一维黏弹性声子晶体的色散与耗散关系

王航 王文强

王航, 王文强. 一维黏弹性声子晶体的色散与耗散关系[J]. 高压物理学报, 2020, 34(6): 062401. doi: 10.11858/gywlxb.20200573
引用本文: 王航, 王文强. 一维黏弹性声子晶体的色散与耗散关系[J]. 高压物理学报, 2020, 34(6): 062401. doi: 10.11858/gywlxb.20200573
WANG Hang, WANG Wenqiang. Dispersion and Dissipation Relations of One-Dimensional Viscoelastic Phononic Crystals[J]. Chinese Journal of High Pressure Physics, 2020, 34(6): 062401. doi: 10.11858/gywlxb.20200573
Citation: WANG Hang, WANG Wenqiang. Dispersion and Dissipation Relations of One-Dimensional Viscoelastic Phononic Crystals[J]. Chinese Journal of High Pressure Physics, 2020, 34(6): 062401. doi: 10.11858/gywlxb.20200573

一维黏弹性声子晶体的色散与耗散关系

doi: 10.11858/gywlxb.20200573
基金项目: 中国工程物理研究院规划发展课题(TCGH0111)
详细信息
    作者简介:

    王 航(1995-),男,硕士研究生,主要从事材料与结构动态响应的数值模拟研究. E-mail:dtwh1995@163.com

    通讯作者:

    王文强(1968-),男,博士,研究员,主要从事冲击波物理与爆炸力学相关问题研究. E-mail:wwq_mech@163.com

  • 中图分类号: O347.4

Dispersion and Dissipation Relations of One-Dimensional Viscoelastic Phononic Crystals

  • 摘要: 基于运动方程和广义麦克斯韦本构,推导了一维黏弹性局域共振型和布拉格散射型声子晶体的色散与耗散关系。结果表明:对于时间谐波传播问题,这两种声子晶体的色散关系中均不存在禁带,波的衰减完全依赖于黏性耗散和周期性调制,且周期性调制会增强这种耗散作用;相反,对于自由波传播问题,两种声子晶体的色散关系中均存在禁带,但在禁带之外,波的衰减仍需借助于黏性耗散和周期性调制。研究结果对于由高分子材料构成的层状复合材料中的应力波传播研究具有一定的意义。

     

  • 图  离散形式的一维黏弹性声子晶体

    Figure  1.  One dimensional viscoelastic phononic crystals in discrete form

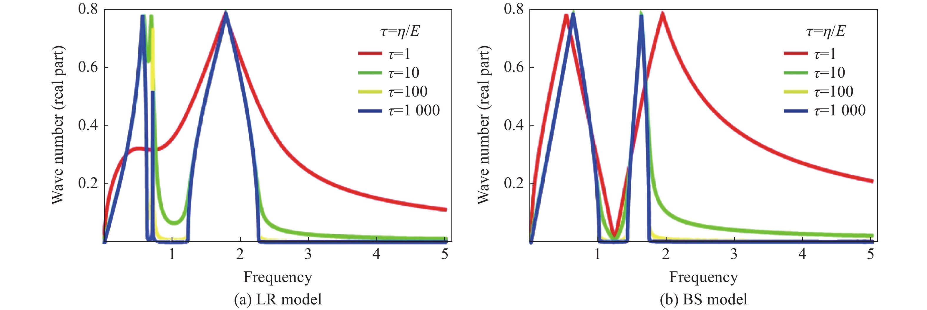
    图  不同 $\tau $ 下LR和BS模型的色散关系

    Figure  2.  Dispersion relation of LR and BS model with different $\tau $

    图  N = 1和N = 3时BS模型的耗散关系

    Figure  3.  Dissipation relation of BS model when N = 1 and N = 3

    图  N = 1和N = 3时LR模型的耗散关系

    Figure  4.  Dissipation relation of LR model when N = 1 and N = 3

    图  N = 1时LR和BS模型的色散关系

    Figure  5.  Dispersion relation of LR and BS model when N = 1

    图  N = 3时LR和BS模型的色散关系

    Figure  6.  Dispersion relation of LR and BS model when N = 3

    图  N = 1时LR和BS模型的耗散关系

    Figure  7.  Dissipation relation of LR and BS models when N = 1

    图  N = 3时LR和BS模型的耗散关系

    Figure  8.  Dissipation relation of LR and BS models when N = 3

  • [1] LUNDERGAN C D, DRUMHELLER D S. Propagation of stress waves in a laminated plate composite [J]. Journal of Applied Physics, 1971, 42(2): 669–675. doi: 10.1063/1.1660078
    [2] OVED Y, LUTTWAK G E, ROSENBERG Z. Shock wave propagation in layered composites [J]. Journal of Composite Materials, 1978, 12(1): 84–96. doi: 10.1177/002199837801200107
    [3] BENSON D J, NESTERENKO V F. Anomalous decay of shock impulses in laminated composites [J]. Journal of Applied Physics, 2001, 89(7): 3622–3626. doi: 10.1063/1.1329146
    [4] ZHUANG S M, RAVICHANDRAN G, GRADY D E. An experimental investigation of shock wave propagation in periodically layered composites [J]. Journal of the Mechanics and Physics of Solids, 2003, 51(2): 245–265. doi: 10.1016/S0022-5096(02)00100-X
    [5] FRANCO NAVARRO P, BENSON D J, NESTERENKO V F. Nature of short, high-amplitude compressive stress pulses in a periodic dissipative laminate [J]. Physical Review E, 2015, 92(6): 062917. doi: 10.1103/PhysRevE.92.062917
    [6] YADAV S, RAVICHANDRAN G. Penetration resistance of laminated ceramic/polymer structures [J]. International Journal of Impact Engineering, 2003, 28(5): 557–574. doi: 10.1016/S0734-743X(02)00122-7
    [7] GRUJICIC M, BELL W C, PANDURANGAN B. Design and material selection guidelines and strategies for transparent armor systems [J]. Materials & Design, 2012, 34: 808–819. doi: 10.1016/j.matdes.2011.07.007
    [8] MINES R A W. A one-dimensional stress wave analysis of a lightweight composite armour [J]. Composite Structures, 2004, 64(1): 55–62. doi: 10.1016/S0263-8223(03)00213-7
    [9] HUSSEIN M I, FRAZIER M J. Band structure of phononic crystals with general damping [J]. Journal of Applied Physics, 2010, 108(9): 093506. doi: 10.1063/1.3498806
    [10] HUSSEIN M I, FRAZIER M J. Metadamping: an emergent phenomenon in dissipative metamaterials [J]. Journal of Sound and Vibration, 2013, 332(20): 4767–4774. doi: 10.1016/j.jsv.2013.04.041
    [11] LI J, CHAN C T. Double-negative acoustic metamaterial [J]. Physical Review E, 2004, 70(5): 055602. doi: 10.1103/PhysRevE.70.055602
    [12] LIU Z Y, ZHANG X X, MAO Y W, et al. Locally resonant sonic materials [J]. Science, 2000, 289(5485): 1734–1736. doi: 10.1126/science.289.5485.1734
    [13] DING Y Q, LIU Z Y, QIU C Y, et al. Metamaterial with simultaneously negative bulk modulus and mass density [J]. Physical Review Letters, 2007, 99(9): 093904. doi: 10.1103/PhysRevLett.99.093904
    [14] 王礼立. 应力波基础[M]. 2版. 北京: 国防工业出版社, 2005.

    WANG L L. Foundation of stress waves [M]. 2nd ed. Beijing: National Defense Industry Press, 2005.
    [15] ZHU X Y, ZHONG S, ZHAO H D. Band gap structures for viscoelastic phononic crystals based on numerical and experimental investigation [J]. Applied Acoustics, 2016, 106: 93–104. doi: 10.1016/j.apacoust.2016.01.007
    [16] LEWIŃSKA M A, KOUZNETSOVA V G, VAN DOMMELEN J A W, et al. The attenuation performance of locally resonant acoustic metamaterials based on generalised viscoelastic modelling [J]. International Journal of Solids and Structures, 2017, 126/127: 163–174. doi: 10.1016/j.ijsolstr.2017.08.003
    [17] GUO F X, GUO H, SUN P, et al. Study on band gap properties of two-dimensional phononic crystals based on generalized viscoelastic modeling [J]. Modern Physics Letters B, 2019, 33(32): 1950403. doi: 10.1142/S0217984919504037
    [18] YAO S S, ZHOU X M, HU G K. Experimental study on negative effective mass in a 1D mass-spring system [J]. New Journal of Physics, 2008, 10(4): 043020. doi: 10.1088/1367-2630/10/4/043020
    [19] TAN K T, HUANG H H, SUN C T. Optimizing the band gap of effective mass negativity in acoustic metamaterials [J]. Applied Physics Letters, 2012, 101(24): 241902. doi: 10.1063/1.4770370
    [20] MEAD D J. A general theory of harmonic wave propagation in linear periodic systems with multiple coupling [J]. Journal of Sound and Vibration, 1973, 27(2): 235–260. doi: 10.1016/0022-460X(73)90064-3
    [21] LAZAROV B S, THOMSEN J J. Using high-frequency vibrations and non-linear inclusions to create metamaterials with adjustable effective properties [J]. International Journal of Non-Linear Mechanics, 2009, 44(1): 90–97. doi: 10.1016/j.ijnonlinmec.2008.09.001
    [22] HUANG H H, SUN C T, HUANG G L. On the negative effective mass density in acoustic metamaterials [J]. International Journal of Engineering Science, 2009, 47(4): 610–617. doi: 10.1016/j.ijengsci.2008.12.007
    [23] 阎守胜. 固体物理基础[M]. 北京: 北京大学出版社, 2000.

    YAN S S. Fundamentals of solid state physics [M]. Beijing: Peking University Press, 2000.
    [24] HUSSEIN M I, LEAMY M J, RUZZENE M. Dynamics of phononic materials and structures: historical origins, recent progress, and future outlook [J]. Applied Mechanics Reviews, 2014, 66(4): 040802. doi: 10.1115/1.4026911
    [25] FRAZIER M J, HUSSEIN M I. Viscous-to-viscoelastic transition in phononic crystal and metamaterial band structures [J]. The Journal of the Acoustical Society of America, 2015, 138(5): 3169–3180. doi: 10.1121/1.4934845
  • 加载中
图(8)
计量
  • 文章访问数:  6861
  • HTML全文浏览量:  3312
  • PDF下载量:  38
出版历程
  • 收稿日期:  2020-06-21
  • 修回日期:  2020-07-15
  • 刊出日期:  2020-08-25

目录

    /

    返回文章
    返回