevLett.114.015502 [58] SOLOZHENKO V L, KURAKEVYCH O O, ANDRAULT D, et al. Ultimate metastable solubility of boron in diamond: synthesis of superhard diamondlike BC5 [J]. Physical Review Letters, 2009, 102(1): 015506. doi: 10.1103/PhysRevLett.102.015506 [59] SUN D, DING J H, HUANG S S, et al. Interactions between helium, hydrogen and intrinsic point defects in TaC crystal [J]. Journal of Alloys and Compounds, 2018, 741: 900–907. doi: 10.1016/j.jallcom.2018.01.228 [60] BALANI K, GONZALEZ G, AGARWAL A, et al. Synthesis, microstructural characterization, and mechanical property evaluation of vacuum plasma sprayed tantalum carbide [J]. Journal of the American Ceramic Society, 2006, 89(4): 1419–1425. doi: 10.1111/j.1551-2916.2005.00899.x [61] KRAJEWSKI A, D’ALESSIO L, DE MARIA G. Physiso-chemical and thermophysical properties of cubic binary carbides [J]. Crystal Research & Technology, 1998, 33(3): 341–374. doi: 10.1002/(SICI)1521-4079(1998)33:3<341::AID-CRAT341>3.0.CO;2-I [62] TEGHIL R, D’ALESSIO L, ZACCAGNINO M, et al. TiC and TaC deposition by pulsed laser ablation: a comparative approach [J]. Applied Surface Science, 2001, 173(3/4): 233–241. doi: 10.1016/S0169-4332(00)00900-4 [63] DU J Y, LI X F, PENG F. Pressure-induced evolution of structures and promising superconductivity of ScB6 [J]. Physical Chemistry Chemical Physics, 2022, 24(17): 10079–10084. doi: 10.1039/D2CP00711H [64] KAFLE G P, TOMASSETTI C R, MAZIN I I, et al. Ab initio study of Li-Mg-B superconductors [J]. Physical Review Materials, 2022, 6(8): 084801. doi: 10.1103/PhysRevMaterials.6.084801 [65] SEVIK C, BEKAERT J, PETROV M, et al. High-temperature multigap superconductivity in two-dimensional metal borides [J]. Physical Review Materials, 2022, 6(2): 024803. doi: 10.1103/PhysRevMaterials.6.024803 [66] PEI C Y, ZHANG J F, WANG Q, et al. Pressure-induced superconductivity at 32 K in MoB2 [J]. National Science Review, 2023, 10(5): nwad034. doi: 10.1093/nsr/nwad034 [67] ZENG S M, ZHAO Y C, ZULFIQAR M, et al. Prediction of superconductivity in sandwich XB4 (X=Li, Be, Zn and Ga) films [J]. Physical Chemistry Chemical Physics, 2023, 25(41): 28393–28401. doi: 10.1039/d3cp03427e [68] ZHOU C, YU H Y, ZHANG Z H, et al. First-principles study of the superconductivity of MoB2 under low pressure and its evolution under high pressure [J]. Physical Review B, 2024, 109(6): 064502. doi: 10.1103/PhysRevB.109.064502 [69] CHEN C H, LAN Y S, HUANG A, et al. Two-gap topological superconductor LaB2 with high Tc=30 K [J]. Nanoscale Horizons, 2024, 9(1): 148–155. doi: 10.1039/D3NH00249G [70] TAO X R, YANG A Q, QUAN Y D, et al. Discovery of superconductivity in technetium borides at moderate pressures [J]. Physical Chemistry Chemical Physics, 2024, 26(24): 16963–16971. doi: 10.1039/D4CP00191E [71] CUI Z, YANG Q P, QU X, et al. A superconducting boron allotrope featuring anticlinal pentapyramids [J]. Journal of Materials Chemistry C, 2022, 10(2): 672–679. doi: 10.1039/D1TC03908C [72] HAN S, YU L C, LIU Y X, et al. Clathrate-like alkali and alkaline-earth metal borides: a new family of superconductors with superior hardness [J]. Advanced Functional Materials, 2023, 33(14): 2213377. doi: 10.1002/adfm.202213377 [73] XIE H, WANG H, QIN F, et al. A fresh class of superconducting and hard pentaborides [J]. Matter and Radiation at Extremes, 2023, 8(5): 058404. doi: 10.1063/5.0157250 [74] ZHANG P Y, TIAN Y F, YANG Y L, et al. Stable Rb-B compounds under high pressure [J]. Physical Review Research, 2023, 5(1): 013130. doi: 10.1103/PhysRevResearch.5.013130 [75] MA Y B, DONG J, CHEN H Q, et al. Ambient-pressure hardness and superconductivity in sp2 and sp3 bonded Ce-B compounds [J]. Physical Review B, 2024, 110(13): 134515. doi: 10.1103/PhysRevB.110.134515 [76] WANG R H, SUN Y, ZHANG F, et al. High-throughput screening of strong electron-phonon couplings in ternary metal diborides [J]. Inorganic Chemistry, 2022, 61(45): 18154–18161. doi: 10.1021/acs.inorgchem.2c02829 [77] PEI C Y, ZHANG J F, GONG C S, et al. Distinct superconducting behaviors of pressurized WB2 and ReB2 with different local B layers[J]. Science China Physics, Mechanics & Astronomy, 2022, 65(8): 287412. [78] HIRE A C, SINHA S, LIM J, et al. High critical field superconductivity at ambient pressure in MoB2 stabilized in the P6/mmm structure via Nb substitution [J]. Physical Review B, 2022, 106(17): 174515. doi: 10.1103/PhysRevB.106.174515 [79] HAN Y F, SHANG Y, WAN W H, et al. Superconductivity in two-dimensional MB4 (M=V, Nb, and Ta) [J]. New Journal of Physics, 2023, 25(10): 103019. doi: 10.1088/1367-2630/acffef [80] MA L, WANG L R, YUAN Y F, et al. High-temperature superconductivity in doped boron clathrates [J]. Chinese Physics Letters, 2023, 40(8): 086201. doi: 10.1088/0256-307X/40/8/086201 [81] LIM J, HIRE A C, QUAN Y, et al. Creating superconductivity in WB2 through pressure-induced metastable planar defects [J]. Nature Communications, 2022, 13(1): 7901. doi: 10.1038/s41467-022-35191-8 [82] LORTZ R, WANG Y, TUTSCH U, et al. Superconductivity mediated by a soft phonon mode: specific heat, resistivity, thermal expansion, and magnetization of YB6 [J]. Physical Review B, 2006, 73(2): 024512. doi: 10.1103/PhysRevB.73.024512 [83] FISK Z, SCHMIDT P H, LONGINOTTI L D. Growth of YB6 single crystals [J]. Materials Research Bulletin, 1976, 11(8): 1019–1022. doi: 10.1016/0025-5408(76)90179-3 [84] PALLECCHI I, BROTTO P, FERDEGHINI C, et al. Investigation of Li-doped MgB2 [J]. Superconductor Science and Technology, 2009, 22(9): 095014. doi: 10.1088/0953-2048/22/9/095014 [85] FENG Y, ZHAO Y, PRADHAN A K, et al. Enhanced flux pinning in Zr-doped MgB2 bulk superconductors prepared at ambient pressure [J]. Journal of Applied Physics, 2002, 92(5): 2614–2619. doi: 10.1063/1.1496128 [86] TOULEMONDE P, MUSOLINO N, FLÜKIGER R. High-pressure synthesis of pure and doped superconducting MgB2 compounds [J]. Superconductor Science and Technology, 2003, 16(2): 231–236. doi: 10.1088/0953-2048/16/2/318 [87] AGRESTINI S, METALLO C, FILIPPI M, et al. Substitution of Sc for Mg in MgB2: effects on transition temperature and Kohn anomaly [J]. Physical Review B, 2004, 70(13): 134514. doi: 10.1103/PhysRevB.70.134514 [88] SHEN Z X, DESSAU D S. Electronic structure and photoemission studies of late transition-metal oxides: Mott insulators and high-temperature superconductors [J]. Physics Reports, 1995, 253(1/2/3): 1–162. doi: 10.1016/0370-1573(95)80001-A [89] WENG X J, ZHU Y, XU Y, et al. Synthesis of metalloborophene nanoribbons on Cu (110) [J]. Advanced Functional Materials, 2024, 34(21): 2314576. doi: 10.1002/adfm.202314576 [90] AKOPOV G, YEUNG M T, KANER R B. Rediscovering the crystal chemistry of borides [J]. Advanced Materials, 2017, 29(21): 1604506. doi: 10.1002/adma.201604506 [91] LA PLACA S, BINDER I, POST B. Binary dodecaborides [J]. Journal of Inorganic and Nuclear Chemistry, 1961, 18: 113–117. doi: 10.1016/0022-1902(61)80377-1 [92] KATO K, KAWADA I, OSHIMA C, et al. Lanthanum tetraboride [J]. Structural Science, 1974, 30(12): 2933–2934. [93] SCHLESINGER M E, LIAO P K, SPEAR K E. The B-La (boron-lanthanum) system [J]. Journal of Phase Equilibria, 1999, 20(1): 73–78. doi: 10.1361/105497199770335974 [94] MA L, YANG X, LIU G T, et al. Design and synthesis of clathrate LaB8 with superconductivity [J]. Physical Review B, 2021, 104(17): 174112. doi: 10.1103/PhysRevB.104.174112 [95] TOMASSETTI C R, GOCHITASHVILI D, RENSKERS C, et al. First-principles design of ambient-pressure MgxB2C2 and NaxBC superconductors [J]. Physical Review Materials, 2024, 8(11): 114801. doi: 10.1103/PhysRevMaterials.8.114801 [96] WU S S, YANG C L, LI X H, et al. Superconductivity of the two-dimensional MB2C2 (M=3d, 4d) monolayers [J]. Materials Today Communications, 2025, 42: 111207. doi: 10.1016/j.mtcomm.2024.111207 [97] TOMASSETTI C R, KAFLE G P, MARCIAL E T, et al. Prospect of high-temperature superconductivity in layered metal borocarbides [J]. Journal of Materials Chemistry C, 2024, 12(13): 4870–4884. doi: 10.1039/D4TC00210E [98] ZHANG C, TANG H, PAN C, et al. Machine learning guided discovery of superconducting calcium borocarbides [J]. Physical Review B, 2023, 108(2): 024512. doi: 10.1103/PhysRevB.108.024512 [99] HAYAMI W, ROCQUEFELTE X, HALET J F. Possible superconductivity for layered metal boride carbide compounds MB2C2 (M=Alkali, Alkaline-earth, or rare-earth metals) [J]. Inorganic Chemistry, 2024, 63(44): 20975–20983. doi: 10.1021/acs.inorgchem.4c02221 [100] SINGH S, ROMERO A H, MELLA J D, et al. High-temperature phonon-mediated superconductivity in monolayer Mg2B4C2 [J]. NPJ Quantum Materials, 2022, 7(1): 37. doi: 10.1038/s41535-022-00446-6 [101] ZHANG P Y, LI X, YANG X, et al. Path to high-Tc superconductivity via Rb substitution of guest metal atoms in the SrB3C3 clathrate [J]. Physical Review B, 2022, 105(9): 094503. doi: 10.1103/PhysRevB.105.094503 [102] GAI T T, GUO P J, YANG H C, et al. Van Hove singularity induced phonon-mediated superconductivity above 77 K in hole-doped SrB3C3 [J]. Physical Review B, 2022, 105(22): 224514. doi: 10.1103/PhysRevB.105.224514 [103] DI CATALDO S, QULAGHASI S, BACHELET G B, et al. High-Tc superconductivity in doped boron-carbon clathrates [J]. Physical Review B, 2022, 105(6): 064516. doi: 10.1103/PhysRevB.105.064516 [104] GENG N S, HILLEKE K P, ZHU L, et al. Conventional high-temperature superconductivity in metallic, covalently bonded, binary-guest C-B clathrates [J]. Journal of the American Chemical Society, 2023, 145(3): 1696–1706. doi: 10.1021/jacs.2c10089 [105] DUAN Q Z, ZHAN L H, SHEN J Y, et al. Predicting superconductivity near 70 K in 1166-type boron-carbon clathrates at ambient pressure [J]. Physical Review B, 2024, 109(5): 054505. doi: 10.1103/PhysRevB.109.054505 [106] CUI Z, ZHANG X H, SUN Y H, et al. Prediction of novel boron-carbon based clathrates [J]. Physical Chemistry Chemical Physics, 2022, 24(27): 16884–16890. doi: 10.1039/D2CP01783K [107] LI J D, YUE J C, GUO S Q, et al. High-temperature superconductivity of boron-carbon clathrates at ambient pressure [J]. Physical Review B, 2024, 109(14): 144509. doi: 10.1103/PhysRevB.109.144509 [108] LI B, CHENG Y L, ZHU C, et al. Superconductivity near 70 K in boron-carbon clathrates MB2C8 (M=Na, K, Rb, Cs) at ambient pressure [J]. Physical Review B, 2024, 109(18): 184517. doi: 10.1103/PhysRevB.109.184517 [109] ZHANG D D, BHULLAR M, CUI X Y, et al. Emergent superconductivity in clathrate Sr(B,C)9 at low pressures [J]. Computational Materials Science, 2025, 246: 113419. doi: 10.1016/j.commatsci.2024.113419 [110] ZHENG F, SUN Y, WANG R H, et al. Superconductivity in the Li-B-C system at 100 GPa [J]. Physical Review B, 2023, 107(1): 014508. doi: 10.1103/PhysRevB.107.014508 [111] ZHENG F, SUN Y, WANG R H, et al. Prediction of superconductivity in metallic boron-carbon compounds from 0 to 100 GPa by high-throughput screening [J]. Physical Chemistry Chemical Physics, 2023, 25(47): 32594–32601. doi: 10.1039/D3CP03844K [112] CHEN P, WU Z P, SUN Y, et al. High-temperature superconductivity of ternary Ca4BC23–x clathrates at moderate pressure [J]. Physical Review B, 2024, 110(21): 214106. doi: 10.1103/PhysRevB.110.214106 [113] SUN Y, ZHU L. Hydride units filled boron-carbon clathrate: a pathway for high-temperature superconductivity at ambient pressure [J]. Communications Physics, 2024, 7(1): 324. doi: 10.1038/s42005-024-01814-3 [114] LIU J Y, LIU A L, CHENG X R, et al. A class of alkali metal boron-carbon clathrates with superconductivity and superhard properties [J]. Journal of Alloys and Compounds, 2025, 1018: 179094. doi: 10.1016/j.jallcom.2025.179094 [115] WÖRLE M, NESPER R, MAIR G, et al. LiBC: ein vollständig interkalierter heterographit [J]. Zeitschrift für Anorganische und Allgemeine Chemie, 1995, 621(7): 1153–1159. doi: 10.1002/zaac.19956210707 [116] KARIMOV P F, SKORIKOV N A, KURMAEV E Z, et al. Resonant inelastic soft X-ray scattering and electronic structure of LiBC [J]. Journal of Physics: Condensed Matter, 2004, 16(28): 5137–5142. doi: 10.1088/0953-8984/16/28/031 [117] MODAK P, VERMA A K, MISHRA A K. Prediction of superconductivity at 70 K in a pristine monolayer of LiBC [J]. Physical Review B, 2021, 104(5): 054504. doi: 10.1103/PhysRevB.104.054504 [118] GAO M, YAN X W, LU Z Y, et al. Strong-coupling superconductivity in LiB2C2 trilayer films [J]. Physical Review B, 2020, 101(9): 094501. doi: 10.1103/PhysRevB.101.094501 [119] WANG J N, YAN X W, GAO M. High-temperature superconductivity in SrB3C3 and BaB3C3 predicted from first-principles anisotropic Migdal-Eliashberg theory [J]. Physical Review B, 2021, 103(14): 144515. doi: 10.1103/PhysRevB.103.144515 -

下载: