Ignition Characteristic of Bridgewire Electric Ignition Element in Limited Space
-
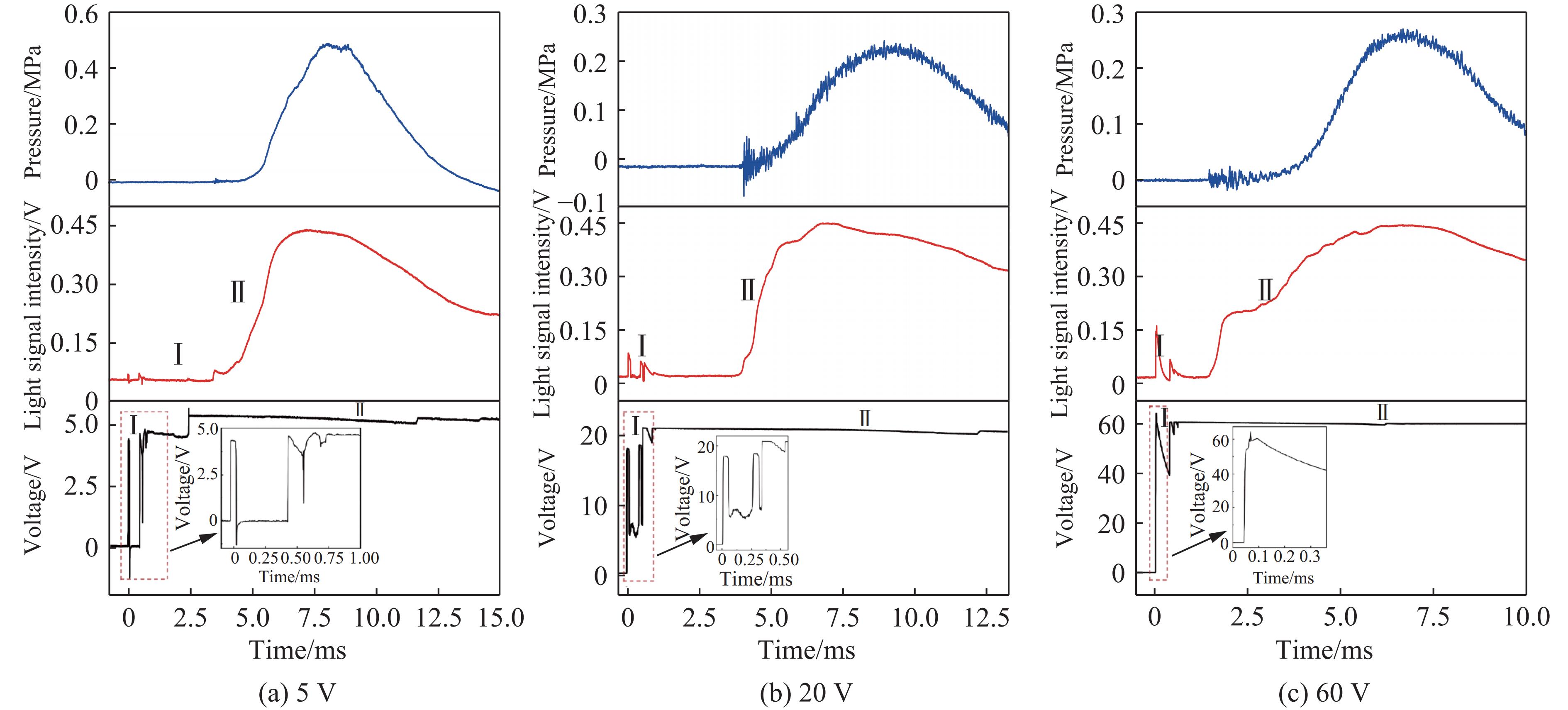
摘要: 桥丝式电点火头作为常用的点火元件,在有限空间内的发火特性是其传爆精确性和可靠性的体现。通过制备测试样品模拟桥丝式电点火头发火的有限空间,设计桥丝式电点火元件发火参数测试系统,测试了电点火元件发火过程的时间结构、有限空间内气体压力以及发火光强等参数;采用高速相机拍摄电点火元件发火的动态过程,建立了电点火元件有限空间内发火动态过程的物理模型。研究表明:随着点火电压的增大,桥丝的相变时间缩短,等离子体阶段的持续时间增加,随后趋于稳定,电点火头的发火时间在5.6 ms左右波动,发火压力时间及发火光强时间在3.0~5.0 ms范围内有界波动。点火电压达到20 V后,发火特性参数趋于稳定,能够可靠输出均匀的点火能量,用于点燃下一序列装药。在气室有限空间内,电点火元件发火动态过程可分为桥丝升温加热药剂、药剂发火、热流扩散和冲击波反射4个阶段。Abstract: As a common ignition element, the ignition characteristic in limited space of a bridgewire electric ignition element (EIE) is the internal embodiment of its precision and reliability as an explosion-transfer sequence. The limited space environment of bridgewire electric fusehead ignition is simulated by preparing test samples and the test system of the ignition parameter is designed to test the time structure of the ignition process, the gas pressure, ignition light intensity and other parameters in limited space; using the high-speed camera to test the dynamic ignition process of the EIE, a physical model of ignition in the limited space of EIE is established. The research shows that with the increase of the ignition voltage, the phase transition time of the bridgewire is shortened, the duration of the plasma stage increases, and then tends to stabilize. The ignition time of the electric fusehead fluctuates at about 5.6 ms, and the ignition pressure time and the ignition light intensity time are maintained in the 3.0–5.0 ms range. After the ignition voltage reaches 20 V, the ignition characteristic parameters tend to be stable, and it can reliably output uniform ignition energy for igniting the next sequence of charging. In the limited space of the air chamber, the dynamic process of EIE can be divided into four stages: bridgewire heating up and heating fusehead agent, fusehead agent ignition, heat flow diffusion and shock wave reflection.
-
Key words:
- limited space /
- electric ignition element /
- ignition pressure /
- ignition voltage
-
表 1 电点火头的发火参数
Table 1. Ignition parameters of the electric fusehead
U/V ti/ms tp/ms tg/ms pm/MPa Vg/mV 5 9.174 4.526 3.814 0.483 4 437.42 10 7.069 2.456 2.565 0.395 9 517.20 15 8.173 3.360 1.770 0.343 4 518.11 20 6.863 3.134 1.708 0.231 4 452.72 25 7.410 4.350 3.180 0.267 2 448.40 30 6.486 3.820 2.220 0.255 2 465.64 35 6.803 2.626 2.335 0.265 5 426.15 40 5.930 3.820 2.278 0.243 4 436.16 45 5.540 3.554 2.970 0.236 8 415.59 50 5.239 3.537 2.800 0.237 2 437.26 55 5.682 4.446 3.721 0.226 9 424.99 60 5.530 4.860 4.454 0.256 2 439.03 70 5.781 4.801 3.954 0.243 0 430.81 80 5.700 4.207 3.334 0.253 2 434.82 90 5.626 4.745 3.911 0.250 8 430.33 -
[1] 成一, 陈守文. 电点火头发火过程的时间结构的研究 [J]. 爆破器材, 2001, 30(5): 22–24.CHENG Y, CHEN S W. Study on the time structure of electric ignition process in fuse head [J]. Explosive Materials, 2001, 30(5): 22–24. [2] 王鹏, 杜志明. 桥丝式电火工品热点火理论 [J]. 火工品, 2007(4): 26–30.WANG P, DU Z M. Thermal ignition theory of electric hot wire initiating devices [J]. Initiators & Pyrotechnics, 2007(4): 26–30. [3] 高文乐, 周奥博, 朱常胜, 等. 电流对灼热桥丝式电雷管点火头发火时间的影响 [J]. 爆破器材, 2017, 46(1): 34–37.GAO W L, ZHOU A B, ZHU C S, et al. Effect of current intensity on the ignition time of hot bridge-wire electric fusehead [J]. Explosive Materials, 2017, 46(1): 34–37. [4] 孙金梦, 卫延安, 武寿昌. 灼热桥丝式电点火药头的发火时间变化规律研究 [J]. 爆破器材, 2022, 51(6): 27–31.SUN J M, WEI Y A, WU S C, et al. Ignition time variation of hot bridge-wire electric fusehead [J]. Explosive Materials, 2022, 51(6): 27–31. [5] LEE A E, DRAKE C R, RICHARDSON J. A view on the functioning mechanism of EBW detonators―part 1: electrical characterisation [J]. Journal of Physics: Conference Series, 2014, 500(19): 192008. doi: 10.1088/1742-6596/500/19/192008 [6] LEE A E, DRAKE C R, RICHARDSON J. A view on the functioning mechanism of EBW detonators―part 2: bridgewire output [J]. Journal of Physics: Conference Series, 2014, 500(5): 052024. doi: 10.1088/1742-6596/500/5/052024 [7] LEE A E, DRAKE C R, RICHARDSON J. A view on the functioning mechanism of EBW detonators―part 3: explosive initiation characterisation [J]. Journal of Physics: Conference Series, 2014, 500(18): 182023. doi: 10.1088/1742-6596/500/18/182023 [8] SMILOWITZ L, HENSON B F, REMELIUS D, et al. Experimental observations of exploding bridgewire detonator function [J]. Journal of Applied Physics, 2020, 128(21): 215901. doi: 10.1063/5.0021288 [9] VALANCIUS C J, GARASI C J, O’MALLEY P D. Power and energy of exploding wires [J]. AIP Conference Proceedings, 2017, 1793(1): 040040. [10] 李涛, 傅华, 谭多望, 等. 金属桥丝电爆炸及飞片驱动过程的计算 [J]. 爆炸与冲击, 2010, 30(1): 70–74.LI T, FU H, TAN D W, et al. Calculation of metal bridge foil electric explosion and flying blade driving process [J]. Explosion and Shock Waves, 2010, 30(1): 70–74. [11] 王窈, 孙秀娟, 郭菲, 等. Al/Ni 爆炸箔电爆特性及驱动飞片能力研究 [J]. 火工品, 2016(3): 5–8.WANG Y, SUN X J, GUO F, et al. Study on electrical characteristic and flyer driven ability of Al/Ni exploding foil [J]. Initiators & Pyrotechnics, 2016(3): 5–8. [12] ZENG Q X, et al. Mechanism and characteristics on the electric explosion of Al/Ni reactive multilayer foils [J]. Applied Physics Letters, 2019, 115(9): 93–102. [13] 赵丽君, 易涛, 朱宏娜, 等. 桥丝电爆炸过程中的电磁脉冲效应 [J]. 含能材料, 2019, 27(6): 481–486.ZHAO L J, YI T, ZHU H N, et al. Electromagnetic pulse effect during the bridge wire electric explosion [J]. Chinese Journal of Energetic Materials, 2019, 27(6): 481–486. [14] 王伯羲, 冯增国, 杨荣杰. 火药燃烧理论 [M]. 北京: 北京理工大学出版社, 1997.WANG B X, FENG Z G, YANG R J. The theory of gunpowder combustion [M]. Beijing: Beijing Institute of Technology Press, 1997. [15] 李志鹏, 张攀军, 吕子剑, 等. 爆炸桥丝火工品的高压静电放电响应 [J]. 含能材料, 2015, 23(6): 578–582.LI Z P, ZHANG P J, LYU Z J, et al. Response to high voltage electrostatic discharge for exploding bridgewire detonators [J]. Chinese Journal of Energetic Materials, 2015, 23(6): 578–582. -

下载: