Finite Element Simulation for Magnet Velocity Induction System
-
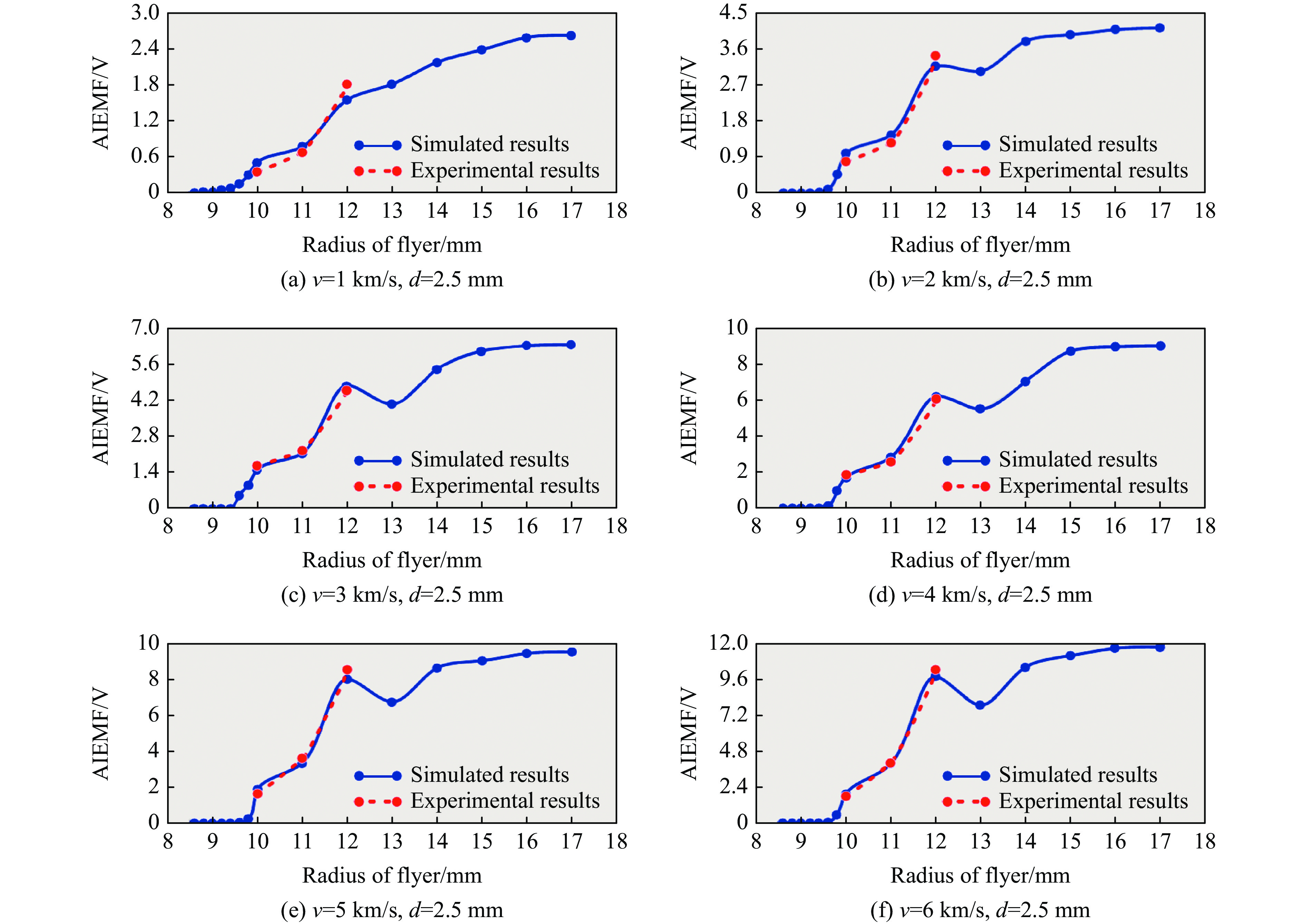
摘要: 在冲击加载实验中,飞片速度是确定样品动态压缩性的重要参量。电磁感应测速系统是针对超高速运动状态的速度测量系统。基于有限元方法和ANSYS Electromagnetics Suite三维建模,模拟了飞片的测速过程,并验证了模拟结果的可靠性。结合实验结果,证实相同条件下模拟信号的感应电动势误差为1.1%,低于系统误差(2.0%)。模拟信号的测速误差小于0.4%,低于系统测速误差(0.9%)。分析了Al、Cu、Ta、W、93W飞片在不同飞片厚度、半径、倾斜角度、运动速度以及线圈孔径条件下检测线圈中感应电动势的变化规律。模拟结果为在冲击实验中更好地测量飞片速度提供了参考。Abstract: In shockwave experiments, the launch velocity of flyer is a crucial parameter for determining the physical quantities in sample under dynamic compression. Magnet velocity induction system is used to determine the velocity of flyer which can work under hypervelocity conditions. Based on finite element method, ANSYS Electromagnetics Suite module was used to establish a three-dimensional model and the launch process of flyer was simulated. The simulated results well reproduce the experimental signals. Comparing to the experimental results, the relative error of simulated amplitude of induced electromotive force (AIEMF) is 1.1%, lower than the system error of 2.0%. The relative error for flyer velocity determined by simulation is less than 0.4%, also lower than the measurement system error of 0.9%. The dependence of AIEMF with the thickness, radius, tilt angle, launch velocity of flyer and the diameter of pick-up coils is analyzed. The simulation result provides a reference for better signal acquisition in shockwave experiments.
-
表 1 AIEMF的实验和模拟结果
Table 1. Simulated and experimental results of AIEMF
Method A1/mV A2/mV A3/mV Simulation 3296.7 3234.1 3096.2 Experiment 3251.4 3208.7 3051.6 -
[1] 孟川舒. 高速磁浮列车测速定位问题综述 [J/OL]. 铁道标准设计(2022-11-28)[2023-07-12]. https://kns.cnki.net/kcms2/article/abstract?v=TzO8JwpG6ugvCh-VGkUDKgKSZPKAKEbopyhecrl89N6uki3CMZ5uouIaNOSIOf8Ya06yC3QPR-3M4jto4JTCewpY3QWpdpyAmYonBoBHY8EntNgbINmCcBTOTp6ELQ3HT9SUsH1gOOQ=&uniplatform=NZKPT&language=CHS. DOI: 10.13238/j.issn.1004-2954.202208010006.MENG C S. Review on problems of speed measurement and positioning of high speed maglev train [J/OL]. Railway Standard Design (2022-11-28)[2023-07-12]. https://kns.cnki.net/kcms2/article/abstract?v=TzO8JwpG6ugvCh-VGkUDKgKSZPKAKEbopyhecrl89N6uki3CMZ5uouIaNOSIOf8Ya06yC3QPR-3M4jto4JTCewpY3QWpdpyAmYonBoBHY8EntNgbINmCcBTOTp6ELQ3HT9SUsH1gOOQ=&uniplatform=NZKPT&language=CHS. DOI: 10.13238/j.issn.1004-2954.202208010006. [2] 柴博森, 闫东, 王广义, 等. 制动工况桃腔偶合器三维涡特征分析及仿真评价 [J]. 吉林大学学报(工学版), 2023: 1−10.CHAI B S, YAN D, WANG G Y, et al. Three-dimensional vortex characteristic analysis and simulation evaluation of peach cavity hydrodynamic coupling under braking condition [J]. Journal of Jilin University (Engineering and Technology Edition), 2023: 1−10. [3] 马付远, 张明宇, 徐伟利. 基于多普勒雷达和北斗系统的农业机械测速方法研究 [J]. 农机化研究, 2023, 45(9): 150–154.MA F Y, ZHANG M Y, XU W L. Research on speed measurement methods of agricultural machinery based on Doppler radar and BDS [J]. Journal of Agricultural Mechanization Research, 2023, 45(9): 150–154. [4] 杨雪亚, 沈显照, 王贤翔. 低空反无雷达的高精度测速方法及波形设计 [J]. 火控雷达技术, 2022, 51(3): 36–39.YANG X Y, SHEN X Z, WANG X X. High-precision speed measurement and waveform design of low-altitude anti-UAV radar [J]. Fire Control Radar Technology, 2022, 51(3): 36–39. [5] 韩超, 李欣伟, 王凯鑫, 等. 激光测速雷达的性能对比分析 [J]. 测控技术, 2022, 41(9): 90–95.HAN C, LI X W, WANG K X, et al. Performance comparison and analysis of laser velocimetry radar [J]. Measurement and Control Technology, 2022, 41(9): 90–95. [6] 刘琳, 王彩霞, 田杨萌, 等. 多普勒效应对雷电源辐射定位的影响关系研究 [J]. 电波科学学报, 2022, 37(6): 1049–1056.LIU L, WANG C X, TIAN Y M, et al. Study on the influence of Doppler effect on the radiation localization of lightning sources [J]. Chinese Journal of Radio Science, 2022, 37(6): 1049–1056. [7] 谢孟龙. 机动车雷达测速仪检定方法探究及不确定度评定 [J]. 计量与测试技术, 2023, 50(1): 108–111.XIE M L. Research on verification method and uncertainty evaluation of vehicle radar velocimeter [J]. Metrology & Measurement Technique, 2023, 50(1): 108–111. [8] 陈略, 李文潇, 李海涛, 等. 嫦娥五号探测器精细开环测速及空间引力红移验证设计分析 [J]. 中国科学: 物理学 力学 天文学, 2023, 53(3): 122–132.CHEN L, LI W X, LI H T, et al. High-accuracy open-loop velocity measurement and gravitational redshift verification design analysis based on the Chang’E-5 probe [J]. Scientia Sinica Physica: Mechanica & Astronomica, 2023, 53(3): 122–132. [9] 王泽杰, 王潜心, 商天文. 基于北斗三号卫星非差多普勒观测信号的优化测速模型 [J]. 电信科学, 2021, 37(12): 42–50.WANG Z J, WANG Q X, SHANG T W. Optimal velocity estimation model based on non-differential Doppler observations from BDS-3 satellites [J]. Telecommunications Science, 2021, 37(12): 42–50. [10] 刘天琦, 张浩, 焦名. 结合测速测距的卫星定位法研究 [J]. 铁路通信信号工程技术, 2022, 19(3): 17–20, 43.LIU T Q, ZHANG H, JIAO M. Satellite positioning method in combination with speed and distance measurement [J]. Railway Signalling & Communication Engineering, 2022, 19(3): 17–20, 43. [11] 张伟. 天文光谱测速导航技术与应用思考 [J]. 导航与控制, 2020, 19(Suppl 1): 64–73.ZHANG W. A study of the navigation technology and application based on astronomical spectral velocity measurement [J]. Navigation and Control, 2020, 19(Suppl 1): 64–73. [12] 刘健. 皮托管流量计在海洋平台天然气计量中的应用 [J]. 石油化工自动化, 2022, 58(2): 84–87.LIU J. Application of pitot tube flowmeter in natural gas metering on offshore platform [J]. Automation in Petro-Chemical Industry, 2022, 58(2): 84–87. [13] 经福谦, 陈俊祥. 动高压原理与技术 [M]. 北京: 国防教育出版社, 2006: 34.JING F Q, CHEN J X. Dynamic high-pressure generation principle and related technologies [M]. Beijing: National Defense Education Press, 2006: 34. [14] MITCHELL A C, NELLIS W J . Diagnostic system of the Lawrence Livermore National Laboratory two-stage light-gas gun [J]. Review of Scientific Instruments, 1981, 52(3): 347–359. doi: 10.1063/1.1136602 [15] KAWAI N, TSURUI K, HASEGAWA S, et al. Single microparticle launching method using two-stage light-gas gun for simulating hypervelocity impacts of micrometeoroids and space debris [J]. Review of Scientific Instruments, 2010, 81(11): 115105. doi: 10.1063/1.3498896 [16] 廖文强, 孙燕云, 吴浪, 等. 基于电探针及光探针的冲击加载时刻测量技术 [J]. 电子制作, 2022, 30(20): 90–92, 96.LIAO W Q, SUN Y Y, WU L. Impact loading time measurement technology based on electric probe and optical probe [J]. Practical Electronics, 2022, 30(20): 90–92, 96. [17] 陈源福. 冲击加载下苯的透光特性 [J]. 吉林化工学院学报, 2022, 39(7): 91–93.CHEN Y F. Light transmission characteristics of benzene under shock compression [J]. Journal of Jilin Institute of Chemical Technology, 2022, 39(7): 91–93. [18] 孙雨荟, 赵传, 王韫泽, 等. 冲击加载下50SiMnVB钢微观断裂机理试验研究 [J]. 兵器装备工程学报, 2022, 43(11): 1–8.SUN Y H, ZHAO C, WANG Y Z, et al. Mechanism of microscopic fracture of 50SiMnVB steel under impact loading [J]. Journal of Ordnance Equipment Engineering, 2022, 43(11): 1–8. [19] ROCHON P, GAUTHIER N. Induction transducer for recording the velocity of a glider on an air track [J]. American Journal of Physics, 1982, 50(1): 84–85. doi: 10.1119/1.12992 [20] CARPENA P. Velocity measurements through magnetic induction [J]. American Journal of Physics, 1997, 65(2): 135–140. doi: 10.1119/1.18526 [21] FERENCE J R M, LEMON H B, STEPHENSON R J. Analytical experimental physics [M]. Chicago, USA: University of Chicago Press, 1956. [22] 向永江. 全光纤激光多普勒测速技术的研究 [J]. 光学学报, 1998, 12(11): 1053–1056.XIANG Y J. Investigation of all fiber laser Doppler velocimetry [J]. Acta Optica Sinica, 1998, 12(11): 1053–1056. [23] 谭朝勇, 叶欣, 胡永明. 全光纤多普勒测速系统的研究 [J]. 光电技术应用, 2011, 32(2): 276–279.TAN C Y, YE X, HU Y M. Study on all fiber-optic laser Doppler velocimeter [J]. Semiconductor Optoelectronics, 2011, 32(2): 276–279. [24] 胡昌明, 王翔, 刘仓理, 等. 阵列DPS测量技术在材料动态力学性能研究中的应用 [J]. 爆炸与冲击, 2010, 30(1): 105–108.HU C M, WANG X, LIU C L. Applications of DPS arrays testing technique to dynamic properties study of materials [J]. Journal of Experimental Mechanics, 2010, 30(1): 105–108. [25] 高春峰, 魏国, 王琦, 等. 一维激光多普勒测速仪/单轴旋转惯导组合车载高程测量方法 [J]. 红外与激光工程, 2022, 51(12): 9–17.GAO C F, WEI G, WANG Q, et al. Height measurement method based on one-dimensional laser Doppler velocimeter and integrated navigation system of single-axis rotation inertial navigation system [J]. Infrared and Laser Engineering, 2022, 51(12): 9–17. [26] 万镇宇. 基于结构光场的多普勒测速研究 [D]. 武汉: 华中科技大学, 2023.WAN Z Y. Research on Doppler velocimetry based on structured light field [D]. Wuhan: Huazhong University of Science and Technology, 2023. [27] 王金贵. 气体炮原理与技术 [M]. 北京: 国防教育出版社, 1999: 38.WANG J G. Principle and technology of gas gun [M]. Beijing: National Defense Education Press, 1999: 38. [28] FOUCAULT M L. Physical demonstration of the rotation of the Earth by means of the pen dulum [J]. Journal of the Franklin Institute, 1851, 51(5): 350–353. [29] KONDO K I, SAWAOKA A, SAITO S. Magnetoflyer method for measuring gas-gun projectile velocities [J]. Review of Scientific Instruments, 1977, 48(12): 1581–1582. doi: 10.1063/1.1134948 [30] MOODY R L, KONRAD C H. Magnetic induction system for two-stage gun projectile velocity measurements: SAND 84-0638 [R]. Albuquerque, NM, USA: Sandia National Laboratories, 1984. [31] 施尚春, 陈攀森, 黄跃. 高速弹丸的磁感应测速方法 [J]. 高压物理学报, 1991, 5(3): 205–214.SHI S C, CHEN P S, HUANG Y. Velocity measurement of magnet induced system for projectile [J]. Chinese Journal of High Pressure Physics, 1991, 5(3): 205–214. [32] 张修路, 齐少鹏, 张智, 等. 超高速加载下电磁感应测速的多物理场有限元模拟 [J]. 科技资讯, 2017, 15(32): 1–6.ZHANG X L, QI S P, ZHANG Z, et al. Multi-physical finite element simulation of electromagnetic induction velocity measurement under ultra-high speed loading [J]. Science & Technology Information, 2017, 15(32): 1–6. [33] ROCHA T J, RAMOS H G, RIBEIRO A L, et al. Magnetic sensors assessment in velocity induced eddy current testing [J]. Sensors and Actuators A: Physical, 2015, 228: 55–61. doi: 10.1016/j.sna.2015.02.004 [34] RAO B P C. Eddy current testing: basics [J]. Journal of Non Destructive Testing & Evaluation, 2011, 10: 7–16. [35] HE Y, LUO F, PAN M, et al. Pulsed eddy current technique for defect detection in aircraft riveted structures [J]. NDT & E International, 2010, 43(2): 176–181. [36] DOGARU T, SMITH S T. Giant magnetoresistance-based eddy-current sensor [J]. IEEE Transactions on Magnetics, 2001, 37(5): 3831–3838. doi: 10.1109/20.952754 [37] RIPKA P, VOPÁLENSKÝ M, PLATIL A, et al. AMR magnetometer [J]. Journal of Magnetism and Magnetic Materials, 2003, 254/255: 639–641. [38] RIBEIRO A L, RAMOS H G. Inductive probe for flaw detection in non-magnetic metallic plates using eddy currents [C]//2008 IEEE Instrumentation and Measurement Technology Conference. Victoria, BC, Canada, 2008: 1447−1451. [39] POSTOLACHE, RAMOS H G, RIBEIRO A L. Detection and characterization of defects using GMR probes and artificial neural networks [J]. Computer Standards & Interfaces, 2011, 33(2): 191–200. [40] JIAO S, CHENG L, LI X, et al. Monitoring fatigue cracks of a metal structure using an eddy current sensor [J]. EURASIP Journal on Wireless Communications and Networking, 2016: 188. [41] 郭硕鸿. 电动力学 [M]. 北京: 高等教育出版社, 1997.GUO S H. Electrodynamics [M]. Beijing: China Higher Education Press, 1997. [42] 吴桔生. 电涡流技术与运用 [M]. 长沙: 中南大学出版社, 2014.WU J S. Eddy current technology and application [M]. Changsha: Central South University Press, 2014. -

下载: