Finite Element Calculation of Polycrystalline Shear-Compression Specimens with Static Loading
-
摘要: 基于晶体塑性理论研究了晶体织构对数值计算结果的影响,建立了带有织构的多晶体压剪试样(SCS)模型。从材料和试样结构两方面研究了静态加载条件下微观晶粒在有限变形过程中对试样宏观力学性能的影响。由于模型几何结构的特殊性,重点对模型斜槽部分的应力、应变及变形特点进行了分析。考虑到试样在压缩过程中受摩擦的影响,数值分析了不同摩擦系数对变形过程的影响,在此基础上计算了相同摩擦系数下不同晶粒数目、不同单元数目以及单元类型对多晶体压剪模型力学性能的影响,并对试件关键部位不同取向晶粒的应力状态进行了分析。Abstract: The effect of crystal texture on the numerical results was studied based on the theory of crystal plasticity, and the polycrystalline compression shear sample (SCS) model with texture was established. The influence of micro-grain on the macroscopic mechanical properties in the process of finite deformation under static loading condition was studied in terms of material and sample structure. Because of the particularity of model geometry, the stress, strain and deformation characteristics of skewed slot were computed. Considering the effect of friction on the specimen during compression, the influence of friction coefficients on the deformation process was analyzed numerically. The influences of grain number, element number and element type on the mechanical properties of polycrystalline compression shear model under the same friction coefficient were calculated. The stress states of grain with different orientations in key parts of the specimen were also studied.
-
Key words:
- polycrystalline /
- crystal texture /
- crystal plasticity /
- shear-compression /
- friction coefficient
-
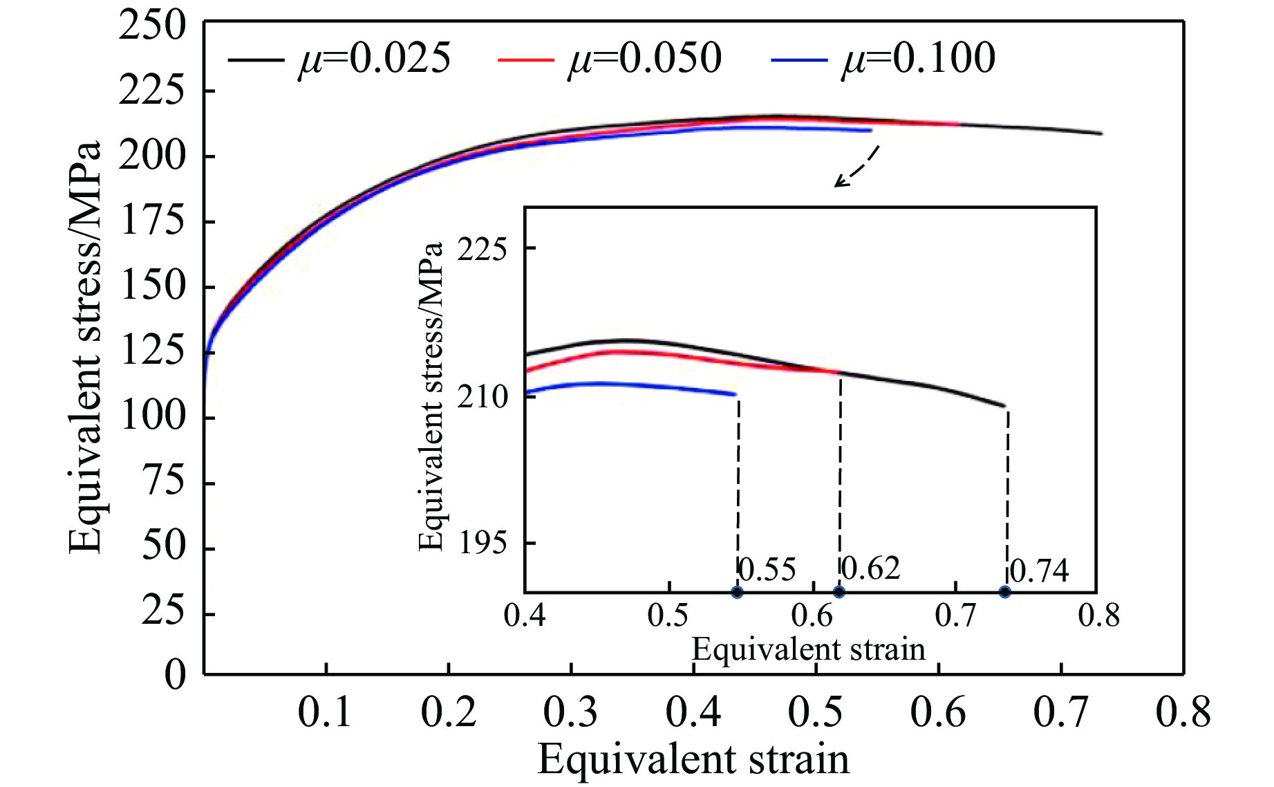
C11/GPa C12/GPa C44/GPa m q ${ { {\dot {\gamma } } }_{{0}}}$/s–1 h0/MPa τ0/MPa τs/MPa 108.200 61.300 28.500 20 1.1 1 96 23.5 54 表 2 不同摩擦系数对应模型的数值结果比较
Table 2. Numerical results of models corresponding to different friction coefficients
Friction coefficient Maximum shear
strainMaximum normal
strainMaximum equivalent
strainMaximum
force/N0.025 0.740 −0.331 0.741 8 899.73 0.050 0.697 −0.263 0.625 9 566.97 0.100 0.651 −0.212 0.553 10 001.50 Relative maximum difference 13.7% 56.1% 34.0% 12.4% 表 3 特征晶粒欧拉角
Table 3. Euler angle of characteristic grains
Grain number φ1/(°) $\psi$/(°) φ2/(°) Grain number φ1/(°) $\psi$/(°) φ2/(°) 1 69.24 167.34 8.61 9 334.93 38.19 29.33 2 44.05 92.39 45.56 10 30.45 127.11 356.19 3 356.63 154.92 76.61 11 59.93 105.73 313.11 4 305.74 23.07 333.37 12 88.45 166.05 33.32 5 45.14 101.42 64.90 13 74.86 154.71 302.25 6 282.88 86.40 282.11 14 76.35 51.48 307.37 7 350.37 146.78 286.51 15 79.65 77.10 351.57 8 49.77 3.76 329.80 16 357.28 56.00 72.22 表 4 单元数目不同时模型在不同压缩距离下的载荷及其最大相对偏差
Table 4. Loads of the model with different numbers of elements at different compression distance and their maximum relative differences
Number of elements Load/N 1.0 mm 1.4 mm 1.8 mm 2.5 mm 8 026 −7 790.82 −8 180.42 −8 469.96 −8 726.07 14 604 −7 487.38 −7 824.37 −8 008.19 −8 157.61 23 835 −7 669.64 −8 038.55 −8 270.62 −8 436.06 Maximum relative difference 4.05% 4.55% 5.77% 6.97% -
[1] 董湘怀, 仲町英治. 晶体塑性模型在板材成形计算机模拟中的应用 [J]. 中国机械工程, 1997, 8(4): 27–30, 118.DONG X H, NAKAMACHI E. Application of crystal plastic model in computer simulation of sheet metal forming [J]. China Mechanical Engineering, 1997, 8(4): 27–30, 118. [2] 刘海军, 方刚, 曾攀. 基于晶体塑性理论的大变形数值模拟技术 [J]. 塑性工程学报, 2006, 13(2): 1–8, 28. doi: 10.3969/j.issn.1007-2012.2006.02.001LIU H J, FANG G, ZENG P. Numerical simulation of large deformation based on the theory of crystal plasticity [J]. Journal of Plastic Engineering, 2006, 13(2): 1–8, 28. doi: 10.3969/j.issn.1007-2012.2006.02.001 [3] 皮华春, 韩静涛, 薛永栋. 金属塑性成形的晶体塑性学有限元模拟研究进展 [J]. 机械工程学报, 2006, 42(3): 15–21. doi: 10.3321/j.issn:0577-6686.2006.03.003PI H C, HAN J T, XUE Y D. Progress in finite element simulation of metal plasticity forming with crystal plasticity [J]. Journal of Mechanical Engineering, 2006, 42(3): 15–21. doi: 10.3321/j.issn:0577-6686.2006.03.003 [4] 司良英. FCC金属冷加工织构演变的晶体塑性有限元模拟 [D]. 沈阳: 东北大学, 2009.SI L Y. Finite element simulation of crystal plasticity in FCC metal cold working texture evolution [D]. Shenyang: Northeastern University, 2009. [5] 司良英, 邓关宇, 吕程. 基于Voronoi图的晶体塑性有限元多晶几何建模 [J]. 材料与冶金学报, 2009, 8(3): 193–197, 216.SI L Y, DENG G Y, LÜ C. Crystal plastic finite element polycrystalline geometry modeling based on Voronoi diagram [J]. Journal of Materials and Metallurgy, 2009, 8(3): 193–197, 216. [6] 张丰果, 董湘怀. 微塑性成形模拟材料细观建模 [J]. 模具技术, 2011(3): 16–19.ZHANG F G, DONG X H. Microplastic forming simulates material microscopic modeling [J]. Mould Technology, 2011(3): 16–19. [7] 郑文, 徐松林, 蔡超. 基于Hopkinson压杆的动态压剪复合加载实验研究 [J]. 力学学报, 2012, 44(1): 124–131.ZHENG W, XU S L, CAI C. Experimental study on dynamic compression shear composite loading based on Hopkinson compression bar [J]. Journal of Mechanics, 2012, 44(1): 124–131. [8] 章超, 徐松林, 王道荣. 花岗岩动静态压剪复合加载实验研究 [J]. 固体力学学报, 2014, 35(2): 115–123.ZHANG C, XU S L, WANG D R. Experimental study on dynamic and static compressor-shear composite loading of granite [J]. Journal of Solid Mechanics, 2014, 35(2): 115–123. [9] 李雪艳, 李志斌, 张舵. 闭孔泡沫铝准静态压剪性能研究 [J]. 高压物理学报, 2018, 32(3): 52–59. doi: 10.11858/gywlxb.20170655LI X Y, LI Z B, ZHANG D. Study on quasi-static compressive shear properties of aluminum foam with closed-cell [J]. Journal of High Pressure Physics, 2018, 32(3): 52–59. doi: 10.11858/gywlxb.20170655 [10] RITTEL D, LEE S, RAVICHANDRAN G. A Shear-compression specimen for large strain testing [J]. Experimental Mechanics, 2002, 42(1): 58–64. doi: 10.1007/BF02411052 [11] RITTEL D, RAVICHANDRAN G, LEE S. Large strain constitutive behavior of OFHC copper over a wide range of strain rates using the shear compression specimen [J]. Mechanics of Materials, 2002, 34(10): 627–642. doi: 10.1016/S0167-6636(02)00164-3 [12] DOROGOY A, RITTEL D. A numerical study of the applicability of the shear compression specimen to parabolic hardening materials [J]. Experimental Mechanics, 2006, 46(3): 355–366. doi: 10.1007/s11340-006-6414-8 [13] DOROGOY A, RITTEL D. Numerical validation of the shear compression specimen. Part Ⅱ: dynamic large strain testing [J]. Experimental Mechanics, 2005, 45(2): 178–185. doi: 10.1007/BF02428191 [14] DOROGOY A, RITTEL D. Numerical validation of the shear compression specimen. Part I: quasi-static large strain testing [J]. Experimental Mechanics, 2005, 45(2): 167–177. doi: 10.1007/BF02428190 [15] DOROGOY A, RITTEL D, GODINGER A. Modification of the shear-compression specimen for large strain testing [J]. Experimental Mechanics, 2015, 55(9): 1627–1639. doi: 10.1007/s11340-015-0057-6 [16] VURAL M, MOLINARI A, BHATTACHARYYA N. Analysis of slot orientation in shear-compression specimen (SCS) [J]. Experimental Mechanics, 2010, 51(3): 263–273. [17] ZHAO J, KNAUSS W G, RAVICHANDRAN G. A new shear-compression-specimen for determining quasistatic and dynamic polymer properties [J]. Experimental Mechanics, 2008, 49(3): 427–436. [18] PIERCE D, ASARO R J, NEEDLEMAN A. Material rate sensitivity and localized deformation in crystalline solids [J]. Acta Metall, 1983, 31(12): 1951–1976. doi: 10.1016/0001-6160(83)90014-7 [19] ASARO R J, NEEDLEMAN A. Overview No. 42 texture development and strain hardening in rate dependent polycrystals [J]. Acta Metallurgica, 1985, 33(6): 923–953. [20] HUANG Y. A user-material subroutine incorporating single crystal plasticity in the ABAQUS finite element program: MECH 178 [R]. Harvard University, 1991. [21] 王国军, 孙强. 4032合金热挤压棒材变形行为及形变织构 [J]. 黑龙江冶金, 2013, 33(2): 1–5, 8.WANG G J, SUN Q. Deformation behavior and deformation texture of hot extruded 4032 alloy bar [J]. Heilongjiang Metallurgy, 2013, 33(2): 1–5, 8. [22] HUANG S Y, ZHANG S R, LI D Y. Simulation of texture evolution during plastic deformation of FCC, BCC and HCP structured crystals with crystal plasticity based finite element method [J]. Transactions of Nonferrous Metals Society of China, 2011, 21(8): 1817–1825. doi: 10.1016/S1003-6326(11)60936-9 [23] 辛存, 赵聃, 闫晓鹏. 材料三维微结构表征及其晶体塑性有限元模拟 [J]. 计算力学学报, 2018, 36(2): 233–239.XIN C, ZHAO D, YAN X P. 3D modeling microstructure and crystal plasticity finite element simulation [J]. Journal of Computational Mechanics, 2018, 36(2): 233–239. [24] 齐康, 闫昊, 陈祥瑶. 利用ABAQUS模拟不同模态下的金属切削过程 [J]. 机械工程与自动化, 2018(2): 93–94.QI K, YAN H, CHEN X Y. Metal cutting processes in different modes are simulated by ABAQUS [J]. Mechanical Engineering and Automation, 2018(2): 93–94. -

下载: