Tensile Behavior and Mechanical Performance Analysis of High-Strength Steels at Varying Strain Rates
-
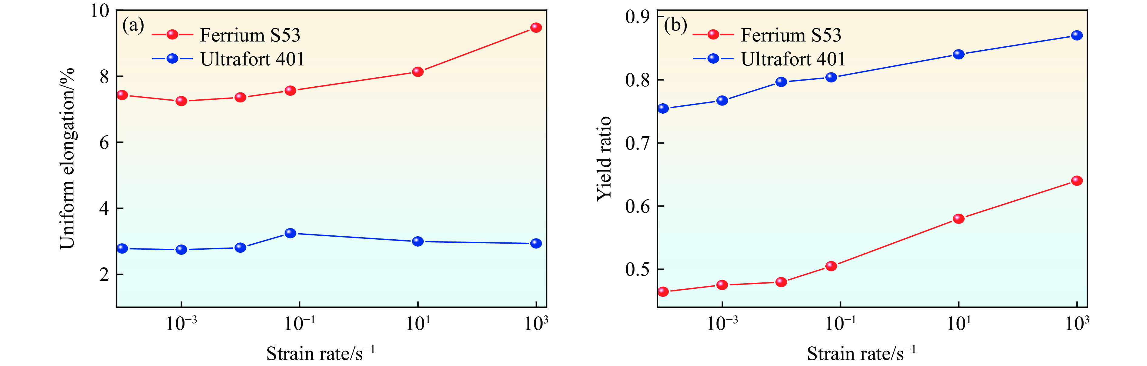
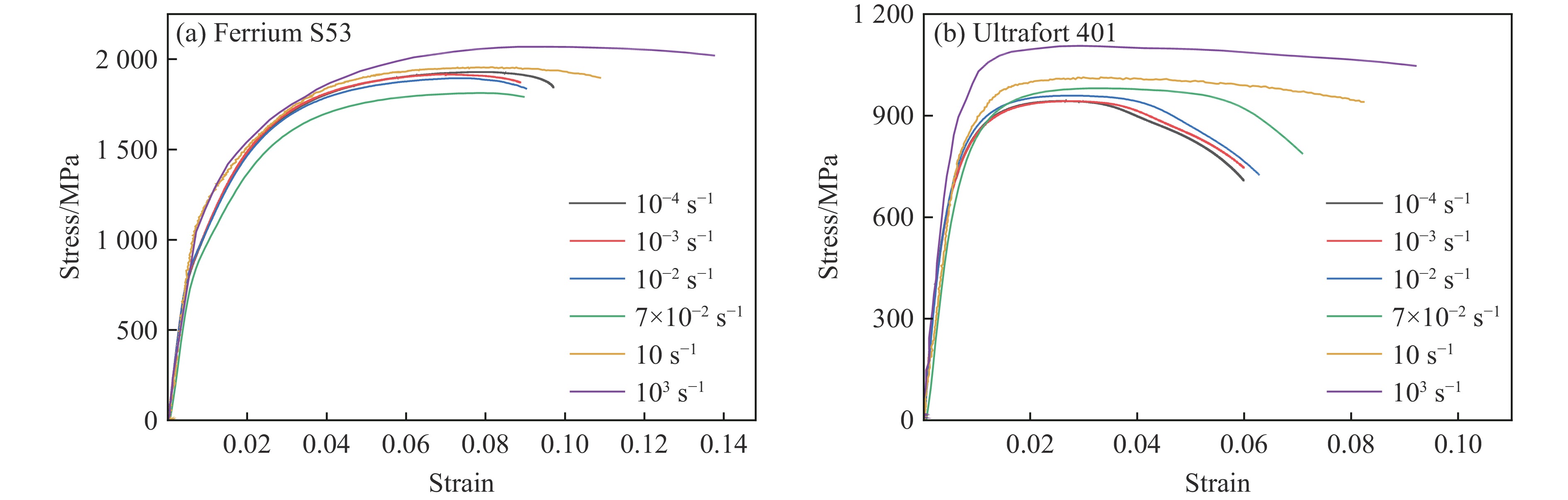
摘要: 高强钢因强度高、塑性好、耐腐蚀性优异而得到广泛应用。然而,高强钢具有显著的应变率敏感性。为此,针对2种高强钢(Ultrafort 401和Ferrium S53钢),开展了不同应变率下(10−4~103 s−1)的拉伸试验,获得了屈服强度、抗拉强度、硬化指数等性能参量,并深入分析了其随应变率变化的规律。不同应变率下,Ferrium S53钢的拉伸性能始终优于Ultrafort 401钢,但两者却表现出不同的变化趋势。随着应变率的增加,Ultrafort 401钢的屈服强度和抗拉强度均增大,而Ferrium S53钢的屈服强度增大,抗拉强度先减小后增大。结合微观结构表征发现,Ferrium S53钢所具有的较高的屈服强度与其初始晶粒尺寸更小有关,2种高强钢的抗拉强度随应变率增加所表现出的不同变化趋势则与应变硬化响应差异有关。随着应变率的升高,Ultrafort 401钢的韧窝尺寸增大,而Ferrium S53钢的韧窝尺寸先减小后增大,说明2种高强钢的应变硬化水平随着应变率升高而呈现不同的变化趋势。研究结果为高强钢在不同加载条件下的力学性能评估提供了科学依据,对高强钢的工程应用具有一定的指导意义。Abstract: High-strength steels are widely employed due to their excellent combination of high strength, good ductility, and corrosion resistance. However, they often exhibit significant strain rate sensitivity. In this study, two types of high-strength steels, Ultrafort 401 and Ferrium S53 steels, were investigated. Tensile tests were conducted at varying strain rates (10−4−103 s−1), to obtain the yield strength, the tensile strength, the uniform elongation, the hardening index and other performance parameters. The variations of these parameters with strain rate were thoroughly analyzed. It was observed that under different strain rates, Ferrium S53 steel consistently outperformed Ultrafort 401 steel in terms of tensile properties, while they exhibited different trends. As the strain rate increased, both of the yield strength and the tensile strength of Ultrafort 401 steels increased, while for Ferrium S53 steels the yield strength of increased, and the tensile strength decreased and then increased. Combined with the microstructure analysis, it is found that the higher yield strength of Ferrium S53 steel was related to the smaller grain sizes, while the different tensile strength trends of the two high-strength steels with the increase of strain rate were associated with differences in strain hardening response. With the increase of strain rate, the dimple size of Ultrafort 401 steels increases, whereas it decreases and then increases for Ferrium S53 steels. This indicates a different pattern of change in the strain hardening level of the two high-strength steels with increasing strain rate. The findings in this work provide a scientific basis for assessing the mechanical performance of high-strength steels under various loading conditions and hold significant implications for their engineering applications.
-
Key words:
- high-strength steel /
- tensile properties /
- strain rate /
- fracture morphology /
- yield strength /
- tensile strength
-
表 1 Ferrium S53和Ultrafort 401钢的元素组成
Table 1. Elemental composition of Ferrium S53 and Ultrafort 401 steels
Material Mass fraction/% C Cr Ni Ti Mo Co Fe Ferrium S53 steel 0.21 9.00 4.80 0.02 1.50 13.00 71.47 Ultrafort 401 steel 0.02 12.00 8.20 0.80 2.00 5.30 71.68 表 2 Ferrium S53和Ultrafort 401钢在不同应变率下的力学性能参量
Table 2. Mechanical parameters of Ferrium S53 and Ultrafort 401 steels at different strain rates
Material $ \dot{\varepsilon } $/s−1 Tensile strength/MPa Yield strength/MPa Uniform elongation/% Yield ratio Hardening index Ferrium
S53 steel10−4 1920.58 900.75 7.43 0.47 0.38 10−3 1907.41 908.91 7.25 0.48 0.33 10−2 1895.57 910.44 7.36 0.48 0.30 7×10−2 1821.34 918.18 7.64 0.50 0.25 10 1956.13 1145.16 8.13 0.59 0.41 103 2069.75 1333.62 9.47 0.64 0.46 Ultrafort
401 steel10−4 944.68 711.59 2.78 0.75 0.13 10−3 945.57 724.65 2.74 0.77 0.14 10−2 953.93 759.52 2.81 0.80 0.15 7×10−2 967.97 777.67 3.24 0.80 0.17 10 1013.09 853.76 2.99 0.84 0.25 103 1106.12 958.74 2.93 0.87 0.35 -
[1] JIAO Z B, LUAN J H, MILLER M K, et al. Precipitate transformation from NiAl-type to Ni2AlMn-type and its influence on the mechanical properties of high-strength steels [J]. Acta Materialia, 2016, 110: 31–43. doi: 10.1016/j.actamat.2016.03.024 [2] YAN S, LIANG T S, CHEN J Q, et al. A novel Cu-Ni added medium Mn steel: precipitation of Cu-rich particles and austenite reversed transformation occurring simultaneously during ART annealing [J]. Materials Science and Engineering: A, 2019, 746: 73–81. doi: 10.1016/j.msea.2019.01.014 [3] ZHOU B C, YANG T, ZHOU G, et al. Mechanisms for suppressing discontinuous precipitation and improving mechanical properties of NiAl-strengthened steels through nanoscale Cu partitioning [J]. Acta Materialia, 2021, 205: 116561. doi: 10.1016/j.actamat.2020.116561 [4] LIU Z B, YANG Z, WANG X H, et al. Enhanced strength-ductility synergy in a new 2.2 GPa grade ultra-high strength stainless steel with balanced fracture toughness: elucidating the role of duplex aging treatment [J]. Journal of Alloys and Compounds, 2022, 928: 167135. doi: 10.1016/j.jallcom.2022.167135 [5] WANG X, XU Y B, WANG Y, et al. Combined effect of Cu partitioning and nano-size precipitates on improving strength-ductility balance of Cu bearing Q&P steel [J]. Materials Characterization, 2022, 194: 112441. doi: 10.1016/j.matchar.2022.112441 [6] 刘振宝, 梁剑雄, 杨哲, 等. 高强度不锈钢应用及研究进展 [J]. 中国冶金, 2022, 32(6): 42–53. doi: 10.13228/j.boyuan.issn1006-9356.20220264LIU Z B, LIANG J X, YANG Z, et al. Progress of application and research on high strength stainless steel [J]. China Metallurgy, 2022, 32(6): 42–53. doi: 10.13228/j.boyuan.issn1006-9356.20220264 [7] 张超, 苏杰, 梁剑雄, 等. 超高强度不锈钢沉淀行为研究进展 [J]. 钢铁, 2018, 53(4): 48–61. doi: 10.13228/j.boyuan.issn0449-749x.20170452ZHANG C, SU J, LIANG J X, et al. Research development of precipitation behavior of ultra high strength stainless steels [J]. Iron & Steel, 2018, 53(4): 48–61. doi: 10.13228/j.boyuan.issn0449-749x.20170452 [8] 吴昊. 2种合金钢动态性能与圆筒爆轰加载条件下破片特征关系研究 [D]. 北京: 北京理工大学, 2015.WU H. Study on the relations between the dynamic properties of two alloy steels and the fragmentation characteristics of exploded cylinders [D]. Beijing: Beijing Institute of Technology, 2015. [9] 刘振宝, 梁剑雄, 苏杰, 等. 高强度不锈钢的研究及发展现状 [J]. 金属学报, 2020, 56(4): 549–557. doi: 10.11900/0412.1961.2019.00453LIU Z B, LIANG J X, SU J, et al. Research and application progress in ultra-high strength stainless steel [J]. Acta Metallurgica Sinica, 2020, 56(4): 549–557. doi: 10.11900/0412.1961.2019.00453 [10] SEO J Y, PARK S K, KWON H, et al. Influence of carbide modifications on the mechanical properties of ultra-high-strength stainless steels [J]. Metallurgical and Materials Transactions A, 2017, 48(10): 4477–4485. doi: 10.1007/s11661-017-4220-9 [11] PIOSZAK G L, GANGLOFF R P. Hydrogen environment assisted cracking of modern ultra-high strength martensitic steels [J]. Metallurgical and Materials Transactions A, 2017, 48(9): 4025–4045. doi: 10.1007/s11661-017-4156-0 [12] YANG Z, LIU Z B, LIANG J X, et al. Elucidating the role of secondary cryogenic treatment on mechanical properties of a martensitic ultra-high strength stainless steel [J]. Materials Characterization, 2021, 178: 111277. doi: 10.1016/j.matchar.2021.111277 [13] ZHANG Y P, ZHAN D P, QI X W, et al. Effect of solid-solution temperature on the microstructure and properties of ultra-high-strength Ferrium S53® steel [J]. Materials Science and Engineering: A, 2018, 730: 41–49. doi: 10.1016/j.msea.2018.05.099 [14] 苟曼曼, 白瑞敏, 孟利军. 应变速率对钛合金室温拉伸性能的影响 [J]. 湖南有色金属, 2020, 36(1): 52–54, 80. doi: 10.3969/j.issn.1003-5540.2020.01.016GOU M M, BAI R M, MENG L J. Effect of strain rate on tensile properties of titanium alloy at room temperature [J]. Hunan Nonferrous Metals, 2020, 36(1): 52–54, 80. doi: 10.3969/j.issn.1003-5540.2020.01.016 [15] BACIU F, RUSU-CASANDRA A, PASTRAMĂ Ş D. Low strain rate testing of tensile properties of steel [J]. Materials Today: Proceedings, 2020, 32(2): 128–132. doi: 10.1016/j.matpr.2020.03.469 [16] MANJOINE M J. Influence of rate of strain and temperature on yield stresses of mild steel [J]. Journal of Applied Mechanics, 1944, 2(1): A211–A218. doi: 10.1115/1.4009394 [17] ZHANG H, LI P D, GONG X F, et al. Tensile properties, strain rate sensitivity and failure mechanism of single crystal superalloys CMSX-4 [J]. Materials Science and Engineering: A, 2020, 782: 139105. doi: 10.1016/j.msea.2020.139105 [18] OGUNDARE O D, MOMOH I M, AKINRIBIDE O J, et al. Effect of strain rates on mild steel under tensile loading [J]. International Journal of Science and Technology, 2013, 2(8): 588–594. [19] MA X K, LI F G, CAO J, et al. Strain rate effects on tensile deformation behaviors of Ti-10V-2Fe-3Al alloy undergoing stress-induced martensitic transformation [J]. Materials Science and Engineering: A, 2018, 710: 1–9. doi: 10.1016/j.msea.2017.10.057 [20] YANG H K, ZHANG Z J, TIAN Y Z, et al. Negative to positive transition of strain rate sensitivity in Fe-22Mn-0.6C-x(Al) twinning-induced plasticity steels [J]. Materials Science and Engineering: A, 2017, 690: 146–157. doi: 10.1016/j.msea.2017.02.014 [21] QIAN L H, GUO P C, MENG J Y, et al. Unusual grain-size and strain-rate effects on the serrated flow in FeMnC twin-induced plasticity steels [J]. Journal of Materials Science, 2013, 48(4): 1669–1674. doi: 10.1007/s10853-012-6925-x [22] MOHAPATRA S, KUMAR S, DAS S, et al. Effect of strain rate on the microstructure evolution and tensile behavior of medium manganese steel [J]. Materials Letters, 2023, 330: 133243. doi: 10.1016/j.matlet.2022.133243 [23] SHEN T, FAN C H, HU Z Y, et al. Effect of strain rate on microstructure and mechanical properties of spray-formed Al-Cu-Mg alloy [J]. Transactions of Nonferrous Metals Society of China, 2022, 32(4): 1096–1104. doi: 10.1016/S1003-6326(22)65879-5 [24] ZHONG X T, HUANG L K, LIU F. Discontinuous dynamic recrystallization mechanism and twinning evolution during hot deformation of incoloy 825 [J]. Journal of Materials Engineering and Performance, 2020, 29(9): 6155–6169. doi: 10.1007/s11665-020-05093-1 [25] ZHANG W W, YANG Y, TAN Y B, et al. Microstructure evolution and strengthening mechanisms of MP159 superalloy during room temperature rolling and cryorolling [J]. Journal of Alloys and Compounds, 2022, 908: 164667. doi: 10.1016/j.jallcom.2022.164667 [26] CAI Y Q, TAN Y B, WANG L X, et al. Multiple strengthening mechanisms induced by nanotwins and stacking faults in CoNiCr-superalloy MP159 [J]. Materials Science and Engineering: A, 2022, 853: 143793. doi: 10.1016/j.msea.2022.143793 [27] 李春光, 张伟, 刘立现, 等. 不同应变速率双相高强钢动态力学行为微观机理分析 [J]. 锻压技术, 2018, 43(6): 166–171. doi: 10.13330/j.issn.1000-3940.2018.06.032LI C G, ZHANG W, LIU L X, et al. Analysis on micro-mechanism of dynamic mechanical behavior for high-strength steel with dual-phase under different strain rates [J]. Forging & Stamping Technology, 2018, 43(6): 166–171. doi: 10.13330/j.issn.1000-3940.2018.06.032 [28] WIESNER C S, MACGILLIVRAY H. Loading rate effects on tensile properties and fracture toughness of steel [M]//HIRSCH P B. Fracture, Plastic Flow and Structural Integrity in the Nuclear Industry. London: CRC Press, 2000. [29] ZHANG J Y, JIANG P, ZHU Z L, et al. Tensile properties and strain hardening mechanism of Cr-Mn-Si-Ni alloyed ultra-strength steel at different temperatures and strain rates [J]. Journal of Alloys and Compounds, 2020, 842: 155856. doi: 10.1016/j.jallcom.2020.155856 [30] JIANG Z H, LIAN J S, BAUDELET B. A dislocation density approximation for the flow stress-grain size relation of polycrystals [J]. Acta Metallurgica et Materialia, 1995, 43(9): 3349–3360. doi: 10.1016/0956-7151(95)00031-P [31] 孙伶俐. 拉伸应变速率对316不锈钢微观组织演变及力学性能的影响 [D]. 郑州: 郑州大学, 2018.SUN L L. Microstructure evolution and mechanical properties of 316 stainless steel: strain rate effect [D]. Zhengzhou: Zhengzhou University, 2018. [32] 汪志福, 孔韦海. 应变速率对304奥氏体不锈钢应变硬化行为的影响 [J]. 压力容器, 2013, 30(7): 6–11. doi: 10.3969/j.issn.1001-4837.2013.07.002WANG Z F, KONG W H. Effect of strain rate on 304 austenitic stainless steel strain hardening behavior [J]. Pressure Vessel Technology, 2013, 30(7): 6–11. doi: 10.3969/j.issn.1001-4837.2013.07.002 [33] 刘海娜, 梅运东, 刘领兵. 应变速率对低合金高强钢性能的影响 [J]. 锻压技术, 2023, 48(6): 253–257. doi: 10.13330/j.issn.1000-3940.2023.06.034LIU H N, MEI Y D, LIU L B. Influence of strain rate on properties for low alloy high strength steel [J]. Forging & Stamping Technology, 2023, 48(6): 253–257. doi: 10.13330/j.issn.1000-3940.2023.06.034 [34] 胡泳. 正态分布 [J]. 商务周刊, 2009(24): 94.HU Y. Normal distribution [J]. Business Watch Magazine, 2009(24): 94. [35] CHEN M S, ZOU Z H, LIN Y C, et al. Microstructural evolution and grain refinement mechanisms of a Ni-based superalloy during a two-stage annealing treatment [J]. Materials Characterization, 2019, 151: 445–456. doi: 10.1016/j.matchar.2019.03.037 [36] VAN SWYGENHOVEN H. Grain boundaries and dislocations [J]. Science, 2002, 296(5565): 66–67. doi: 10.1126/science.1071040 [37] LIU Q, XIONG Z W, YANG J, et al. Deformation induced phase transition in brass under shock compression [J]. Materials Today Communications, 2023, 35: 106224. doi: 10.1016/j.mtcomm.2023.106224 [38] VALIEV R. Nanostructuring of metals by severe plastic deformation for advanced properties [J]. Nature Materials, 2004, 3(8): 511–516. doi: 10.1038/nmat1180 [39] LIU Q, FANG L M, XIONG Z W, et al. The response of dislocations, low angle grain boundaries and high angle grain boundaries at high strain rates [J]. Materials Science and Engineering: A, 2021, 822: 141704. doi: 10.1016/j.msea.2021.141704 [40] VAUGHAN M W, SAMIMI P, GIBBONS S L, et al. Exploring performance limits of a new martensitic high strength steel by ausforming via equal channel angular pressing [J]. Scripta Materialia, 2020, 184: 63–69. doi: 10.1016/j.scriptamat.2020.03.011 [41] FENG X C, LIU X Y, BAI S X, et al. Mechanical properties and deformation behaviour of TWIP steel at different strain rates [J]. Materials Science and Engineering: A, 2023, 879: 145182. doi: 10.1016/j.msea.2023.145182 -

下载: