AlCrFeCuNi高熵合金力学性能的分子动力学模拟

李健 郭晓璇 马胜国 李志强 辛浩

李健, 郭晓璇, 马胜国, 李志强, 辛浩. AlCrFeCuNi高熵合金力学性能的分子动力学模拟[J]. 高压物理学报, 2020, 34(1): 011301. doi: 10.11858/gywlxb.20190762
引用本文: 李健, 郭晓璇, 马胜国, 李志强, 辛浩. AlCrFeCuNi高熵合金力学性能的分子动力学模拟[J]. 高压物理学报, 2020, 34(1): 011301. doi: 10.11858/gywlxb.20190762
LI Jian, GUO Xiaoxuan, MA Shengguo, LI Zhiqiang, XIN Hao. Mechanical Properties of AlCrFeCuNi High Entropy Alloy: A Molecular Dynamics Study[J]. Chinese Journal of High Pressure Physics, 2020, 34(1): 011301. doi: 10.11858/gywlxb.20190762
Citation: LI Jian, GUO Xiaoxuan, MA Shengguo, LI Zhiqiang, XIN Hao. Mechanical Properties of AlCrFeCuNi High Entropy Alloy: A Molecular Dynamics Study[J]. Chinese Journal of High Pressure Physics, 2020, 34(1): 011301. doi: 10.11858/gywlxb.20190762

AlCrFeCuNi高熵合金力学性能的分子动力学模拟

doi: 10.11858/gywlxb.20190762
基金项目: 国家自然科学基金(51501123,11672199)
详细信息
    作者简介:

    李 健(1994-),男,硕士研究生,主要从事分子动力学研究. E-mail: lijian0980@link.tyut.edu.cn

    通讯作者:

    辛 浩(1985-),男,副教授,主要从事分子动力学研究. E-mail: xinhao@tyut.edu.cn

  • 中图分类号: O344.3; O521.2

Mechanical Properties of AlCrFeCuNi High Entropy Alloy: A Molecular Dynamics Study

  • 摘要: 高熵合金具有传统合金无法比拟的高强度、高硬度和高耐磨耐腐蚀性,具有广阔的应用前景。为研究AlCrFeCuNi高熵合金(High entropy alloy, HEA)在轴向载荷作用下的力学性能,采用分子动力学方法,模拟高熵合金的实验制备过程并建立原子模型,研究温度和Al的含量对AlCrFeCuNi高熵合金力学性能的影响,从材料学角度分析了变形过程及其具有高塑性的原因。模拟结果表明,AlCrFeCuNi高熵合金在拉伸载荷作用下依次经历弹性、屈服、塑性3个变形阶段。在屈服阶段,开始出现孪晶和层错,孪晶和层错的产生和生长是合金产生不均匀塑性变形的主要原因之一。高熵合金的杨氏模量和屈服应力随着Al含量的增加近似线性降低,同时具有很强的温度效应,温度越低,Al含量越小,其杨氏模量和屈服应力的下降幅度越大。

     

  • 图  AlCrFeCuNi高熵合金模型及原子示意图

    Figure  1.  Model and atomic diagram of AlCrFeCuNi HEA

    图  拉伸应力-应变曲线

    Figure  2.  Stress-strain relations under uniaxial tensile loading

    图  不同拉伸应变下的微观结构

    Figure  3.  Micro-structure of HEA under different strains

    图  不同温度下的拉伸应力-应变曲线

    Figure  4.  Stress-strain relations under uniaxial tensile loading at different temperatures

    图  不同温度下杨氏模量和拉伸强度的变化趋势

    Figure  5.  Young’s modulus and tensile strength at different temperatures

    图  不同温度下AlxCrFeCuNi高熵合金的拉伸应力-应变曲线

    Figure  6.  Stress-strain relations of AlxCrFeCuNi under uniaxial tension loading at different temperatures

    图  不同温度下的杨氏模量(a)和屈服应力(b)

    Figure  7.  Young’s modulus (a) and yield stress (b) at different temperatures

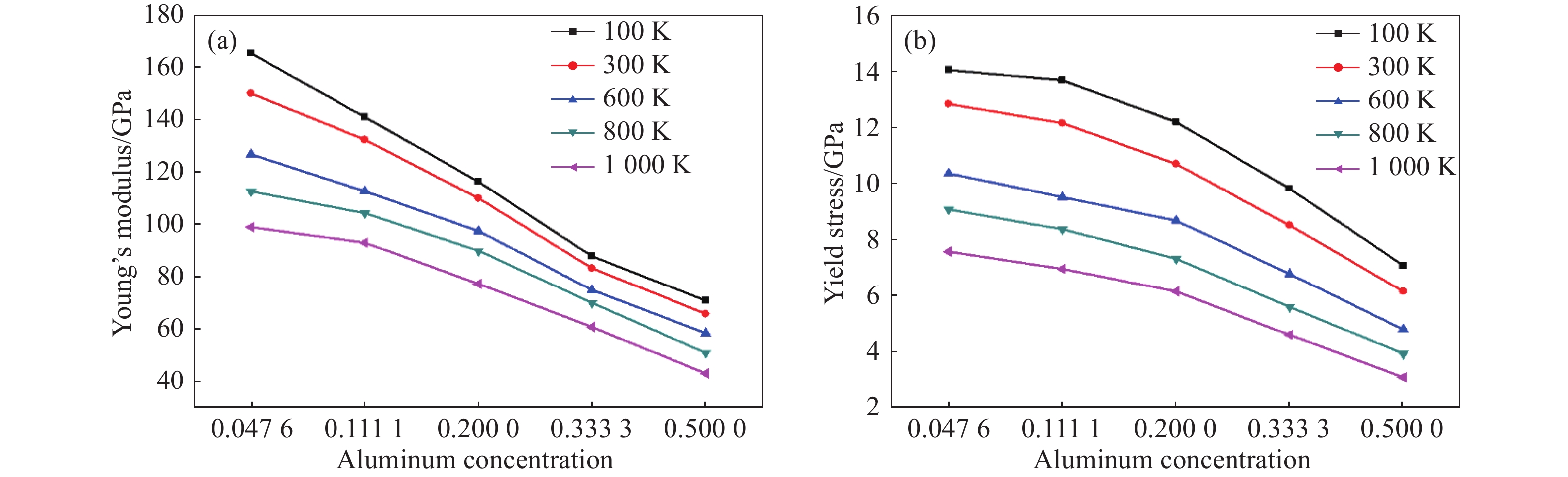
    图  不同Al含量下的杨氏模量(a)和屈服应力(b)

    Figure  8.  Young’s modulus (a) and yield stress (b) at different Al concentrations

    表  1  Morse势参数[10]

    Table  1.   Parameters of Morse potential[10]

    Atom pairD/eV$\alpha $/Å–1r0
    Cr-Cu0.389 041.465 42.628 9
    Fe-Cu0.378 321.373 62.645 4
    Ni-Cu0.379 721.389 32.618 2
    Cr-Al0.345 411.368 52.819 9
    Fe-Al0.335 891.276 72.837 6
    Ni-Al0.337 131.292 42.808 3
    下载: 导出CSV

    表  2  不同温度下的拉伸力学性能

    Table  2.   Mechanical properties under uniaxial tensile loading at different temperatures

    Temperature/KYoung’s modulus/
    GPa
    Yield stress/
    GPa
    Yield strainTemperature/KYoung’s modulus/
    GPa
    Yield stress/
    GPa
    Yield strain
    100115.27311.9540.115 60096.5078.3830.097
    200112.25111.1970.111 70092.5327.8380.092
    300108.76810.3900.107 80088.5037.1470.088
    400103.950 9.7650.103 90084.3826.6520.087
    500101.228 8.9750.0991 00080.8086.0600.086
    下载: 导出CSV

    表  3  AlxCrFeCuNi高熵合金中Al百分含量和各元素原子个数

    Table  3.   The number of different kinds of atoms of AlxCrFeCuNi

    x${\eta _{{\rm{Al}}}}$/%n(Al)n(Cr)n(Fe)n(Cu)n(Ni)
    0.2 4.76 4 51523 15122 92022 98022 434
    0.511.1110 92921 52821 42321 16520 955
    1.020.0019 42819 33819 41918 87018 945
    2.033.3332 23816 07116 28415 66615 741
    4.050.0047 98812 00012 33612 07811 598
    下载: 导出CSV

    表  4  AlxCrFeCuNi高熵合金在不同温度下的杨氏模量和屈服应力

    Table  4.   Young’s modulus and yield stress of AlxCrFeCuNi at different temperatures and different Al concentrations

    T/KYoung’s modulus/GPaYield stress/GPa
    x=0.2x=0.5x=1.0x=2.0x=4.0x=0.2x=0.5x=1.0x=2.0x=4.0
    100165.61141.06116.3987.8370.9414.0513.6812.199.827.08
    300150.16132.42110.1383.2865.8712.8312.1510.708.516.16
    600126.82112.77 97.5574.9858.5510.36 9.52 8.686.784.81
    800112.70104.47 89.9670.0551.08 9.08 8.37 7.325.613.94
    1 000 99.06 93.09 77.3760.9443.13 7.57 6.96 6.164.613.10
    下载: 导出CSV
  • [1] YEH J W, CHEN S K, LIN S J, et al. Nanostructured high-entropy alloys with multiple principal elements: novel alloy design concepts and outcomes [J]. Advanced Engineering Materials, 2004, 6(5): 299–303. doi: 10.1002/adem.200300567
    [2] CHEN W, FU Z, FANG S, et al. Alloying behavior, microstructure and mechanical properties in a FeNiCrCo0.3Al0.7 high entropy alloy [J]. Materials & Design, 2013, 51(5): 854–860.
    [3] CHUANG M H, TSAI M H, WANG W R, et al. Microstructure and wear behavior of Al xCo1.5CrFeNi1.5Ti high-entropy alloys [J]. Acta Materialia, 2011, 59(16): 6308–6317. doi: 10.1016/j.actamat.2011.06.041
    [4] LEE C P, CHEN Y Y, HSU C Y, et al. Enhancing pitting corrosion resistance of Al xCrFe1.5MnNi0.5 high-entropy alloys by anodic treatment in sulfuric acid [J]. Thin Solid Films, 2008, 517(3): 1301–1305. doi: 10.1016/j.tsf.2008.06.014
    [5] GREER A L. Confusion by design [J]. Nature, 1993, 366(6453): 303–304. doi: 10.1038/366303a0
    [6] KO J Y, SONG J S, HONG S I. Effect of carbon addition and recrystallization on the microstructure and mechanical properties of CoCrFeMnNi high entropy alloys [J]. Korean Journal of Metals and Materials, 2018, 56(1): 26–33. doi: 10.3365/KJMM.2018.56.1.26
    [7] XIE L, BRAULT P, THOMANN A L, et al. Molecular dynamics simulation of Al-Co-Cr-Cu-Fe-Ni high entropy alloy thin film growth [J]. Intermetallics, 2016, 68: 78–86. doi: 10.1016/j.intermet.2015.09.008
    [8] AFKHAMA Y, BAHRAMYANA M, MOUSAVIANA R T, et al. Tensile properties of AlCrCoFeCuNi glassy alloys: a molecular dynamics simulation study [J]. Materials Science & Engineering, 2017, 698: 143–151.
    [9] CHOI W M, JO Y H, SOHN S S, et al. Understanding the physical metallurgy of the CoCrFeMnNi high-entropy alloy: an atomistic simulation study [J/OL]. NPJ Computational Materials, 2018. [2019–04–18]. https://www_nature.xilesou.top/articles/s41524-017-0060-9
    [10] ZHANG Y, WANG X, LI J, et al. Deformation mechanism during high-temperature tensile test in an eutectic high-entropy alloy AlCoCrFeNi2.1 [J]. Materials Science & Engineering A, 2018, 724: 148–155.
    [11] 吴树森, 柳玉起. 材料成型原理 [M]. 北京: 机械工业出版社, 2008.
    [12] PI J H, PAN Y, ZHANG H, et al. Microstructure and properties of AlCrFeCuNi x (0.6≤x≤1.4) high-entropy alloys [J]. Materials Science & Engineering A, 2012, 534: 228–233.
    [13] HU W Y, ZHANG B W, HUANG B Y, et al. Analytic modified embedded atom potentials for HCP metals [J]. Journal of Physics Condensed Matter, 2001, 13(6): 1193. doi: 10.1088/0953-8984/13/6/302
    [14] JIA L, FANG Q H, LIU B. Mechanical behaviors of AlCrFeCuNi high-entropy alloys under uniaxial tensile via molecular dynamics simulation [J]. Rsc Advances, 2016, 6(80): 76409–76419. doi: 10.1039/C6RA16503F
    [15] IMAFUKU M, SASAJIMA Y, YAMAMOTO R, et al. Computer simulations of the structures of the metallic superlattices Au/Ni and Cu/Ni and their elastic moduli [J]. Journal of Physics F: Metal Physics, 1986, 16(7): 823–829. doi: 10.1088/0305-4608/16/7/009
  • 加载中
图(8) / 表(4)
计量
  • 文章访问数:  10816
  • HTML全文浏览量:  6150
  • PDF下载量:  210
出版历程
  • 收稿日期:  2019-04-18
  • 修回日期:  2019-05-09

目录

    /

    返回文章
    返回