Blast Resistance of Containment Dome Reinforced Concrete Slab in NPP under Close-in Explosion
-
摘要: 安全壳是核电厂的最后一道防线,其穹顶采用60°配筋混凝土进行设计和建造,配筋方式特殊。借助ANSYS/LS-DYNA,采用CONWEP爆炸模型,建立60°和普通配筋的混凝土板有限元模型,研究了近场爆炸作用下60°配筋混凝土板的动态响应,参数化分析了板厚、药量、钢筋屈服强度和混凝土强度等因素对60°配筋钢筋混凝土板抗爆性能的影响规律;对比研究了普通配筋和60°配筋混凝土板的中心挠度、变形和应力云图,基于数值分析结果,拟合得到两种配筋方式混凝土板中心挠度最大值与药量之间的关系曲线,利用回归分析得到其计算公式。研究结果表明:在相同含钢量的条件下,60°配筋混凝土板中心挠度最大提高60.22%,抗爆性能更强,拟合公式可以较好地预测60°配筋混凝土板的挠度变化。
-
关键词:
- 核电厂安全壳 /
- 60°配筋 /
- 钢筋混凝土板 /
- 近场爆炸 /
- CONWEP爆炸模型
Abstract: The containment dome of the nuclear power plant (NPP) is the last barrier and designed with reinforced concrete in a 60° of configuration. This paper uses explicit dynamic finite element analysis software ANSYS/LS-DYNA to establish finite element model of the ordinary reinforced concrete slab and reinforced concrete slab of 60° of configuration (novel) with CONWEP explosion model. Dynamic responses of reinforced concrete slabs under close-in explosion are investigated. Base on the analysis of parameters, the effects of slab thickness, explosive charge, strength of concrete and reinforcing steel bar on the blast resistance of reinforced concrete slabs with 60° of configuration are analyzed. The central deflection, deformation and stress diagrams of ordinary and novel reinforced concrete slabs are compared, a relationship of the maximum central deflection of novel reinforced concrete slabs, the explosive charge and slab thickness, and the fitting formula are obtained and given. The results indicate that under the same explosive charge, the central deflection of novel reinforced concrete is increased by 60.22%, and the novel reinforced concrete slabs have better blast resistance, the fitting curve can preferably estimate the deflection of the novel reinforced concrete slab. -
表 1 试件几何尺寸和参数
Table 1. Geometry and parameters of specimens
No. Dimension/(cm×cm×cm) fcu.k/MPa Arrangement of reinforcement Reinforcement bar W/kg R/m Z/(m·kg–1/3) O1-1 120×120×4 30 $ \varnothing$8@100 HPB300 1.36 0.4 0.361 O1-2 120×120×5 30 $ \varnothing$8@100 HPB300 1.36 0.4 0.361 O1-3 120×120×6 30 $ \varnothing$8@100 HPB300 1.36 0.4 0.361 O2-1 120×120×4 30 $ \varnothing$8@100 HPB300 0.41 0.4 0.538 O2-2 120×120×4 30 $ \varnothing$8@100 HPB300 6.52 0.4 0.214 O3-1 120×120×4 50 $ \varnothing$8@100 HPB300 1.36 0.4 0.361 O3-2 120×120×4 60 $ \varnothing$8@100 HPB300 1.36 0.4 0.361 O4-1 120×120×4 30 $ \varnothing$8@100 HRB335 1.36 0.4 0.361 O4-2 120×120×4 30 $ \varnothing$8@100 HRB400 1.36 0.4 0.361 N1-1 120×120×4 30 $ \varnothing$8-60° HPB300 1.36 0.4 0.361 N1-2 120×120×5 30 $ \varnothing$8-60° HPB300 1.36 0.4 0.361 N1-3 120×120×6 30 $ \varnothing$8-60° HPB300 1.36 0.4 0.361 N2-1 120×120×4 30 $ \varnothing$8-60° HPB300 0.41 0.4 0.538 N2-2 120×120×4 30 $ \varnothing$8-60° HPB300 6.52 0.4 0.214 N3-1 120×120×4 50 $ \varnothing$8-60° HPB300 1.36 0.4 0.361 N3-2 120×120×4 60 $ \varnothing$8-60° HPB300 1.36 0.4 0.361 N4-1 120×120×4 30 $ \varnothing$8-60° HRB335 1.36 0.4 0.361 N4-2 120×120×4 30 $ \varnothing$8-60° HRB400 1.36 0.4 0.361 表 2 钢筋参数
Table 2. Parameters of reinforcement bar
ρ/(g·cm−3) E/GPa ν σ0/MPa Etan/MPa β C/s−1 7.89 200 0.3 335 1000 0 40 表 3 数值计算与试验结果对比
Table 3. Comparison of calculated and test results
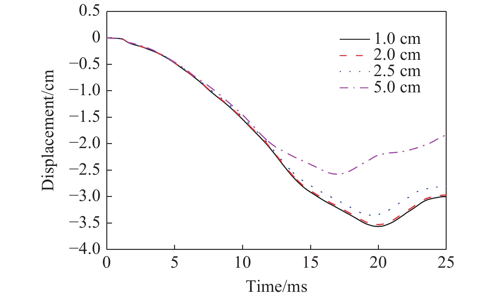
R/m W/kg Z/(m·kg−1/3) Maximum deflection/mm Error/% Finite element simulation Test[16] 0.4 0.46 0.518 37.7 35.2 7.10 -
[1] YAO S, ZHANG D, CHEN X, et al. Experimental and numerical study on the dynamic response of RC slabs under blast loading [J]. Engineering Failure Analysis, 2016, 66: 120–129. doi: 10.1016/j.engfailanal.2016.04.027 [2] 汪维, 张舵, 卢芳云, 等. 钢筋混凝土楼板在爆炸荷载作用下破坏模式和抗爆性能分析 [J]. 兵工学报, 2010(Suppl 1): 102–106WANG W, ZHANG D, LU F Y, et al. Analysis for blast resistance and damage mode of reinforced concrete slab subjected to explosbe load [J]. Acta Armamentarii, 2010(Suppl 1): 102–106 [3] 王靖. 近距离爆炸下钢筋混凝土板局部破坏试验研究与数值模拟 [D]. 天津: 天津大学, 2017.WANG J. Experimental and numerical studies on thelocal damage of reinforced concrete slabsunder close-in explosions [D]. Tianjin: Tianjin University, 2017. [4] 王淞, 刘筱玲. 双向支撑钢筋混凝土板在爆炸荷载作用下破坏模式与影响因素分析 [J]. 四川建筑, 2017, 37(2): 160–162 doi: 10.3969/j.issn.1007-8983.2017.02.054WANG S, LIU X L. Analysis of influence factors and on the dynamic response of reinforced concrete slabs of double supported under blast loading [J]. Sichuan Architecture, 2017, 37(2): 160–162 doi: 10.3969/j.issn.1007-8983.2017.02.054 [5] PANDEY A K, KUMAR R, PAUL D K, et al. Non-linear response of reinforced concrete containment structure under blast loading [J]. Nuclear Engineering & Design, 2006, 236(9): 993–1002. [6] ZHAO C F, CHEN J Y. Damage mechanism and mode of square reinforced concrete slab subjected to blast loading [J]. Theoretical & Applied Fracture Mechanics, 2013(63/64): 54–62. [7] 赵春风, 陈健云. 内爆荷载作用下钢筋混凝土安全壳的非线性响应分析 [J]. 爆炸与冲击, 2013, 33(6): 667–672 doi: 10.3969/j.issn.1001-1455.2013.06.017ZHAO C F, CHEN J Y. Dynamic responses of reinforced concrete containment subjected to internal blast loading [J]. Explosion and Shock Waves, 2013, 33(6): 667–672 doi: 10.3969/j.issn.1001-1455.2013.06.017 [8] 赵春风. 强震及爆炸荷载作用下核岛厂房动力响应及减震抗爆措施研究 [D]. 大连: 大连理工大学, 2014: 1–20.ZHAO C F. Study on dynamic response and measures of seismic reduiction and anti-exposion of nuclear island subjected to strong earthquakes and blast loads [D]. Dalian: Dalian University of Technology, 2014: 1–20. [9] ZHAO C F, CHEN J Y, WANG Y, et al. Damage mechanism and response of reinforced concrete containment structure under internal blast loading [J]. Theoretical & Applied Fracture Mechanics, 2012, 61(1): 12–20. [10] 刘云飞, 王天运, 贺锋, 等. 核反应堆预应力钢筋混凝土安全壳内爆炸数值分析 [J]. 工程力学, 2007, 24(8): 168–172 doi: 10.3969/j.issn.1000-4750.2007.08.030LIU Y F, WANG T Y, HE F, et al. Numerical simulation for pre-stressed concrete containment under internal explosive loading [J]. Engineering Mechanics, 2007, 24(8): 168–172 doi: 10.3969/j.issn.1000-4750.2007.08.030 [11] ZHANG T, WU H, FANG Q, et al. Numerical simulations of nuclear power plant containment subjected to aircraft impact [J]. Nuclear Engineering & Design, 2017, 320: 207–221. [12] MALVAR L J, ROSS C A. A Review of strain rate effects for concrete in tension [J]. Construction and Building Materials, 1998, 95(6): 735–739. [13] CLARK L A. CEB-FIP model code 1990 [J]. Programs Usenix Unix Supplementary Documents, 2008, 40(95): 233–235. [14] HALLQUIST J O. LS-DYNA keyword user’s manual [M]. Livermore: Livermore Software Technology Corporation, 2007: 1–2. [15] MALVAR L J. Review of static and dynamic properties of steel reinforcing bars [J]. Materials Journal, 1998, 95(5): 609–616. [16] 汪维. 钢筋混凝土构件在爆炸载荷作用下的毁伤效应及评估方法研究 [D]. 长沙: 国防科学技术大学, 2012.WANG W. Study on damage effects and assessments method of reinforced concrete structural members under blast loading [D]. Changsha: National University of Defense Technology, 2012. -

下载: