Influence of Thermal Protection Coat on the Reaction of Explosives in Projectile
-
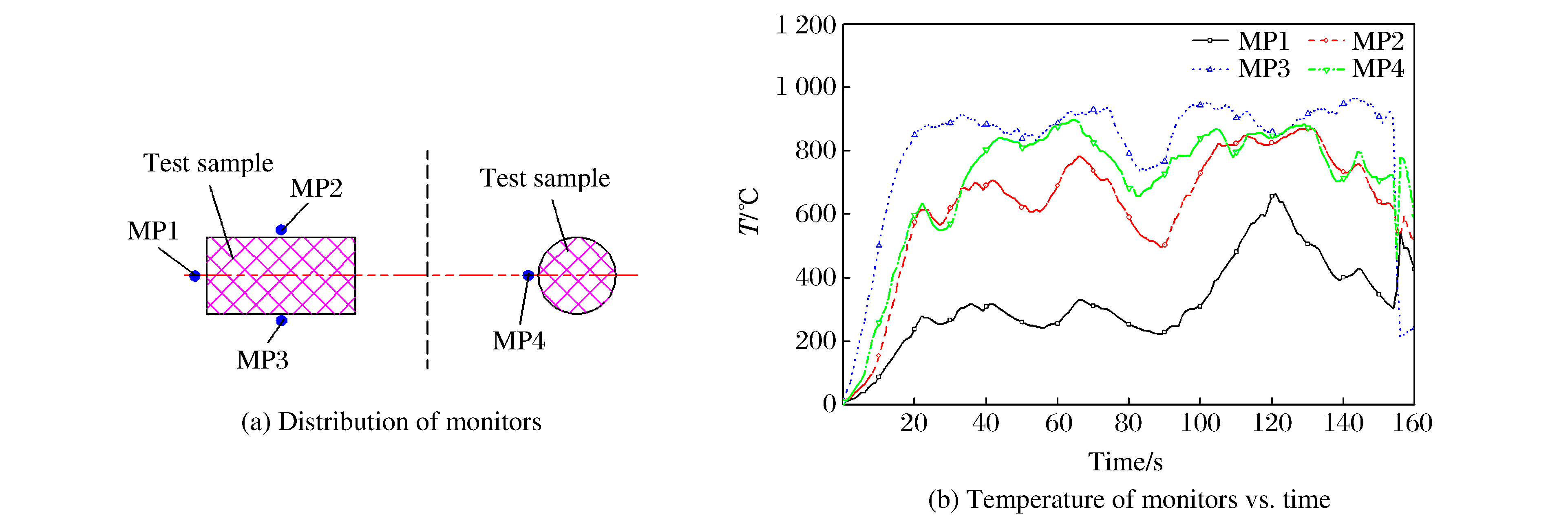
摘要: 采用烤燃试验研究了一种隔热弹衣对弹体装药反应的影响。通过对比包覆隔热弹衣试验件和无隔热弹衣试验件火烧后的反应状态,发现隔热弹衣对弹体装药反应等级没有明显影响,但可有效延迟装药热点火反应时间达32min,为火灾环境下弹药救援处置赢得时间。进一步分析发现,隔热弹衣的热防护效果不仅与其自身的低导热性有关,也与隔热弹衣和弹体之间的空气间隙有关。Abstract: In this work, we researched the influence of a kind of thermal protection coat on the reaction of explosives in projectile by fast cook-off test.Based on the comparison of the reaction state of the test sample with and without the thermal protection coat, the results show that the thermal protection coat had little influence on the test sample's reaction intensity, and delayed the explosives' ignition reaction time by 32 min.The thermal protection coat can obviously win more time for the ammunition succor in fire accidents.Furthermore, the protective effect of the thermal protection coat is related with its own heat-conducting property and the airy space between the coat and the sample protected.
-
Key words:
- explosive /
- thermal protection coat /
- cook-off test /
- reaction intensity
-
-
[1] 张蕊, 冯长根, 陈朗.弹药的热烤(Cook-off)实验[J].火工品, 2002(4):37-39. http://www.oalib.com/paper/4863289ZHANG R, FENG C G, CHEN L.Cook-off test of ammunition[J].Initiators and Pyrotechnics, 2002(4):37-39. http://www.oalib.com/paper/4863289 [2] Guidance on the assessment and development of insensitive munitions (IM): AOP-39: Edition 3[S]. Allied Ordnance Publication, 2010. [3] WALLS T. General purpose bomb fast cook-off mitigation techniques[C]//Insensitive Munitions & Energetic Materials Technology Symposium. Germany, Munich, 2010. [4] KELLEY S, CENTER A A, DIRECTORATE A. Venting techniques for penetrator warheads[C]//Insensitive Munitions & Energetic Materials Technology Symposium. Munich, Germany, 2010. [5] DELRIEU L, RÉGNAUT S, NOUGUEZ B. New French IM 500lb bombs[C]//Insensitive Munitions & Energetic Materials Symposium. Munich, Germany, 2010. [6] Hazard assessment tests for non-nuclear munitions (AMSC N6037): MIL-STD-2105D[S]. 2011. [7] DELRIEU L, RÉGNAUT S, NOUGUEZ B. New French IM GP bombs development update[C]//Insensitive Munitions & Energetic Materials Symposium, 2012. [8] 钱立新, 梁斌, 牛公杰. 不敏感弹药安全要求及设计技术[C]//2014年(第六届)含能材料与钝感弹药技术研讨会. 四川成都, 2014. http://cpfd.cnki.com.cn/Article/CPFDTOTAL-HNCL201411001024.htmQIAN L X, LIANG B, NIU G J. The requirements of insensitive munitions and design techniques[C]//Energetic Materials & Insensitive Munitions Symposium. Chengdu, Sichuan, 2014. http://cpfd.cnki.com.cn/Article/CPFDTOTAL-HNCL201411001024.htm [9] 梁斌, 钱立新, 牛公杰. 常规弹药热缓解技术研究初步分析[C]//2014年(第六届)含能材料与钝感弹药技术研讨会. 四川成都, 2014. http://cpfd.cnki.com.cn/Article/CPFDTOTAL-HNCL201411001047.htmLIANG B, QIAN L X, NIU G J. Review of mitigation for pressure and thermal threats using devices[C]//Energetic Materials & Insensitive Munitions Symposium. Chengdu, Sichuan, 2014. http://cpfd.cnki.com.cn/Article/CPFDTOTAL-HNCL201411001047.htm [10] 牛公杰, 钱立新, 梁斌, 等. 端部具有压力缓解结构的弹体装药快烤试验研究[C]//2016年(第七届)含能材料与钝感弹药技术研讨会. 海南海口, 2016.NIU G J, QIAN L X, LIANG B, et al. Experimental study on the fast cook-off of ammunition with pressure mitigation structure at head[C]//Energetic Materials & Insensitive Munitions Symposium. Haikou, Hainan, 2016. [11] Policy for introduction and assessment of insensitive munitions (IM): STANAG 4439: Edition 3[S]. NATO Standardization Agency, 2010. -

下载: