基于贫铀合金药型罩的聚能弹破甲后效实验研究

龚柏林 初哲 王长利 李明 吴海军 柯明

龚柏林, 初哲, 王长利, 李明, 吴海军, 柯明. 基于贫铀合金药型罩的聚能弹破甲后效实验研究[J]. 高压物理学报, 2018, 32(6): 065104. doi: 10.11858/gywlxb.20180538
引用本文: 龚柏林, 初哲, 王长利, 李明, 吴海军, 柯明. 基于贫铀合金药型罩的聚能弹破甲后效实验研究[J]. 高压物理学报, 2018, 32(6): 065104. doi: 10.11858/gywlxb.20180538
GONG Bailin, CHU Zhe, WANG Changli, LI Ming, WU Haijun, KE Ming. Experimental Research on Armor Penetration Aftereffect Produced by Depleted Uranium Alloys Liner Shaped Charge[J]. Chinese Journal of High Pressure Physics, 2018, 32(6): 065104. doi: 10.11858/gywlxb.20180538
Citation: GONG Bailin, CHU Zhe, WANG Changli, LI Ming, WU Haijun, KE Ming. Experimental Research on Armor Penetration Aftereffect Produced by Depleted Uranium Alloys Liner Shaped Charge[J]. Chinese Journal of High Pressure Physics, 2018, 32(6): 065104. doi: 10.11858/gywlxb.20180538

基于贫铀合金药型罩的聚能弹破甲后效实验研究

doi: 10.11858/gywlxb.20180538
基金项目: 

国家自然科学基金青年基金 11202169

详细信息
    作者简介:

    龚柏林(1982-), 男, 博士, 助理研究员, 主要从事常规战斗部和高效毁伤技术研究. E-mail:gongbolin@nint.ac.cn

  • 中图分类号: O383.3

Experimental Research on Armor Penetration Aftereffect Produced by Depleted Uranium Alloys Liner Shaped Charge

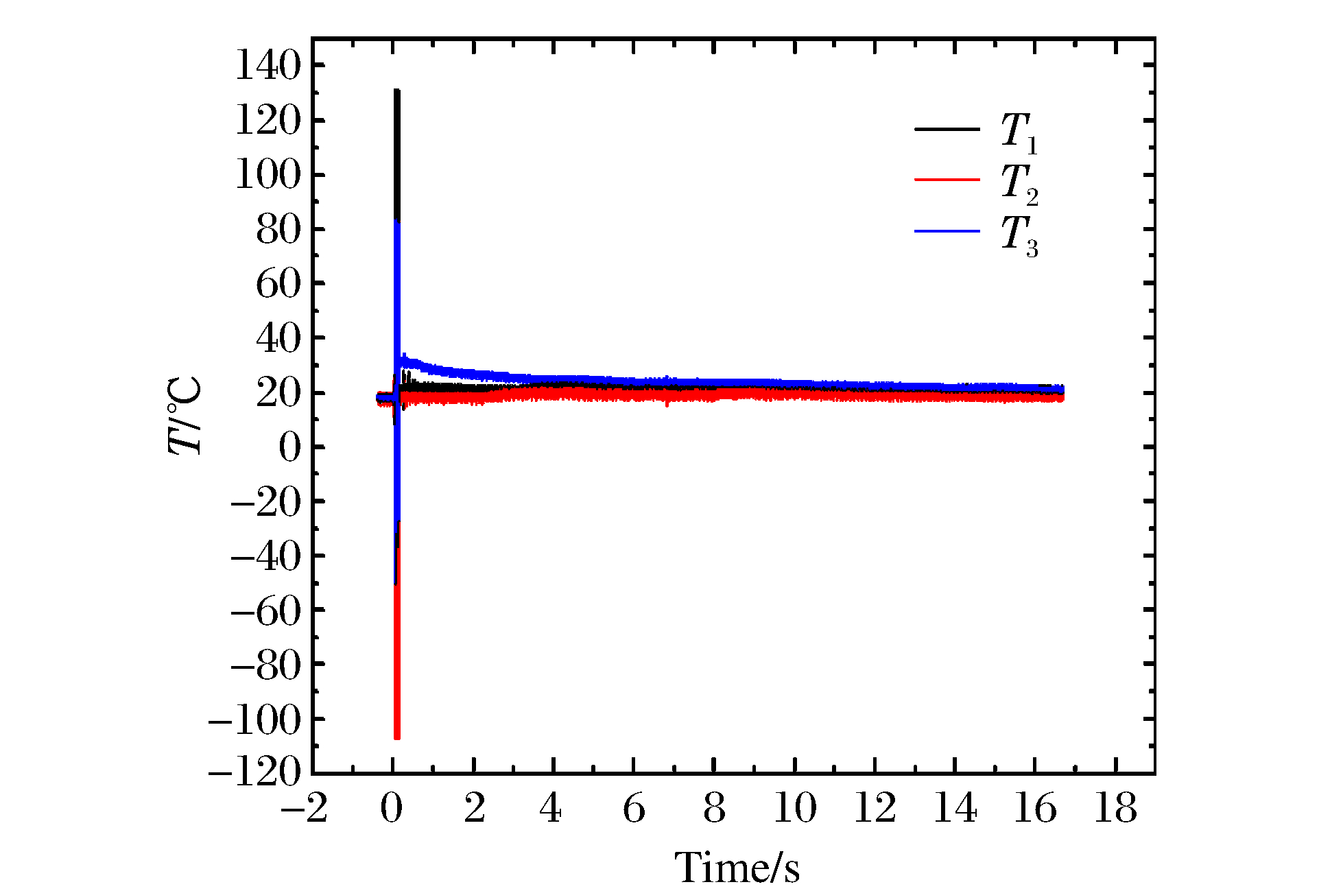
  • 摘要: 为研究贫铀合金应用于聚能药型罩的破甲后效特性,基于贫铀-铌合金药型罩,开展了聚能弹破甲后效实验。实验结果表明,贫铀合金药型罩形成的射流在穿透钢棒后,能形成一个高温、高速且具有一定发散能力的燃烧颗粒束,具有较强的纵火能力。贫铀合金药型罩形成的射流在穿透密闭装甲目标后,目标内部压力无明显变化,正对射流方向位置在0.2 s内产生了约15℃的温升,最终靶箱整体温度升高2.5℃。

     

  • 图  实验弹体结构示意图

    Figure  1.  Schematic configuration of experimental warhead

    图  纵火效应实验弹靶布局

    Figure  2.  Layout of warhead and target in incendiary experiment

    图  温度压力测试实验弹靶布局

    Figure  3.  Experimental layout of warhead and target for temperature and pressure measurement

    图  测量系统原理图

    Figure  4.  Schematic of pressure and temperature measurement system

    图  纵火效应实验高速录像

    Figure  5.  High-speed video of incendiary experiment

    图  起爆后2.5 ms时刻贫铀合金聚能弹作用于密闭靶箱的高速录像

    Figure  6.  High-speed video of aftereffect testing experiment for explosion of DU liner in a closed container at 2.5 ms

    图  压力测试结果

    Figure  7.  Testing results of pressure

    图  温度测试结果

    Figure  8.  Testing results of temperature

  • [1] 段建, 周刚, 田春雨, 等.半穿甲弹设计及穿甲试验研究[J].实验力学, 2011, 26(4):383-390. http://www.cnki.com.cn/Article/CJFDTotal-SYLX201104006.htm

    DUAN J, ZHOU G, TIAN C Y, et al.Design and penetration performance of a semi-armor-piercing penetrator[J]. Journal of Experimental Mechanics, 2011, 26(4):383-390. http://www.cnki.com.cn/Article/CJFDTotal-SYLX201104006.htm
    [2] 高晓军, 徐宏, 郭志俊, 等.爆炸成形弹药型罩材料的现状和趋势[J].兵器材料科学与工程, 2007, 30(2):85-88. doi: 10.3969/j.issn.1004-244X.2007.02.023

    GAO X J, XU H, GUO Z J, et al.Development of material in shaped charge liner for EFP[J]. Ordnance Material Science and Engineering, 2007, 30(2):85-88. doi: 10.3969/j.issn.1004-244X.2007.02.023
    [3] 粟永萍, 余争平, 湖川闽, 等.贫铀弹现场试验生物效应研究[C]//第4届全国生物医学体视学学术会议.大连, 2000: 76-77. http://cpfd.cnki.com.cn/Article/CPFDTOTAL-EGTA200008002036.htm

    SU Y P, YU Z P, HU C M, et al.Research on biologic effect of depleted uranium warhead[C]//Biomedicine Stereology of the 4th National Conference Proceedings.Dalian, 2000: 76-77. http://cpfd.cnki.com.cn/Article/CPFDTOTAL-EGTA200008002036.htm
    [4] 黄广炎, 冯顺山, 李顺平, 等.贫铀合金在冲击条件下的燃烧效应研究[C]//第10届全国冲击动力学学术会议.太原, 2011: 98. http://cpfd.cnki.com.cn/Article/CPFDTOTAL-AGLU201107002047.htm

    HUANG G Y, FENG S S, LI S P, et al.Research on burning effect of depleted uranium alloys under impact condition[C]//Impact Dynamics of the 10th National Conference Proceedings.Taiyuan, 2011: 98. http://cpfd.cnki.com.cn/Article/CPFDTOTAL-AGLU201107002047.htm
    [5] SONG S C, GAO P, CAI H N.Numerical simulation for formed projectile of depleted uranium alloy[J]. Applied Mechematics and Machanics, 2003, 24(9):1075-1080. http://d.wanfangdata.com.cn/Periodical_yysxhlx-e200309008.aspx
  • 加载中
图(8)
计量
  • 文章访问数:  9521
  • HTML全文浏览量:  3382
  • PDF下载量:  30
出版历程
  • 收稿日期:  2018-04-17
  • 修回日期:  2018-06-25

目录

    /

    返回文章
    返回