Numerical Simulation of Fragmentation Process Driven by Explosion in Elliptical Cross-Section Warhead
-
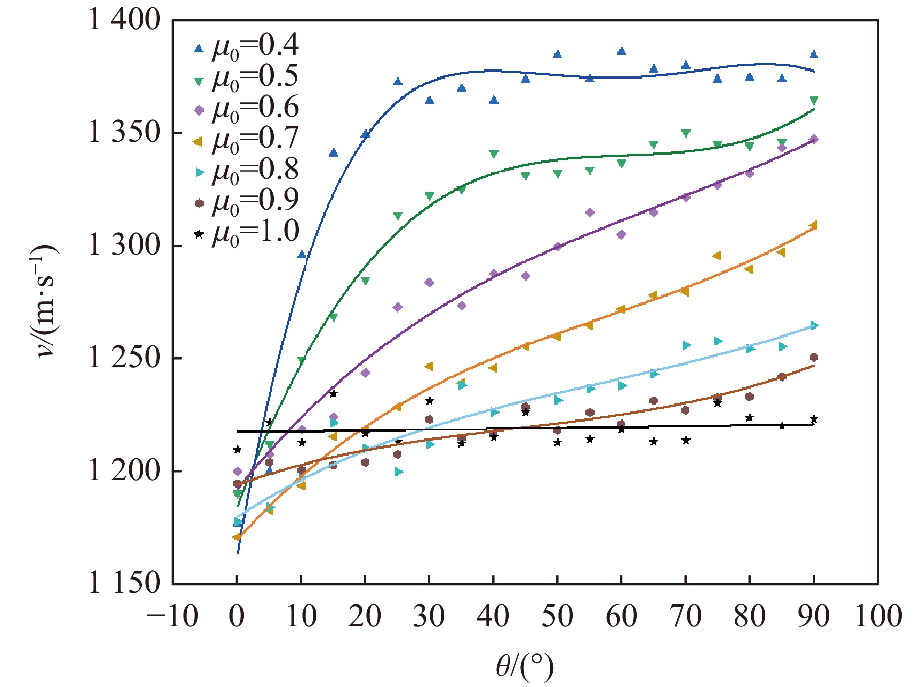
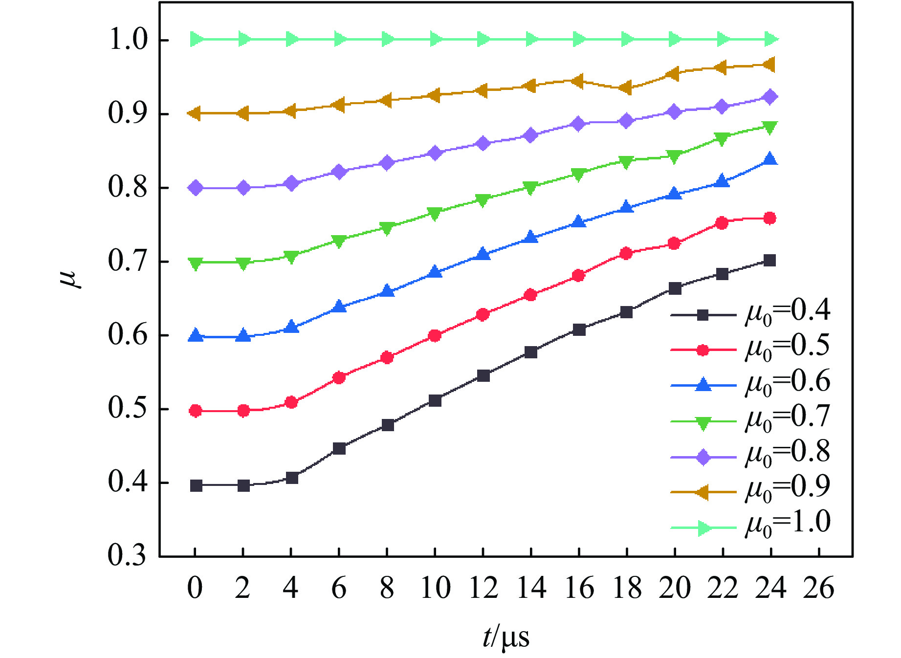
摘要: 为研究爆轰驱动下椭圆截面自然破片杀伤战斗部壳体的膨胀破裂过程以及壳体破片径向速度分布,建立了椭圆截面战斗部三维模型。通过AUTODYN-3D软件,采用Lagrange算法模拟爆轰驱动下椭圆截面自然破片战斗部壳体的膨胀断裂过程,研究了端面单点中心起爆方式下短长轴断裂时间差与短长轴比的关系,以及不同起爆点、不同短长轴比和不同装填比(即装药与壳体质量之比)对椭圆截面战斗部径向破片速度分布的影响。结果表明:与端面中心单点起爆、端面长轴双点偏心起爆和端面短长轴四点偏心起爆相比,端面短轴双点偏心起爆方式对椭圆截面战斗部壳体破片径向速度的增益效果最好。装填比一定时,短、长轴断裂时间以及短、长轴断裂时间差与短长轴比呈线性关系,战斗部壳体膨胀过程中截面形状的实时短长轴比与加载时间呈线性关系;随着短长轴比的增大,战斗部壳体破片径向速度增益逐渐减小。短长轴比一定,装填比小于1时,破片速度随方位角增大呈正弦趋势上升,且短、长轴方向破片速度差与装填比呈线性关系。Abstract: In order to study the expand-rupturing process and the radial velocity distribution of the elliptical cross-section natural fragment warhead shell driven by detonation, a three-dimensional model of the elliptical cross-section warhead was established. The AUTODYN-3D software was used to simulate the expansion and rupture process of the elliptical cross-section natural fragment warhead shell driven by detonation with Lagrange algorithm. The relationship between the minor-major axis fracture time difference and the minor-major axis ratio under the single-point central initiation mode of the end face was studied. The influence of initiation points, minor-major axis ratio and loading ratio (i.e. the mass ratio of charge and shell) on the radial velocity distribution of the elliptical cross-section warhead was studied. The results show that compared with the single-point initiation at the center of the end face, the double-point eccentric initiation at the major axis of the end face and the four-point eccentric initiation at the minor axis of the end face, the double-point eccentric initiation at the minor axis of the end face has the best effect on the radial velocity gain of the elliptical cross-section warhead shell. When the loading ratio is constant, the fracture time of the minor and major axes and the difference between the fracture time of the minor and major axes are linearly related to the minor and major axis ratio. Meanwhile, the real-time minor and major axis ratio of the cross-section shape during the expansion of the warhead shell varies linearly with loading time. The radial velocity distribution of warhead shell fragments decreases with the increase of minor-major axis ratio. When the ratio of minor axis to major axis is constant and the loading ratio is less than 1, the fragment velocity increases sinusoidally with the increase of azimuth angle, and the difference of fragment velocity in minor and major axes shows a linear relationship with the loading ratio.
-
Material $\,\rho $/(g·cm−3) A/MPa B/MPa n C Melting point/K D60 7.83 831 1280 0.672 0.027 1811 表 2 数值模拟中采用的材料模型
Table 2. Material models of numerical simulation
Component $\,\rho $/(g·cm−3) Equation of state Constitutive equation Failure D60 shell 7.83 Liner Johnson-Cook Principal strain 2A12 cover board 2.75 Shock Johnson-Cook Plastic strain 8701 explosive 1.71 JWL 表 3 试验与数值模拟结果对比
Table 3. Comparison of experimental and numerical simulation results
Mass range/g n1 n2 [0.10, 0.20) 228 281 [0.20, 0.25) 126 103 [0.25, 0.30) 30 33 表 4 不同短长轴比椭圆截面战斗部模型参数
Table 4. Model parameters of elliptical cross-section warhead with different
$\,\mu $ 0Test No. x/mm y/mm Thickness of shell/mm $\,\beta $ $\,\mu $0 1 30.62 12.25 2.35 0.633 0.4 2 27.39 13.69 2.44 0.633 0.5 3 25.00 15.00 2.50 0.633 0.6 4 23.15 16.20 2.54 0.633 0.7 5 21.65 17.32 2.56 0.633 0.8 6 20.41 18.37 2.57 0.633 0.9 7 19.36 19.36 2.57 0.633 1.0 表 5 不同装药与壳体质量比的椭圆截面战斗部模型参数
Table 5. Model parameters of elliptical cross-section warhead with different mass ratios of charge to shell
Test No. x/mm y/mm Shell thickness/mm $\,\mu $0 $\,\beta $ 1 25 15 3.66 0.6 0.49 2 25 15 3.06 0.6 0.59 3 25 15 2.46 0.6 0.75 4 25 15 2.16 0.6 0.86 5 25 15 1.86 0.6 1.00 6 25 15 1.56 0.6 1.20 -
[1] 龚柏林, 卢芳云, 李翔宇. D型预制破片战斗部破片飞散过程的数值模拟 [J]. 弹箭与制导学报, 2010, 30(1): 88–90, 94. doi: 10.3969/j.issn.1673-9728.2010.01.027GONG B L, LU F Y, LI X Y. Simulation and study on the fragment ejection process of premade D-shape warhead [J]. Journal of Projectiles, Rockets, Missiles and Guidance, 2010, 30(1): 88–90, 94. doi: 10.3969/j.issn.1673-9728.2010.01.027 [2] 李振铎, 李翔宇, 卢芳云, 等. D字形预制破片战斗部破片能量分布特性 [J]. 弹箭与制导学报, 2016, 36(1): 55–58, 62. doi: 10.15892/j.cnki.djzdxb.2016.01.014LI Z D, LI X Y, LU F Y, et al. Study on fragment energy distribution characteristics of premade D-shape warhead [J]. Journal of Projectiles, Rockets, Missiles and Guidance, 2016, 36(1): 55–58, 62. doi: 10.15892/j.cnki.djzdxb.2016.01.014 [3] 李翔宇, 李振铎, 梁民族. D型战斗部破片飞散性及威力场快速计算 [J]. 爆炸与冲击, 2019, 39(4): 043301. doi: 10.11883/bzycj-2017-0420LI X Y, LI Z D, LIANG M Z. Dispersion properties and rapid calculation of fragment force field of D-shaped fragmentation warhead [J]. Explosion and Shock Waves, 2019, 39(4): 043301. doi: 10.11883/bzycj-2017-0420 [4] LI Y, WEN Y Q. Simulation on damage effectiveness of hexagonal prism aimable warhead with multi-point synchronous initiations [J]. Journal of Beijing Institute of Technology, 2014, 23(1): 1–7. doi: 10.15918/j.jbit1004-0579.2014.01.008 [5] 薛再清, 乔良, 王凯, 等. 小锥角椭圆杀伤战斗部破片初速分布规律初探 [C]//第十五届全国战斗部与毁伤技术学术交流会论文集. 北京, 2017: 472−479.XUE Z Q, QIAO L, WANG K, et al. A preliminary study on the distribution law of the initial velocity of the fragmentation of the small cone angle elliptical killing warhead [C]//Proceedings of the 15th National Warfare and Damage Technology Academic Exchange Confrence. Beijing, 2017: 472−429. [6] 杨祥, 武海军, 皮爱国, 等. 椭圆截面杀伤战斗部破片初速沿周向分布规律 [J]. 北京理工大学学报, 2018, 38(Suppl 2): 178–183. doi: 10.15918/j.tbit1001-0645.2018.s2.040YANG X, WU H J, PI A G, et al. Fragment velocity distribution of elliptical cross-section killing warhead along circumference [J]. Transactions of Beijing Institute of Technology, 2018, 38(Suppl 2): 178–183. doi: 10.15918/j.tbit1001-0645.2018.s2.040 [7] GURNEY R W. Initial velocities of fragments from bombs, shell, grenades [R]. Aberdeen, USA: Ballistic Research Laboratory, 1943. [8] 王文杰, 张先锋, 邓佳杰, 等. 椭圆截面弹体侵彻砂浆靶规律分析 [J]. 爆炸与冲击, 2018, 38(1): 164–173. doi: 10.11883/bzycj-2017-0020WANG W J, ZHANG X F, DENG J J, et al. Analysis of projectile penetrating into mortar target with elliptical cross-section [J]. Explosion and Shock Waves, 2018, 38(1): 164–173. doi: 10.11883/bzycj-2017-0020 [9] GARON K D, FAMINU O. Aeroballistic range tests of missile configurations with non-circular cross-sections and aeroprediction comparison results [C]//Proceedings of the 41st Aerospace Sciences Meeting and Exhibit. Reno: AIAA, 2003: 6−9. [10] 冉洪. 椭圆截面飞行器单独体(高)超声速气动性能初步研究 [C]//第一届近代实验空气动力学会议论文集. 银川: 中国空气动力学会, 2007: 418−424.RAN H. Initial investigation of (high) supersonic aerodynamic performance of air vehicle body of elliptic cross-section [C]//Proceeding of 1st Contemporary Experimental Aerodynamics Conference. Yinchuan: Chinese Society of Aerodynamics, 2007: 418−424. [11] 张先锋, 李向东, 沈培辉, 等. 终点效应学 [M]. 北京: 北京理工大学出版社, 2017: 126−172.ZHANG X F, LI X D, SHEN P H, et al. Terminal effects [M]. Beijing: Beijing Institute of Technology Press, 2017: 126−172. [12] GRADY D. Fragmentation of rings and shells: the legacy of N. F. Mott [M]. Berlin: Springer, 2006: 243−294. [13] JONATHAN P G, GREG F, COLIN H. Numerical simulation of fragmentation using AUTODYN-2D and 3D in explosive ordnance safety assessment [C]//The PARARI International Explosive Ordnance Symposium. Canberra, Astralia, 2003: 2−8. [14] 杜宁, 丁力, 卢建东, 等. 不同硬度刻槽壳体爆炸驱动形成破片特性研究 [J]. 弹道学报, 2019, 31(2): 80–86. doi: 10.12115/j.issn.1004-499X(2019)02-014DU N, DING L, LU J D, et al. Study on fragments formation of groove shell with different hardness under explosively loading [J]. Journal of Ballistics, 2019, 31(2): 80–86. doi: 10.12115/j.issn.1004-499X(2019)02-014 [15] 刘明涛, 汤铁钢. 爆炸加载下金属壳体膨胀断裂过程中的关键物理问题 [J]. 爆炸与冲击, 2021, 41(1): 011402. doi: 10.11883/bzycj-2020-0351LIU M T, TANG T G. Key physical problems in the expanding fracture of explosively driven metallic shells [J]. Explosion and Shock Waves, 2021, 41(1): 011402. doi: 10.11883/bzycj-2020-0351 [16] 王力. 柱形壳体偏心起爆时破片飞散特性的研究 [D]. 北京: 北京理工大学, 2017: 2−6.WANG L. Research on the dispersion characteristics of fragments from a cylindrical casing under eccentric initiation [D]. Beijing: Beijing Institute of Technology, 2017: 2−6. [17] 沈慧铭, 李伟兵, 王晓鸣, 等. 圆柱壳体装药偏心多点起爆下破片速度的分布 [J]. 爆炸与冲击, 2017, 37(6): 1039–1045. doi: 10.11883/1001-1455(2017)06-1039-07SHEN H M, LI W B, WANG X M, et al. Velocity distribution of fragments resulted by explosion of a cylindrical shell charge on multi-spots eccentric initiation [J]. Explosion and Shock Waves, 2017, 37(6): 1039–1045. doi: 10.11883/1001-1455(2017)06-1039-07 -

下载:









