Experimental Investigation on the Characteristics of Unstability at Liquid-Liquid Tilted Interface Induced by Rayleigh-Taylor Instability
-
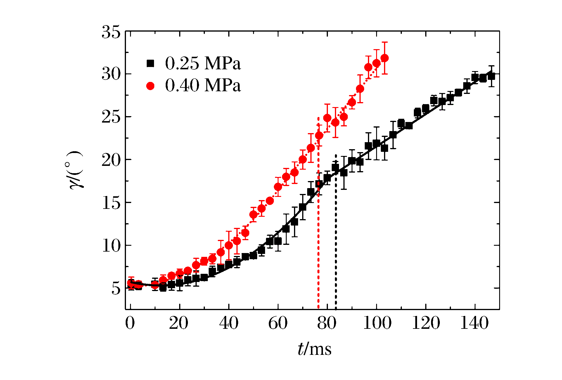
摘要: 实验研究了不同加速度下不相溶流体斜界面Rayleigh-Taylor(R-T)不稳定性诱导湍流混合区的发展特征。利用高速阴影测试技术研究了硅油/碘化钾溶液界面R-T不稳定性诱导界面的演化规律,定量分析了混合区发展宽度、界面倾角与时间的关系。通过实验结果分析得出:水平界面与斜界面混合区宽度演化的差别主要体现在后期,前、中期两者演化规律基本一致;界面倾角的演化呈现出两种不同的趋势,随时间先呈抛物线增长,随后线性增长,演化后期流体界面发生翻转;由R-T不稳定性诱导的界面混合与K-H不稳定性诱导的界面混合呈相互竞争的关系。
-
关键词:
- Rayleigh-Taylor不稳定性 /
- 湍流混合 /
- 阴影法 /
- 斜界面
Abstract: In this research, we experimentally investigated the characteristics of the turbulent mixing zone induced by Rayleigh-Taylor (R-T) instability under different accelerations.We used the high-speed shadowgraph to study the evolution of the interface composed with the silicone oil/potassium iodide solution, and analyzed the width of the mixing zone and the obliquity of the interface quantitatively.According to the experimental results, the difference in the evolution of width between horizontal interface and oblique interface exhibits mainly in late stage, and the evolution law is basically same with that in the early and middle stages.There are two different trends in the evolution of the interfacial obliquity.The interfacial obliquity increases with time parabolicaly at first, and then increases linearly.As a result, the fluid interface turns over in the later stage of evolution.There is a competitive relationship between the turbulent mixing induced by R-T instability and K-H instability respectively.-
Key words:
- Rayleigh-Taylor instability /
- turbulent mixing /
- shadowgraph method /
- titled interface
-
表 1 实验参数
Table 1. Experimental parameters
Case Atwood number Initial interfacial thickness/mm γ0/(°) Initial pressure at high pressure section/MPa 1 0.169 0.721 0 0.25 2 0.169 0.752 5 0.25 3 0.169 0.734 0 0.40 4 0.169 0.761 5 0.40 -
[1] SHARP D H.An overview of Rayleigh-Taylor instability[J].Physica D:Nonlinear Phenomena, 1984, 12(1):3-18. http://www.wanfangdata.com.cn/details/detail.do?_type=perio&id=JJ0235350510 [2] ANDRONOV V A, BAKHRAKH S M, MOKOHOV V N, et al.Effect of turbulent mixing on the compression of laser targets[J].JETP Letters, 1979, 29(1):56-59. http://adsabs.harvard.edu/abs/1979ZhPmR..29...62A [3] ALON U, HECHT J, OFER D, et al.Power laws and similarity of Rayleigh-Taylor and Richtmyer-Meshkov mixing fronts at all density ratios[J].Physical Review Letters, 1995, 74(4):534-536. doi: 10.1103/PhysRevLett.74.534 [4] DIMONTE G.Nonlinear evolution of the Rayleigh-Taylor and Richtmyer-Meshkov instabilities[J].Physics of Plasmas, 1999, 6(5):2009-2015. doi: 10.1063/1.873491 [5] ATZENI S, MEYER-TER-VEHN J. 惯性聚变物理[M]. 沈百飞, 译. 北京: 科学出版社, 2008: 198-253.ATZENI S, MEYER-TER-VEHN J. The physics of inertial fusion[M]. Translated by SHEN B F. Beijing: Science Press, 2008: 198-253. [6] RAYLEIGH L.Investigation of the character of the equilibrium of an incompressible heavy fluid of variable density[J].Proceeding of the London Mathematical Society, 2009, 14(1):200-207. doi: 10.1112-plms-s1-14.1.170/ [7] READ K I.Experiment investigation of turbulent mixing by Rayleigh-Taylor instability[J].Physica D:Nonlinear Phenomena, 1984, 12(1):45-58. http://adsabs.harvard.edu/abs/1984PhyD...12...45R [8] DIMONTE G, SCHNEIDER M.Density ratio dependence of Rayleigh-Taylor mixing for sustained and impulsive acceleration histories[J].Physics of Fluids, 2000, 12(2):304-321. doi: 10.1063/1.870309 [9] DIMONTE G, RAMAPRABHU P, ANDREWS M.Rayleigh-Taylor instability with complex acceleration history[J].Physical Review E, 2007, 76(4):1-6. http://www.wanfangdata.com.cn/details/detail.do?_type=perio&id=JJ0231719232 [10] WADDELL J T, NIEDERHAUS C E, JACOBS J W.Experimental study of the Rayleigh-Taylor instability:low atwood number liquid system with single-mode initial perturbations[J].Physics of Fluids, 2001, 13(5):1263-1273. doi: 10.1063/1.1359762 [11] HOLFORD J M, DALZIEL S B, YOUNGS D.Rayleigh-Taylor instability at a tilted interface in a laboratory experiments and numerical simulations[J].Laser and Particle Beams, 2003, 21(4):419-423. http://www.wanfangdata.com.cn/details/detail.do?_type=perio&id=JJ025589876 [12] MCFARLAND J A, GREENOUGH J A, RANJAN D.Investigation of the initial perturbation amplitude for the inclined interface Richtmyer-Meshkov instability[J].Physica Scripta, 2013, 155(21):14-20. http://iopscience.iop.org/1402-4896/2013/T155/014014 [13] MCFARLAND J A, REILLY D, CREEL S, et al.Experimental investigation of the inclined interface Richtmyer-Meshkov instability before and after reshock[J].Experiments in Fluids, 2014, 55(3):16-40. http://www.wanfangdata.com.cn/details/detail.do?_type=perio&id=JJ0232341654 [14] DIMONTE G, YOUNGS D L, DIMITS A.A comparative study of the turbulent Rayleigh-Taylor instability using high-resolution three-dimensional numerical simulations:the alpha-group collaboration[J].Physics of Fluids, 2004, 16(5):1668-1693. doi: 10.1063/1.1688328 [15] 黄文斌, 邹立勇, 刘金宏, 等.初始扰动对于气液界面Rayleigh-Taylor不稳定性发展的影响[J].实验流体力学, 2010, 24(3):39-41. doi: 10.3969/j.issn.1672-9897.2010.03.008HUANG W B, ZOU L Y, LIU J H, et al.Effects of initial perturbations on Rayleigh-Taylor instability growth at gas liquid interface[J].Journal of Experiments in Fluid Mechanics, 2010, 24(3):39-41. doi: 10.3969/j.issn.1672-9897.2010.03.008 [16] 施红辉, 卓启威.Richtmyer-Meshkov不稳定性流体混合区发展的实验研究[J].力学学报, 2007, 39(3):417-421. doi: 10.3321/j.issn:0459-1879.2007.03.016SHI H H, ZHUO Q W.Evolution of the fluid mixing zone in Richtmyer-Meshkov instability at a gas/liquid interface[J].Chinese Journal of the Theoretical and Applied Mechanics, 2007, 39(3):417-421. doi: 10.3321/j.issn:0459-1879.2007.03.016 [17] 刘金宏, 谭多望, 张旭, 等.斜界面Rayleigh-Taylor不稳定性混合实验研究[J].高压物理学报, 2012, 26(6):688-690. http://www.gywlxb.cn/CN/abstract/abstract1523.shtmlLIU J H, TAN D W, ZHANG X, et al.Experimental investigation of mixing at tilted interface induced by Rayleigh-Taylor instability[J].Chinese Journal of High Pressure Physics, 2012, 26(6):688-690. http://www.gywlxb.cn/CN/abstract/abstract1523.shtml [18] YOUNGS D L.Experimental investigation of turbulent mixing by Rayleigh-Taylor instability[J].Physica D:Nonlinear Phenomena, 1991, 3(12):586-589. http://linkinghub.elsevier.com/retrieve/pii/016727898490513X -

下载: