装药缺陷对浇注装药快烤响应特性的影响

梁明阳 智小琦 于永利 肖游

梁明阳, 智小琦, 于永利, 肖游. 装药缺陷对浇注装药快烤响应特性的影响[J]. 高压物理学报, 2025, 39(4): 045101. doi: 10.11858/gywlxb.20240893
引用本文: 梁明阳, 智小琦, 于永利, 肖游. 装药缺陷对浇注装药快烤响应特性的影响[J]. 高压物理学报, 2025, 39(4): 045101. doi: 10.11858/gywlxb.20240893
LIANG Mingyang, ZHI Xiaoqi, YU Yongli, XIAO You. Effect of Charge Defects on the Fast Cook-off Response Characteristics of Cast PBX Explosive Charge[J]. Chinese Journal of High Pressure Physics, 2025, 39(4): 045101. doi: 10.11858/gywlxb.20240893
Citation: LIANG Mingyang, ZHI Xiaoqi, YU Yongli, XIAO You. Effect of Charge Defects on the Fast Cook-off Response Characteristics of Cast PBX Explosive Charge[J]. Chinese Journal of High Pressure Physics, 2025, 39(4): 045101. doi: 10.11858/gywlxb.20240893

装药缺陷对浇注装药快烤响应特性的影响

doi: 10.11858/gywlxb.20240893
详细信息
    作者简介:

    梁明阳(1998-),男,硕士研究生,主要从事不敏感弹药研究. E-mail:1522775234@qq.com

    通讯作者:

    智小琦(1963-),女,博士,教授,主要从事战斗部毁伤技术及不敏感弹药研究. E-mail:zxq4060@sina.com

  • 中图分类号: O521.9; TJ55

Effect of Charge Defects on the Fast Cook-off Response Characteristics of Cast PBX Explosive Charge

  • 摘要: 为研究炸药装药缺陷对快速烤燃响应特性的影响,对Ⅰ型烤燃弹(无缺陷装药)和Ⅱ型烤燃弹(含缺陷装药)进行了快速烤燃试验。Ⅱ型烤燃弹的响应时间(128 s)短于Ⅰ型烤燃弹(132 s),且在5 m处的最大冲击波超压峰值(62.7 kPa)高于Ⅰ型烤燃弹(12.5 kPa)。试验结果表明,点火后Ⅱ型烤燃弹的响应较无缺陷的Ⅰ型烤燃弹更为剧烈,但二者的响应等级仍为燃烧反应。在此基础上,通过Fluent软件建立了池火与烤燃试件相互耦合的计算模型,模拟了试件在火焰中的受热情况。研究发现,缺陷越靠近装药表面,缺陷处的局部温度越高,但对装药的响应时间无明显影响。

     

  • 图  烤燃系统压力测点俯视图

    Figure  1.  Top view of pressure points in the cook-off system

    图  快速烤燃示意图

    Figure  2.  Schematic diagram of fast cook-off

    图  Ⅱ型烤燃弹预制缺陷CT图

    Figure  3.  CT images of the pre-fabricated defect of TypeⅡcook-off bomb

    图  温度-时间历史曲线

    Figure  4.  Temperature-time history curves

    图  两型弹响应时的状态

    Figure  5.  During-response condition of two types of cook-off bombs

    图  两型弹响应后的状态

    Figure  6.  Post-response condition of two types of cook-off bombs

    图  烤燃模拟试件模型

    Figure  7.  Simulation models of Cook-off bombs

    图  计算域模型

    Figure  8.  Computational domain model

    图  池火模拟场景

    Figure  9.  Pool fire simulation scenario

    图  10  池火截面温度云图

    Figure  10.  Temperature of the cross-section of pool fire

    图  11  Ⅰ型烤燃弹火焰中测点温度随时间变化曲线

    Figure  11.  Temperature-time curves of gauging points in flame of type Ⅰ cook-off bomb

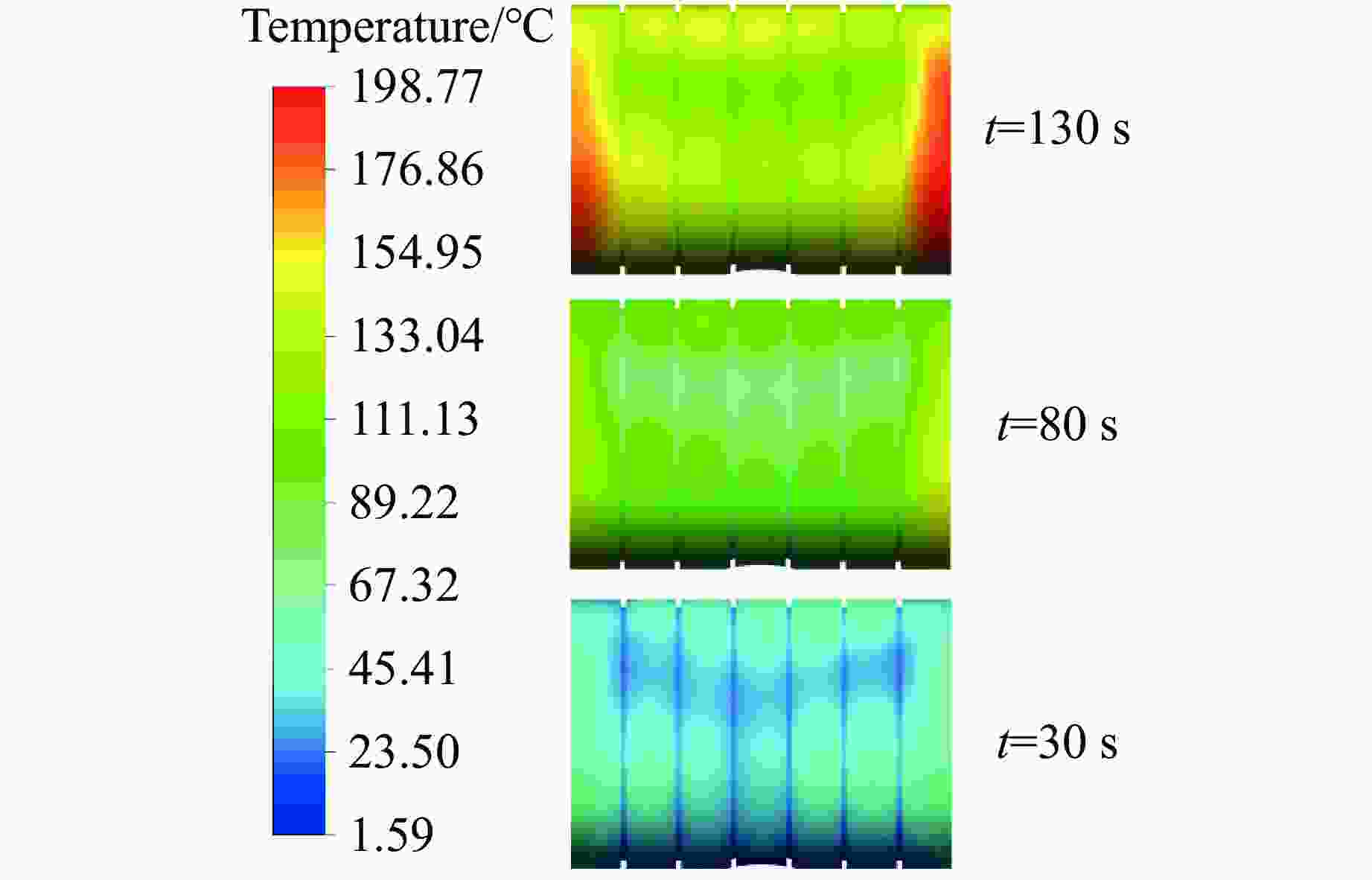
    图  12  不同时刻药柱表面温度云图(Ⅰ型烤燃弹)

    Figure  12.  Temperature contour map of the charge surface at different times (Type Ⅰ cook-off bomb)

    图  13  点火时刻药柱表面温度云图(Ⅰ型烤燃弹)

    Figure  13.  Temperature contour map of the propellant surface at the moment of ignition (Type Ⅰ cook-off bomb)

    图  14  Ⅱ型烤燃弹火焰中测点温度随时间变化曲线

    Figure  14.  Temperature-time curves of gauging points in flame of type Ⅱ cook-off bomb

    图  15  点火时刻药柱表面温度云图(Ⅱ型烤燃弹)

    Figure  15.  Temperature contour map of the propellant surface at the moment of ignition (Type Ⅱ cook-off bomb)

    图  16  点火前缺陷和药柱截面温度云图

    Figure  16.  Temperature contour map at the defect and propellant cross-section before ignition

    图  17  区域A缺陷位置示意图

    Figure  17.  Defect location diagram in area A

    图  18  区域B缺陷位置示意图

    Figure  18.  Defect location diagram in area B

    图  19  响应前不同位置缺陷及药柱截面温度云图

    Figure  19.  Temperature contour maps of defects at different positions and charge cross-sections before ignition

    图  20  缺陷与药柱的最高温度随时间变化曲线

    Figure  20.  Time-dependent curves of the maximum temperature of defects and explosive charges

    表  1  冲击波超压峰值

    Table  1.   Peak overpressure of shock wave

    Cook-off
    bomb
    Monitor point
    location
    Distance/m Overpressure
    peak/kPa
    Cook-off
    bomb
    Monitor point
    location
    Distance/m Overpressure
    peak/kPa
    TypeⅠ Axial 5 5.9 TypeⅡ Axial 5 47.5
    8 5.4 8 15.9
    10 4.8 10 11.8
    Radial 5 12.5 Radial 5 62.7
    8 9.4 8 32.4
    10 8.9 10 3.2
    下载: 导出CSV

    表  2  材料的物性参数

    Table  2.   Physical parameters of the material

    Material ρ/(kg·m−3) C/(J·kg−1·K−1) λ/(W·m−1·K−1)
    Steel 7 850 480 43
    Charge 1 809 1 012 0.49
    Air 1.225 1 004 0.024 2
    下载: 导出CSV

    表  3  反应动力学参数

    Table  3.   Reaction kinetic parameters of explosives

    E/(J·mol−1)A/s−1Q/(J·kg−1)R/(J·mol−1·K−1)
    1158202.030×10142.293×1068.314
    下载: 导出CSV
  • [1] 江鹏. 烤燃作用下PBX炸药的热分解及细观热损伤研究 [D]. 北京: 北京理工大学, 2016.

    JIANG P. Thermal decomposition and microstructure study of PBX explosive subjected to cook-off [D]. Beijing: Beijing Institute of Technology, 2016.
    [2] 黄开书, 江涛, 吴欣欣, 等. 提高浇注PBX炸药装药品质技术途径 [J]. 兵工自动化, 2023, 42(10): 60–62. doi: 10.7690/bgzdh.2023.10.014

    HUANG K S, JIANG T, WU X X, et al. Technical approach to improve charging quality of cast PBX explosive [J]. Ordnance Industry Automation, 2023, 42(10): 60–62. doi: 10.7690/bgzdh.2023.10.014
    [3] CUENOT B, SHUM-KIVAN F, BLANCHARD S. The thickened flame approach for non-premixed combustion: principles and implications for turbulent combustion modeling [J]. Combustion and Flame, 2022, 239: 111702. doi: 10.1016/j.combustflame.2021.111702
    [4] WEI R C, WANG B W, HE Q Z, et al. An experimental study on aviation kerosene pool fire flame and thermal radiation [J]. Journal of Physics: Conference Series, 2022, 2263(1): 012018. doi: 10.1088/1742-6596/2263/1/012018
    [5] 王帅, 智小琦, 贾秋琳, 等. 基于mass_flux法的炸药火烧试验与数值仿真 [J]. 兵器装备工程学报, 2020, 41(8): 1–6. doi: 10.11809/bqzbgcxb2020.08.001

    WANG S, ZHI X Q, JIA Q L, et al. Experiment and numerical simulation of explosive firing based on mass_flux method [J]. Journal of Ordnance Equipment Engineering, 2020, 41(8): 1–6. doi: 10.11809/bqzbgcxb2020.08.001
    [6] 肖游, 智小琦, 王琦, 等. 火焰特征量对快速烤燃的影响 [J]. 高压物理学报, 2022, 36(5): 055201. doi: 10.11858/gywlxb.20220557

    XIAO Y, ZHI X Q, WANG Q, et al. Influence of flame characteristics on fast cook-off [J]. Chinese Journal of High Pressure Physics, 2022, 36(5): 055201. doi: 10.11858/gywlxb.20220557
    [7] 王洪波, 王旗华, 卢永刚, 等. PBX炸药细观孔洞缺陷对其冲击点火特性的影响 [J]. 火炸药学报, 2015, 38(5): 31–36. doi: 10.14077/j.issn.1007-7812.2015.05.006

    WANG H B, WANG Q H, LU Y G, et al. Effect of Meso-defect holes on the shock-to-ignition characteristics of PBX explosives [J]. Chinese Journal of Explosives & Propellants, 2015, 38(5): 31–36. doi: 10.14077/j.issn.1007-7812.2015.05.006
    [8] 周婷婷, 楼建锋. 含孔洞炸药晶体HMX冲击响应的分子动力学模拟 [J]. 含能材料, 2024, 32(1): 65–75. doi: 10.11943/CJEM2023167

    ZHOU T T, LOU J F. Molecular dynamic studies on the shock responses of energetic crystal HMX with cylindrical voids [J]. Chinese Journal of Energetic Materials, 2024, 32(1): 65–75. doi: 10.11943/CJEM2023167
    [9] GROSS M L, HEDMAN T D, MEREDITH K V. Considerations for fast cook-off simulations [J]. Propellants, Explosives, Pyrotechnics, 2016, 41(6): 1036–1043. doi: 10.1002/prep.201500253
    [10] 王志富. 有装药缺陷的凝聚相炸药烤燃的数值模拟 [D]. 淮南: 安徽理工大学, 2020.

    WANG Z F. Numerical simulation of the burning of defective condensed phase explosives [D]. Huainan: Anhui University of Science and Technology, 2020.
    [11] PETERS N. Turbulent combustion [M]. Cambridge: Cambridge University Press, 2000.
    [12] Ansys Inc. Fluent A.: ANSYS fluent theory guide [Z]. USA, 2013, 15317: 724–746.
    [13] ATTAR A A, POURMAHDIAN M, ANVARIPOUR B. Experimental study and CFD simulation of pool fires [J]. International Journal of Computer Applications, 2013, 70(11): 9–15. doi: 10.5120/12004-5790
    [14] 任玉新, 陈海昕. 计算流体力学基础 [M]. 北京: 清华大学出版社, 2006.

    REN Y X, CHEN H X. Fundamentals of computational fluid dynamics [M]. Beijing: Tsinghua University Press, 2006.
    [15] 付淑青. 国产航空煤油多组分替代燃料的燃烧反应机理研究 [D]. 沈阳: 沈阳航空航天大学, 2020.

    FU S Q. Study on combustion reaction mechanism of domestic aviation kerosene multi-component surrogate fuels [D]. Shenyang: Shenyang Aerospace University, 2020.
    [16] 黄生洪, 徐胜利, 刘小勇. 煤油超燃冲压发动机两相流场数值研究(Ⅲ)煤油在超燃流场中的多步化学反应特征 [J]. 推进技术, 2005, 26(2): 101–105. doi: 10.3321/j.issn:1001-4055.2005.02.002

    HUANG S H, XU S L, LIU X Y. Combustion flow of kerosene-fueled scramjet with 3D cavity (Ⅲ) multi-step chemistry characteristics of kerosene [J]. Journal of Propulsion Technology, 2005, 26(2): 101–105. doi: 10.3321/j.issn:1001-4055.2005.02.002
    [17] KUNDU K, PENKO P, YANG S. Reduced reaction mechanisms for numerical calculations in combustion of hydrocarbon fuels [C]//36th AIAA Aerospace Sciences Meeting and Exhibit. Reno: AIAA, 1998.
    [18] 曾娇. 开放空间航空煤油池火燃烧数值模拟 [D]. 哈尔滨: 哈尔滨工程大学, 2016.

    ZENG J. Numerical simulation of aviation fuel pool fire in open air [D]. Harbin: Harbin Engineering University, 2016.
    [19] 傅献彩. 普通高等教育十五国家级规划教材: 物理化学(上) [M]. 北京: 高等教育出版社, 2005: 99–103.
  • 加载中
图(20) / 表(3)
计量
  • 文章访问数:  660
  • HTML全文浏览量:  269
  • PDF下载量:  36
出版历程
  • 收稿日期:  2024-09-24
  • 修回日期:  2024-10-22
  • 网络出版日期:  2025-04-01
  • 刊出日期:  2025-04-01

目录

    /

    返回文章
    返回