起爆偏心对聚能装药射流成型过程及威力参量的影响

徐恒威 梁斌 刘俊新 卢永刚 欧小红

徐恒威, 梁斌, 刘俊新, 卢永刚, 欧小红. 起爆偏心对聚能装药射流成型过程及威力参量的影响[J]. 高压物理学报, 2023, 37(1): 015102. doi: 10.11858/gywlxb.20220635
引用本文: 徐恒威, 梁斌, 刘俊新, 卢永刚, 欧小红. 起爆偏心对聚能装药射流成型过程及威力参量的影响[J]. 高压物理学报, 2023, 37(1): 015102. doi: 10.11858/gywlxb.20220635
XU Hengwei, LIANG Bin, LIU Junxin, LU Yonggang, OU Xiaohong. Effect of Initiation Eccentricity on Shaped Charge Jet Forming Process and Power Parameters[J]. Chinese Journal of High Pressure Physics, 2023, 37(1): 015102. doi: 10.11858/gywlxb.20220635
Citation: XU Hengwei, LIANG Bin, LIU Junxin, LU Yonggang, OU Xiaohong. Effect of Initiation Eccentricity on Shaped Charge Jet Forming Process and Power Parameters[J]. Chinese Journal of High Pressure Physics, 2023, 37(1): 015102. doi: 10.11858/gywlxb.20220635

起爆偏心对聚能装药射流成型过程及威力参量的影响

doi: 10.11858/gywlxb.20220635
基金项目: 国家自然科学基金(11672278);国家重点研发计划(2017YFC0804600)
详细信息
    作者简介:

    徐恒威(1998-),男,硕士研究生,主要从事高效毁伤技术研究. E-mail:xuhw@mails.swust.edu.cn

    通讯作者:

    梁 斌(1976-),男,博士,研究员,主要从事常规武器研制及毁伤研究. E-mail:lb_110119@163.com

  • 中图分类号: O383; TJ410.33

Effect of Initiation Eccentricity on Shaped Charge Jet Forming Process and Power Parameters

  • 摘要: 为了研究起爆偏心对聚能射流的影响,运用有限元软件LS-DYNA模拟了不同起爆偏心量(0.025Dk~0.125DkDk为装药直径)下射流成型及其破甲过程,探究了药型罩非对称压垮程度、射流形态以及横向速度的变化规律,建立了理论模型以分析不同偏心量下射流横向速度分布情况,并基于正交试验设计理论和方差分析法揭示了各因素对评价指标影响程度的显著差异。结果表明:药型罩非对称压垮程度及射流横向速度均与偏心量呈正相关变化趋势。偏心量为0.025Dk时,射流侵彻深度仅下降0.7%;偏心量为0.050Dk时,侵彻深度下降突跃为12.4%;随着偏心量的增加,侵彻深度继续下降。此外,适当增大壁厚、罩顶装药高度可削弱起爆偏心对射流横向速度的影响。

     

  • 图  药型罩不对称压垮几何示意图

    Figure  1.  Geometric representation of the asymmetric collapse of shaped charge

    图  数值模型

    Figure  2.  Numerical simulation model

    图  示踪点位置

    Figure  3.  Location of static tracer points

    图  脉冲X射线摄影试验

    Figure  4.  X-ray photography test

    图  试验结果与模拟结果对比(30 μs)

    Figure  5.  Comparison of test and numerical simulaiton results (30 μs)

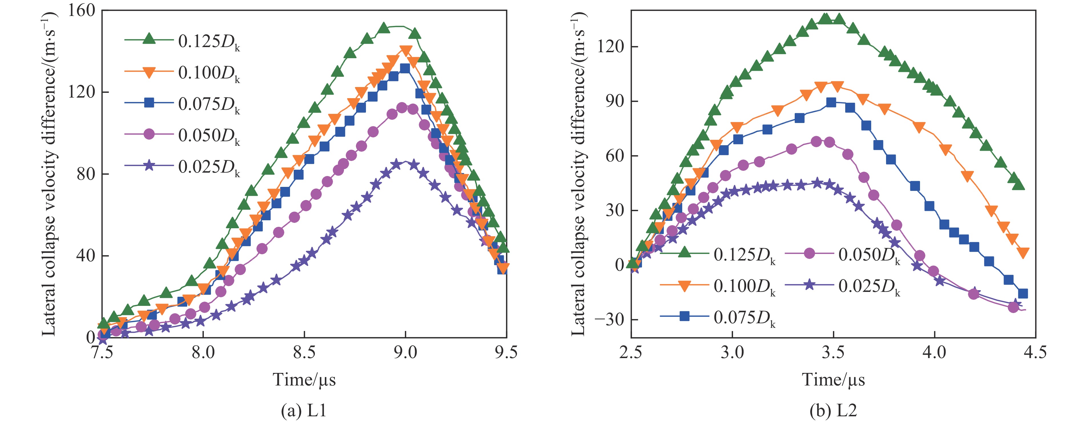
    图  药型罩两侧横向压垮速度差

    Figure  6.  Lateral collapse velocity difference between two sides of liner

    图  不同偏心量下的射流横向速度

    Figure  7.  Lateral velocity of jet under different initiation offsets

    图  射流速度云图

    Figure  8.  Velocity nephogram of shaped charge jet

    图  示踪点运动轨迹

    Figure  9.  Trace line of tracer points at liner surface

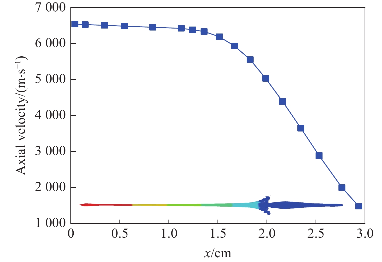
    图  10  罩材沿轴线方向的射流速度分布曲线

    Figure  10.  Distribution curve of the jet velocity of liner material along the axis direction

    图  11  数值模拟结果与理论计算值的对比

    Figure  11.  Comparison of numerical simulation results and theoretical calculated values

    图  12  不同偏心量下射流的破甲威力

    Figure  12.  Armor-breaking power of jet under different offsets

    图  13  不同因素水平对射流轴向速度的影响

    Figure  13.  Effects of factor levels on axial velocity of jet

    图  14  不同因素水平对射流有效长度的影响

    Figure  14.  Effects of factor levels on the effective length of jet

    图  15  不同因素水平对射流横向速度的影响

    Figure  15.  Effects of factor levels on lateral velocity of jet

    图  16  经优化后得到的射流形态

    Figure  16.  Jet shape after optimization

    表  1  聚能装药的几何尺寸

    Table  1.   Structural parameters of shaped charge

    Charge diameterExplosive height above linerCone angle/(°)Thickness of linerRadius of liner curvatureBrust height
    Dk0.5Dk600.020Dk0.037 5Dk3Dk
    下载: 导出CSV

    表  2  炸药模型及状态方程参数[15]

    Table  2.   Parameters of explosive and equation of state[15]

    ρ/(g·cm−3)D/(m·s−1)pCJ/GPaA0/GPaB0/GPaR1R2
    1.798 73033.8795.220.24.641.29
    下载: 导出CSV

    表  3  药型罩模型及状态方程参数[15]

    Table  3.   Parameters of liner and equation of state[15]

    ρ/(g·cm−3)G0/GPaσy/GPaC0/(km·s−1) s1 s2γ0
    8.9647.70.643.941.4902
    下载: 导出CSV

    表  4  射流成型参数对比(30 μs)

    Table  4.   Comparison of jet formation parameters (30 μs)

    Head jet Tail jet Length Jet deviation
    vh,sim/(m·s−1)vh,exp/(m·s−1)δ/%vt,sim/(m·s−1)vt,exp/(m·s−1)δ/%Lsim/cmLexp/cmδ/%ξsim/(°)ξexp/(°)δ/%
    6 4046 600−2.9 622745−16.5 13.4513.60−1.1 1.251.158.6
    下载: 导出CSV

    表  5  正交试验设计

    Table  5.   Orthogonal test design

    Project Factor Evaluation indicator
    123va/(m·s−1)vb/(m·s−1)L/cm
    1Ⅰ(0.012 5Dk)Ⅰ(0.020Dk)Ⅰ(0.5Dk) 6 38445.18.68
    2Ⅰ(0.012 5Dk)Ⅱ(0.025Dk)Ⅱ(0.8Dk)6 26026.29.02
    3Ⅰ(0.012 5Dk)Ⅲ(0.030Dk)Ⅲ(1.0Dk)6 13017.98.93
    4Ⅱ(0.025Dk)Ⅰ(0.020Dk)Ⅱ(0.8Dk)6 55478.29.18
    5Ⅱ(0.025Dk)Ⅱ(0.025Dk)Ⅲ(1.0Dk)6 40157.49.02
    6Ⅱ(0.025Dk)Ⅲ(0.03Dk)Ⅰ(0.5Dk)5 73875.58.76
    7Ⅲ(0.05Dk)Ⅰ(0.020Dk)Ⅲ(1.0Dk)6 710154.19.11
    8Ⅲ(0.05Dk)Ⅱ(0.025Dk)Ⅰ(0.5Dk)6 023187.08.54
    9Ⅲ(0.05Dk)Ⅲ(0.030Dk)Ⅱ(0.8Dk)5 993135.48.94
    下载: 导出CSV

    表  6  计算结果

    Table  6.   Calculation results

    Factorva/(m·s−1) L/cm vb/(m·s−1)
    Rj Rj Rj
    K118 77418 69318 726 26.6326.9626.59 89.2211.1476.5
    K219 64718 68417 862 26.9726.5826.63 277.4270.6228.8
    K318 14418 80719 242 25.9827.1427.06 307.6239.8229.4
    k1 6 258 6 231 6 242 27 8.878.988.850.13 29.770.4158.8129.1
    k2 6 549 6 228 5 954595 8.998.868.880.13 92.590.276.316.2
    k3 6 048 6 269 6 414366 8.669.049.020.38 102.579.976.526.0
    下载: 导出CSV
  • [1] 王钰婷, 黄正祥, 贾鑫, 等. 椭圆形截面聚能装药射流成型及侵彻特性 [J]. 含能材料, 2021, 29(2): 96–106. doi: 10.11943/CJEM2020276

    WANG Y T, HUANG Z X, JIA X, et al. Jet formation and penetration characteristics of shaped charge with elliptical cross-section [J]. Chinese Journal of Energetic Materials, 2021, 29(2): 96–106. doi: 10.11943/CJEM2020276
    [2] AYISIT O, CORUH M M. Investigation of off-axis initiation of long L/D hemispherical shaped charge warheads [J]. Procedia Engineering, 2013, 58: 487–495. doi: 10.1016/j.proeng.2013.05.056
    [3] 李如江, 张晋红, 王建波, 等. 偏心起爆对聚能射流形成的影响 [J]. 弹箭与制导学报, 2012, 32(1): 85–88. doi: 10.3969/j.issn.1673-9728.2012.01.025

    LI R J, ZHANG J H, WANG J B, et al. The effect of eccentric initiation on shaped charge jet formation [J]. Journal of Projectiles, Rockets, Missiles and Guidance, 2012, 32(1): 85–88. doi: 10.3969/j.issn.1673-9728.2012.01.025
    [4] AYISIT O. The influence of asymmetries in shaped charge performance [J]. International Journal of Impact Engineering, 2008, 35(12): 1399–1404. doi: 10.1016/j.ijimpeng.2008.07.027
    [5] 刘健峰, 龙源, 纪冲, 等. 含偏心起爆对EFP战斗部飞行特性的影响 [J]. 爆炸与冲击, 2015, 35(3): 335–342. doi: 10.11883/1001-1455-(2015)03-0335-08

    LIU J F, LONG Y, JI C, et al. Effect of eccentric initiation on the flight characteristics and ballistic dispersion of EFP [J]. Explosion and Shock Waves, 2015, 35(3): 335–342. doi: 10.11883/1001-1455-(2015)03-0335-08
    [6] PACK D C, CURTIS J P. On the effect of asymmetries on the jet from a linear shaped charge [J]. Journal of Applied Physics, 1990, 67(11): 6701–6704. doi: 10.1063/1.345107
    [7] 秦承森, 石艺娜, 冯其京, 等. 非对称射流形成的几何理论(一)——几何封闭条件 [J]. 爆炸与冲击, 2007, 27(6): 493–500. doi: 10.3321/j.issn:1001-1455.2007.06.003

    QIN C S, SHI Y N, FENG Q J, et al. The geometrical theory for the formation of asymmetric jet (Ⅰ): the geometrical close condition [J]. Explosion and Shock Waves, 2007, 27(6): 493–500. doi: 10.3321/j.issn:1001-1455.2007.06.003
    [8] BROWN J, SOFTLEY I D, EDWARDS P. Experimental study of shaped charges with built-in asymmetries [J]. Propellants, Explosives, Pyrotechnics, 1993, 18(5): 255–258. doi: 10.1002/prep.19930180504
    [9] BROWN J, CURTIS J P, COOK D D. The formation of jets from shaped charges in the presence of asymmetry [J]. Journal of Applied Physics, 1992, 72(6): 2136–2143. doi: 10.1063/1.352329
    [10] FEDOROV S V. Numerical simulation of the formation of shaped-charge jets from hemispherical liners of degressive thickness [J]. Combustion, Explosion, and Shock Waves, 2016, 52(5): 600–612. doi: 10.1134/S0010508216050117
    [11] 贾伟, 吴国东, 王志军, 等. 制造误差对金属射流威力影响的仿真研究 [J]. 弹箭与制导学报, 2011, 31(4): 99–101, 132. doi: 10.3969/j.issn.1673-9728.2011.04.029

    JIA W, WU G D, WANG Z J, et al. Strength simulation study of metallic jet effected by technical errors [J]. Journal of Projectiles, Rockets, Missiles and Guidance, 2011, 31(4): 99–101, 132. doi: 10.3969/j.issn.1673-9728.2011.04.029
    [12] 刘建荣, 张国伟, 徐立新, 等. 药型罩加工精度对破甲战斗部威力影响的研究 [J]. 弹箭与制导学报, 2012, 32(3): 114–117. doi: 10.3969/j.issn.1673-9728.2012.03.032

    LIU J R, ZHANG G W, XU L X, et al. The research of influence of liner’s precision on the power of armor-penetrating warhead [J]. Journal of Projectiles, Rockets, Missiles and Guidance, 2012, 32(3): 114–117. doi: 10.3969/j.issn.1673-9728.2012.03.032
    [13] PROSKURYAKOV E V, SOROKIN M V, FOMIN V M. Rebounding of a shaped-charge jet [J]. Journal of Applied Mechanics and Technical Physics, 2007, 48(5): 633–635. doi: 10.1007/s10808-007-0080-1
    [14] BROWN J, EDWARDS P J, LEE P R. Studies of shaped charges with built-in asymmetries. Part Ⅱ: modelling [J]. Propellants, Explosives, Pyrotechnics, 1996, 21(2): 59–63. doi: 10.1002/prep.19960210202
    [15] 时党勇, 李裕春, 张胜民. 基于ANSYS/LS-DYNA 8.1进行显式动力分析 [M]. 北京: 清华大学出版社, 2005: 295−296.

    SHI D Y, LI Y C, ZHANG S M. Explicit dynamic analysis based on ANSYS/LS-DYNA 8.1 [M]. Beijing: Tsinghua University Press, 2005: 295–296.
    [16] 黄正祥. 聚能装药理论与实践 [M]. 北京: 北京理工大学出版社, 2014.

    HUANG Z X. Theory and practice of shaped charge [M]. Beijing: Beijing Institute of Technology Press, 2014.
    [17] 侯秀成, 蒋建伟, 陈智刚. 有效射流结构模式的数值模拟 [J]. 爆炸与冲击, 2014, 34(1): 35–40. doi: 10.3969/j.issn.1001-1455.2014.01.007

    HOU X C, JIANG J W, CHEN Z G. Numerical simulation on structure modules of effective jet [J]. Explosion and Shock Waves, 2014, 34(1): 35–40. doi: 10.3969/j.issn.1001-1455.2014.01.007
    [18] 李磊, 马宏昊, 沈兆武. 基于正交设计方法的双锥罩结构优化设计 [J]. 爆炸与冲击, 2013, 33(6): 567–573. doi: 10.3969/j.issn.1001-1455.2013.06.002

    LI L, MA H H, SHEN Z W. Optimal design of biconical liner structure based on orthogonal design method [J]. Explosion and Shock Waves, 2013, 33(6): 567–573. doi: 10.3969/j.issn.1001-1455.2013.06.002
  • 加载中
图(16) / 表(6)
计量
  • 文章访问数:  472
  • HTML全文浏览量:  279
  • PDF下载量:  39
出版历程
  • 收稿日期:  2022-07-21
  • 修回日期:  2022-08-18
  • 录用日期:  2023-01-16
  • 网络出版日期:  2023-02-28
  • 刊出日期:  2023-02-05

目录

    /

    返回文章
    返回